The Effects of Climate Change on Maize Yield Potential over the Last
50 Years: A Case Study of Hebei Province, China
Yanming Sun
1,*
, Hongkai Dang
2
, Shaohui Huang
1
, Yunma Yang
1
, Junfang Yang
1
, Suli Xing
1
and Liangliang Jia
1,*
1
Institute of Agro-Resources and Environment, Hebei Academy of Agriculture and Forestry Sciences,
Shijiazhuang, 050051, China
2
Institute of Dry land Farming, Hebei Academy of Agriculture and Forestry Sciences, Hengshui, 053000, China
*
Corresponding author
Keywords: Summer Maize, Yield Potential, Hybrid-Maize Model, Climate Change, Global Warming.
Abstract: Studies on the impacts of climate change on crop yield are of great importance for ensuring food security.
This study evaluated the impacts of climate change on summer maize yield potential for 1970 to 2019 for the
low plain area of Hebei Province using a Hybrid Maize model applied to daily meteorological data. The
effects of solar radiation, temperature, and precipitation on potential changes to maize grain yield were
evaluated. Two climate scenarios were set to assess the relative contributions solar radiation and temperature
changes on maize yield. The results showed a decline in maize yield potential of 7.5% from 14.6 t/hm
2
in the
1970s to 13.5 t/hm
2
in the 2010s, whereas solar radiation decreased by 6.6% from 2,007 MJ / m
2
to 1,874 MJ
/ m
2
. There was an increasing trend in average temperature, with rates of 0.21 ℃/10a and 0.44 ℃/10a before
and after maize silking, respectively, which resulted in shortening of the pre-silking and post-silking growth
periods by 0.61 days/10a and 1.89 days/10a, respectively. The results showed no effect of rainfall on yield
potential, whereas solar radiation and temperature showed significant positive correlations with yield potential.
Scenario analysis showed that climate warming was responsible for 80.3% of the decrease in yield potential,
far exceeding the contribution of solar radiation of 17.1% during the same period. The results of this study
suggest that climate change may have a serious impact on crop yield potential in the low plains of Hebei
Province.
1 INTRODUCTION
The role of climate change in food security challenges
has increasingly attracted widespread attention (Yang
et al., 2010; Lobell et al., 1980). The climate of the
North China Plain has undergone significant changes
since the 1970s (Wang et al., 2010), with a rate of
warming exceeding national and Northern
Hemisphere averages (Tan et al., 2009), whereas
solar radiation intensity has generally declined during
the same period (Li et al., 2012). Some studies have
concluded that changes to maize yield in the North
China Plain from the 1980s to the present can be
attributed to a decline in solar radiation (Wang et al.,
2014; Jia et al., 2020). Among the many studies on
climate change since 1960s, Meng et al. (2020)
evaluated the impacts on changes in solar radiation on
maize production, showing that solar dimming has
affected maize yield potential over the past 50 years.
However, other studies have attributed changes in
maize yield potential to warming under climate
change, and not to decreasing radiation (Challinor et
al., 2014; Schelenker and Lobell, 2010). Although
there has been a lot of attention on the potential
impacts of solar radiation and climate warming on
crop yields, quantitative studies remain limited.
Recent studies attributed the 17% drop in the yield
potential of maize in the North China Plain from the
1960s to 2015 to a decline in solar radiation (Meng et
al, 2020), whereas the 27% increase in the maize yield
potential in the United States of America (USA) Corn
Belt from 1984 to 2013 has been attributed to solar
brightening (Tollenaar and Aguilera, 1992). The
conflicting views on the reasons for changes in maize
yield potential reflect the complex effects of climate
change on crop growth and development among
different regions. A targeted evaluation of the impact
of climate change on maize yields of specific regions
56
Sun, Y., Dang, H., Huang, S., Yang, Y., Yang, J., Xing, S. and Jia, L.
The Effects of Climate Change on Maize Yield Potential over the Last 50 Years: A Case Study of Hebei Province, China.
DOI: 10.5220/0011595800003430
In Proceedings of the 8th International Conference on Agricultural and Biological Sciences (ABS 2022), pages 56-63
ISBN: 978-989-758-607-1; ISSN: 2795-5893
Copyright
c
2022 by SCITEPRESS Science and Technology Publications, Lda. All rights reserved
can be of great significance for sustainable
agricultural production under climate change.
The Hybrid-Maize model is a corn growth model
released by the University of Nebraska-Lincoln
(Yang et al., 2004). This model was developed as a
hybrid between existing generalized crop models
such as the INTERCOM model and maize-specific
models such as the CERES-Maize model (Yang et al.,
2004; 2006). This Hybrid-Maize model is able to
simulate both long-term and current season maize
growth development and yield (Yang et al., 2006),
and has been used in many studies to evaluate maize
yield potential (Liu et al., 2008; Hou et al., 2013; Liu
et al., 2015a), resilience of difference maize varieties
(Li et al., 2016; Yang et al., 2017), ecological
differences (Liu et al., 2015b; Bai and You, 2018),
and the effects of agronomic management, such as
irrigation and cultivation (Grassini et al., 2010; Bai et
al., 2010). The model showed good performance
when applied to the North China Plain, requiring
model parameters such as growing degree-day
(GDD), plant density, and sowing dates of suitable
varieties to be well calibrated, and it was found that
the yield potential of maize under different climatic
conditions could be simulated (Bai, 2009).
The low-lying plain area of the North China Plain
is an important summer maize producing area in
China, with its maize output accounting for ~7% of
the national total. The significant changes in climate
of this region over the past few years (Shao et al.,
2016) have emphasized the need to analyze the
impact of climate change on the yield potential of
maize in this region. Such a study can reveal the
drivers of changes in maize yield potential and the
impacts of climate change on food security. The aim
of the present study was to apply the Hybrid-Maize
model to analyze and explain changes in maize yield
potential in the low plains of Hebei Province over the
past 50 years. The results of the present study can
provide support for sustainable agricultural
production in the region under climate change.
2 STUDY AREA, MATERIALS,
AND METHODS
2.1 The Study Area
The low plain area of Hebei Province occupies the
central and southern parts of Hebei Province, mainly
including the cities of Xingtai, Handan, Hengshui,
and Cangzhou. A wheat and maize rotation system is
the dominant cropping system in the region.
Shenzhou County, Hengshui City, in the center of the
study area, has a warm and semi-humid monsoon
climate with an annual average temperature of 13.4
℃, annual precipitation of 481.7 mm, 200 annual
frost-free days, 2,563 hours of annual total sunshine,
total solar radiation of ~5,300 MJ/m
2
, and an annual
average wind speed of 2.1 m/s.
2.2 Maize Yield Model
The meteorological data for Shenzhou, Hebei
Province used in the present study were obtained
from the China Meteorological Agency. These data
included daily maximum, minimum, and average
temperature, precipitation, average wind speed,
average relative humidity, and sunshine hours.
The Hybrid-Maize model requires daily solar
radiation, temperature, Growing Degree Days (GDD)
for different maize varieties, sowing date, and sowing
density. The present study analyzed data for the
Zhengdan 958 maize variety with a GDD set at 1,680
to ensure comparability of simulated maize yield
potential for different years (Meng et al., 2020). The
sowing date and plant density in the simulation were
set to June 10 and 60 × 10
3
plants/ha, respectively.
Maize yield, accumulated solar radiation, and average
temperature before and after maize flowering of each
year were simulated to analyze potential changes to
maize yield potential.
2.3 Maize Yield Simulation
The Hybrid-Maize model simulation results were
imported into Microsoft Excel 2007 for statistical
analyses and graphing. Linear regression was used to
analyze trends in stimulated grain yield potential,
solar radiation, temperature, and precipitation from
1970 to 2019.
Two climate scenarios were established within
simulation by the Hybrid-Maize model: (1) Scenario
1 represented a scenario of constant solar radiation
and measured temperature data from 1970-2019;
however, daily solar radiation was set to the value in
1970 to assess the effect of temperature on maize
yield. (2) Scenario 2 represented a scenario of
constant temperature and measured solar radiation;
however, daily temperatures were set to those of 1970
to assess the effect of radiation on changes to yield.
The contributions rates (CR) of temperature and
radiation to changes in maize yield potential were
calculated as:
CR
T
=Y
temp
/ Y
actual
× 100% (1)
CR
R
=Y
radiation
/ Y
actual
× 100%
(
2
)
The Effects of Climate Change on Maize Yield Potential over the Last 50 Years: A Case Study of Hebei Province, China
57
where Y
temp
and Y
radiation
are the changes in yield
potential resulting from changes in temperature and
radiation, respectively, and Yactual is the change in
yield potential resulting from climate change.
3 RESULTS
3.1 Impact of Climate Change on
Summer Maize Yield Potential over
the Last 50 Years
As shown in Figure 1, there was a fluctuating
downward trend in summer maize yield from 1970 to
2019. The ten-year average summer maize yields for
1970-1979, 1980-1989, 1990-1999, 2000-2009, and
2010-2019 were 14.6, 15.3, 13.7, 13.6, and 13.5
t/hm2, respectively, showing a slight increasing trend
in 1970-1990, followed by a rapidly decreasing trend
in 1990-2000. Summer maize yield from 1970-1979
exceeded that in 2010-2019 by 7.5%. The results
indicated a significant impact of climate change on
the yield potential of summer maize in the low plains
of Hebei Province, with a particularly obvious decline
in yield potential since 1990 (Figure 1).
Figure 1: Changes in summer maize yield potential in the
low plains of Hebei Province from 1970 to 2019.
3.2 The Effects of Climate Change on
Maize Yield Potential
3.2.1 The Impacts of Solar Radiation on
Maize Yield Potential during the
Growth Period
There was a decreasing trend in total solar radiation
during the summer maize growth period from 1970 to
2019 (Figure 2A). Ten-year average total solar
radiation decreased by 6.6% from 2,007 Mj/m
2
in
1970-1979 to 1,874 Mj/m
2
in 2010-2019. The yield
potential of summer maize decreased by 0.67 t/hm
2
for every 100 Mj/m
2
decrease in total solar radiation
(Figure 2B). This result suggested the decrease in
total solar radiation has had a significant impact on
maize yield potential over the last 50 years.
Figure 2: Variation in total solar radiation during the growth
period of maize (A) and its impact on yield potential (B) in
the low plains of Hebei Province from 1970 to 2019.
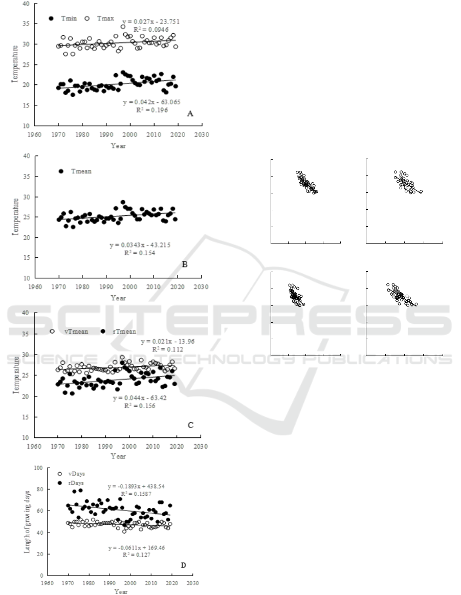
3.2.2 The Effects of Temperature Variation
on the Yield of Summer Maize during
the Growth Period
As shown in Figure 3A & B, there were significant
increases in the maximum, minimum, and average
temperature during the summer maize growth season.
There were also significant increases in average
temperature before and after silking 0.21 ℃/10a and
0.44 ℃/10a, over the last 50 years, respectively
(Figure 3C). The increases in temperature had
significant impacts on the maize growth and
development process, mainly manifested as an
accelerated and shortened maize growth process.
There were significant decreases in the lengths of
maize over the pre-silk and post-silk growth stages of
0.61 d/10a and 1.89 d/10a, respectively (Figure 3D).
8
10
12
14
16
18
20
1970 1980 1990 2000 2010 2020
Maize yield potential (t·hm
-2
Year
y = -1.504x + 3346.9
R
2
= 0.0334
0
100
200
300
400
500
600
700
1960 1970 1980 1990 2000 2010 2020 2030
Precipication (mm)
Year
y = 0.0041x + 13.56
R
2
= 0.0964
0
4
8
12
16
20
0 200 400 600 800
Yield potential (t/hm
2
)
Precipication (mm)
A
B
ABS 2022 - The International Conference on Agricultural and Biological Sciences
58
Figure 3: Changes in the maximum (A), minimum (B), and
the average temperature (C) and the average lengths of pre-
and post-silking maize over the growth period (D) in the
low plains of Hebei Province from 1970 to 2019.
Further study showed significant inverse linear
relationships between simulated yield potential of
summer maize and maximum (A), minimum (B), and
average temperature from maize emergence to silking
(C) and from silking to maturity (D) (Figure 4). The
yield potential of summer maize decreased by 0.713
t/hm
2
and 0.597 t/hm
2
for every 1 increase in
maximum and minimum temperature, respectively,
whereas the yield of maize decreased by 0.828 t/hm
2
and 0.569 t/hm
2
for every 1 increase in
temperature from emergence to silking and from
silking to maturity, respectively.
Figure 4: The effect of temperature on maize yield potential
in the low plains of Hebei Province from 1970 to 2019 (A
minimum temperature; B maximum temperature; C average
temperature from emergence to silking stage; D average
temperature from silking to maturity stage).
3.2.3 Impact of Climate Change on Rainfall
and Yield Potential of Summer Maize
Rainfall over the summer maize growth period over
the last 50 years has ranged from 83 to 618 mm
(average of 353.7 mm) with a large yearly variation
(coefficient of variation of 34.0%). There was a
downward trend in overall rainfall (Figure 5A). There
was no significant correlation between rainfall during
the summer maize growth period and maize yield
potential over the last 50 years (Figure 5B), indicating
that rainfall was not the main driver of changes to
maize yield potential.
y = -0.713x + 28.56
R
2
= 0.657**
0
4
8
12
16
20
10 15 20 25 30
Yield potential (t/hm
2)
Temperature
y = -0.597x + 32.23
R
2
= 0.401**
0
4
8
12
16
20
20 25 30 35 40
Temperature
y = -0.828x + 36.48
R
2
= 0.374**
0
4
8
12
16
20
20 25 30 35 40
Yield potential (t/hm
2
)
Temperature
y = -0.569x + 27.79
R
2
= 0.578**
0
4
8
12
16
20
15 20 25 30 35
Temperature
A
B
C
D
The Effects of Climate Change on Maize Yield Potential over the Last 50 Years: A Case Study of Hebei Province, China
59
Figure 5: precipitation (A) and the effect of rainfall on
maize yield potential (B) during the maize growth period in
the low plains of Hebei Province from 1970 to 2019.
3.3 Scenario Analysis
The results of scenario analysis showed a decline in
simulated maize yield potential under constant
radiation by 0.306 t/hm
2
/10a, whereas that under a
constant temperature decreased by 0.065 t/hm
2
/10a.
The relative contributions of temperature rising to the
yield potential decreasing was 80.3%, higher than the
reduction caused by solar radiation of 17.1%. The
increase in temperature significantly affected maize
yield potential over the last 50 years.
Figure 6: Maize yield potential in the low plains of Hebei
Province from 1970 to 2019 under actual climate change
(A), constant radiation (B), and constant temperature (C).
4 DISCUSSION AND
CONCLUSIONS
Changes to the climate over the last 50 years have had
a significant impact on the yield potential of summer
maize in the low plains of Hebei Province, with yield
potential showing a fluctuating downward trend at a
rate of 9.2%, exceeding the reduction in global
average maize yield of 3.8% (Lobell and Burke,
2008), but lower that of 19% of the North China Plain
y = -1.504x + 3346.9
R
2
= 0.0334
0
100
200
300
400
500
600
700
1960 1970 1980 1990 2000 2010 2020 2030
Precipication (mm)
Year
y = 0.0041x + 13.56
R
2
= 0.0964
0
4
8
12
16
20
0 200 400 600 800
Yield potential (t/hm
2
)
Precipication (mm)
A
B
y = -0.0381x + 90.189
R
2
= 0.2108
P<0.01
0
4
8
12
16
20
1970 1980 1990 2000 2010 2020
Maize yield potential (t/hm
2
Year
Actual change
y = -0.0306x + 74.208
R
2
= 0.1316
P<0.01
0
4
8
12
16
20
1970 1980 1990 2000 2010 2020
Maize yield potentialt/hm
2
Year
Radiation unchange
y = -0.0065x + 27.662
R
2
= 0.0111
P>0.05
0
4
8
12
16
20
1970 1980 1990 2000 2010 2020
Maize yield potential (t/hm
2
)
Year
Temperature unchange
A
B
C
ABS 2022 - The International Conference on Agricultural and Biological Sciences
60
(Liu et al., 2015a). This result was consistent with the
results of other studies applying the Hybrid-Maize
model in the Xingtai (Wang et al., 2014) and
Luancheng (Jia et al., 2020) areas in the piedmont
plains of Hebei Province and the North China Plain
(Du et al., 2017). The results of the present study
showed a decline in the yield potential of summer
maize at a rate of 0.381 t/hm
2
/10a from 1970 to 2019,
lower than the average rate of decline of 0.689
t/hm
2
/10a in Henan Province (1961-2010) (Yu and
Ma, 2015) and 0.84 t/hm
2
/10a decline in
Huanghuaihai (1962-2006) (Huang and Liu, 2011).
The differences in the rates of decline of maize yield
potential among different studies can be related to
differences in time series and spatial location of
meteorological data used.
The results of the present study showed that the
main meteorological factors affecting the yield
potential of summer maize were changes in total solar
radiation and the increase in temperature during the
growth period, with relative contributions to the total
decrease in maize yield of 17.6% and 80.3%,
respectively. High temperature during the maize
growth period was the main factor decreasing
potential maize yield, contributing 80.3% to the loss
in yield, far exceeding that in Xingtai (Wang et al.,
2014) and Luancheng (Jia et al., 2020) of 30% and
20%, respectively, and showing that climate change
can greatly affect maize yield potential.
The durations and timings of various growth
phases have a large impact on maize yield (Wang et
al., 2014). Average temperature increased by about
1.7℃ over the past 50 years, with the temperatures
before and after maize silking increasing by 1.05
and 2.2 ℃ on average, respectively. The trend of
increasing warming resulted in early flowering and
maturity (Xiao et al., 2015) and a shortening of the
maize growth period, and particularly reproductive
growth, which in turn reduced the duration available
for carbohydrates to transfer to maize yield, thereby
reducing maize yield potential (Tao and Zhang, 2010;
Challinor et al., 2014). The results showed that the
durations of the summer maize growth, silking, and
silking-harvest periods were shortened by ~2.5 d/10a
(Figure 7), 0.61 d/10a, and 1.89 d/10a, respectively.
The reduction in the maize growth period due to a
warming climate may be the primary driver of the
decline in maize potential yield in this region.
The reduction in solar radiation was an additional
factor affecting the yield potential of maize in this
area. A previous study identified average reductions
in total solar radiation during the maize growth period
of > 10%/10a and 3.3%/10a for the 2010s and 1970s,
respectively (Zhang, 2013). Yang et al. (2018)
identified a decrease in total solar radiation in the
maize growing season from 2011 to 2015 of 16.2%
compared to that from 1961 to 1980. Many factors
can impact the intensity of solar radiation, among
which the decrease in solar radiation may be related
to the increase in the concentration of atmospheric
particulate matter in the air (Ruckstuhl et al., 2008).
The study by Meng et al. (Meng et al., 2020)
suggested that the reduction in total solar radiation
during the summer maize growth period in the North
China Plain may be related to the increase of
atmospheric PM2.5 concentration. Every 10 ug/m
3
increase in PM2.5 results in a reduction in radiation
and total solar radiation during the maize growth
period of 55 MJ/m
2
and 17%, respectively. The
reduction in total solar radiation affected maize
photosynthesis and reduced the synthesis of
carbohydrate synthesis, thereby constituting another
main driver of the decrease in maize yield potential.
Figure 7: Variation in the summer maize growth period in
the low plains of Hebei Province from 1970 to 2019 as
simulated by the Hybrid-Maize mode.
In 1970-1990, the solar radiation had the trend of
slightly increasing, which lead to the maize yield
potential slightly increased. Then in 1990-2000, the
continuous temperature rising and solar dimming
happened in those years significantly decreased the
maize grain yield. Scenario analysis showed that 80.3
% of the reduction in summer maize yield potential
over the past 50 years can be attributed to increased
temperature, and an additional 17.1% to decreased
solar radiation. Climate warming was the main factor
affecting the reduction in maize potential yield. This
result was consistent with those of relevant
international studies (Challinor et al., 2014;
Schelenker and Lobell, 2010), but inconsistent with
many domestic studies (Meng et al., 2020; Yang et al.,
2018). The present study was limited by using data
from a single weather station. Therefore, further
y = -0.2505x + 608
R
2
= 0.1675
0
20
40
60
80
100
120
140
1960 1970 1980 1990 2000 2010 2020 2030
Total days of maize growing (days
Year
The Effects of Climate Change on Maize Yield Potential over the Last 50 Years: A Case Study of Hebei Province, China
61
research is needed to identify the factors with greater
impacts on maize productivity at larger scales.
Measures that can be taken to mitigate the climate
warming-induced reduction in maize yield potential
include selection of maize varieties with longer
growth periods, adjustment of sowing dates and
densities, and improvement of agronomic measures
such as tillage, fertilization, and irrigation (Tollenaar
and Aguilera, 1992; Li et al., 2016; Yang et al., 2017;
Liu et al., 2015a). The use of maize varieties with
longer growth periods can prolong the maize post-
flowering stage and increase the filling stage, thereby
increasing maize yield (Tao and Zhang, 2010;
Wheeler et al., 2000; Zhang et al., 2008). In addition,
optimization of management measures such as tillage,
fertilization and irrigation, suitable sowing date, and
density (Liu et al., 2015a; Li et al., 2016) are mature
and feasible technical solutions for reducing the
impact of climate change on maize yield.
ACKNOWLEDGEMENTS
This work was supported by the National Key
Research & Development Program of China (No.
2021YFD1901005); Hebei Province Corn Research
and Development Team (HBCT2018020204);
Innovation Team of Hebei Academy of Agricultural
and Forestry Sciences.
REFERENCES
Bai, J. S. (2009). Evaluation and exploration of maize (Zea
mays L.) yield potential by using hybrid-maize
simulation model. PhD dissertation, Beijing, China:
China Agricultural University.
Bai, J., Chen, X., Dobermann, A., Yang, H. and Zhang, F.
(2010). Evaluation of NASA satellite- and model-
derived weather data for simulation of maize yield
potential in China. Agronomy Journal, 102(1): 9-16.
Bai, J. and You, F. (2018). Evaluation of maize yield
potential at three ecological sites based on Hybrid-
Maize model. Chinese Journal of Agricultural
Resources and Regional Planning, 39(12): 73-79. (in
Chinese with English abstract)
Challinor, A., Watson, J., Lobell, D., Howden, S. and
Chhetri, N. (2014). A meta-analysis of crop yield under
climate change and adaptation. Nature Climate
Change, 4: 287-291.
Du, L., Xu, C., Yin, X., Di, J. and Chen, F. (2017). Impact
of climate change on crop evapotranspiration and water
ecological adaptability of winter wheat in Hebei
lowland plain. Journal of China Agricultural
University, 22(12): 1-9. (in Chinese with English
abstract)
Grassini, P., Yang, H., Irmak S., Thorburn, J., Burr, C. and
Cassman, K. (2010). High-yield irrigated maize in the
western U.S. corn belt: II. Irrigation management and
crop water productivity. Field Crops Research, 120,
133-141.
Hou, P., Chen, X., Cui, Z., Wang, W., Wang, L., Tang, J.
and Zhang, F. (2013). Evaluation of yield increasing
potential by irrigation of spring maize in Heilongjiang
province based on Hybrid-Maize model. Transactions
of the Chinese Society of Agricultural Engineering,
29(9): 103-112. (in Chinese with English abstract)
Huang, C. and Liu, H. (2011). The effect of the climate
change on potential productivity of winter wheat and
summer maize in the Huang-Huai-Hai plain. Chinese
Journal of Agrometeorology, 32(S1): 118-123.
Jia, L., Sun, Y., Wang, X., Sun, H., Huang, S., Liu, X. and
Yang, Y. (2020). Evaluation of the yield potential of
summer maize on the piedmont plain of Hebei Province
by using the Hybrid-Maize model. Journal of Maize
Sciences, 28(4): 121-129. (in Chinese with English
abstract)
Li, M., Xiong, M., Yang, Y. and Ren, Y. (2012). Spatial-
temporal variations of solar global radiation in the
circum-Bohai Sea region during 1961-2010. Advances
in Climate Change Research, 8(2): 119-123.
Li, Y., Wang, Z., Gao, J., Sun, J., Yu, X., Hu, S., Yu, S.,
Liang, H. and Pei, K. (2016). Understanding yield gap
and production potential based on networked variety-
density tests and Hybrid-Maize model in maize
production areas of Inner Mongolia. Chinese Journal of
Eco-Agriculture, 24(7): 935-943. (in Chinese with
English abstract)
Liu B., Chen, X., Cui, Z., Meng, Q. and Zhao, M. (2015a).
Research advance in yield potential and yield gap of
three major cereal crops. Chinese Journal of Eco-
Agriculture, 23(5): 525-534. (in Chinese with English
abstract)
Liu, X., Andresen, J., Yang, H., Niyogi, D. (2015b).
Calibration and validation of the Hybrid-Maize crop
model for regional analysis and application over the
U.S. corn belt. Earth Interactions, 19(9):
150721114330000.
Liu, Y., Li, S., Chen, X. and Bai, J. (2008). Adaptability of
Hybrid-Maize model and potential productivity
estimation of spring maize on dry highland of loess
plateau. Transactions of the Chinese Society of
Agricultural Engineering, 24(12): 302-308. (in Chinese
with English abstract)
Lobell, D. B. and Burke, M. B. (2008). Why are agricultural
impacts of climate change so uncertain? The
importance of temperature relative to precipitation.
Environmental Research Letters, 3: 034007.
Lobell, D., Schlenker, W. and Roberts, J. (1980). Climate
trends and global crop production since 1980. Science,
333:616-620.
Meng, Q., Liu, B., Yang, H. and Chen, X. (2020). Solar
dimming decreased maize yield potential on the North
China Plain. Food and Energy Security, e235.
doi:10.1002/fes3.235.
ABS 2022 - The International Conference on Agricultural and Biological Sciences
62
Ruckstuhl, C., Philipona, R., Behrens, K., Collaud, C. and
Zelenka, A. (2008). Aerosol and cloud effects on solar
brightening and the recent rapid warming. Geophysical
Research Letter, 35, L12708.
Schelenker, W. and Lobell, D. (2010). Robust negative
impacts of climate change on African agriculture.
Environmental Research Letters, 5: 014010.
Shao, L., Luo, J., Yin, G. and Liu, S. (2016). Research on
exploiting wheat-maize grain yield theory and
technology in the eastern low plain of Hebei province.
Chinese Journal of Eco-Agriculture, 24(8): 1114-1122.
(in Chinese with English abstract)
Tan, F Y., Wang, J L., Song, Y B. and Shen, S. (2009).
Analysis of changing characteristics of agricultural
climate resources over last 45 years in North China
Plain. Chinese Journal of Agrometeorology, 30(1): 19-
24. (in Chinese with English abstract)
Tao, F. and Zhang, Z. (2010). Adaptation of maize
production to climate change in North China Plain:
Quantify the relative contributions of adaptation
optionsEuropean Journal of Agronomy, 33: 103-116.
Tollenaar, M. and Aguilera, A. (1992). Radiation use
efficiency of an old and a new maize hybrid. Agronomy
Journal, 84, 536-541.
Wang, H., Chen, X., Cui, Z. and Meng, Q. (2014). Impacts
of climate change on summer maize production and
adaptive selection of varieties in Xingtai County,
Hebei, China. Chinese Journal of Applied Ecology,
25(1): 155-161. (in Chinese with English abstract)
Wang, X, Pan, X., Long, B. and Li, C. (2010). Analysis of
extreme precipitation and temperature events in Hebei
Province over last 50 years. Chinese Journal of
Agrometeorology, 31(2): 170-175. (in Chinese with
English abstract)
Wheeler, T., Craufurd, P., Ellis, R., Porter, J. and Prasad, P.
(2000). Temperature variability and the annual yield of
crops. Agriculture, Ecosystem and Environment, 2000,
82: 159-167.
Xiao, D., Qi, Y., Shen, Y., Tao, F., Moiwo, J., Liu, J., Wang,
R., Zhang, H. and Liu, F. (2015). Impact of warming
climate and cultivar change on maize phenology in the
last three decades in North China Plain. Theoretical and
Applied Climatology, 10.1007/s00704-015-1450-x.
Yang, H, Wang, Y., Lu, Y., Yang, D., Han, Y. and Wu, X.
(2017). Climate changes in recent 45 years and hybrids
selection with different maturation based Hybrid-Maize
model. Journal of Maize Science, 25(6):51-57. (in
Chinese with English abstract)
Yang, H., Dobermann, A., Cassman, K. and Walters, D.
(2006). Features, applications, and limitations of the
Hybrid-Maize simulation model. Agronomy Journal,
98: 737-748.
Yang, H., Dobermann, A., Lindquist, J., Walters, D.,
Arkebauer, T. and Cassman, K. (2004). Hybrid-maize-
a maize simulation model that combines two crop
modeling approaches. Field Crops Research, 87:(2-3):
131-154.
Yang, P., Hu, Q., Ma, X., Hu, L., Ren, F., Yan, M., Huang,
B., Pan, X. and He, Q. (2018). Spatiotemporal variation
of heat and solar resources and its impact on summer
maize in the North China Plain over the period 1961-
2015. Chinese Journal of Agrometeorology, 39(7): 431-
441. (in Chinese with English abstract)
Yang, X., Liu, Z. and Chen, F. (2010). The possible effects
of global warming on cropping systems in China I The
possible effects of climate warming on Northern limits
of cropping systems and crop yields in China. Scientia
Agricultura Sinica, 43(2):329-336. (in Chinese with
English abstract)
Yu, W. and Ma, Z. (2015). Temporal-spatial variation of
yield potential and yield gaps of summer maize during
the past 50 years in Henan province. Agricultural
Research in the Arid Areas, 33(1): 205-212. (in Chinese
with English abstract)
Zhang, J., Zhao, Y., Wang, C., Yang, X. and He, Y. (2008).
Simulation of maize production under climate change
scenario in Northeast China. Chinese Journal of Eco-
Agriculture, 16(6):1448-1452. (in Chinese with English
abstract)
Zhang, Y. (2013). Simulation analysis of the temporal and
spatial changing trends of photo-thermal yields of
summer maize in Huang-Huai-Hai area of China. PhD
dissertation, Nanjing: Nanjing Agricultural University,
2013: 2-13
The Effects of Climate Change on Maize Yield Potential over the Last 50 Years: A Case Study of Hebei Province, China
63