
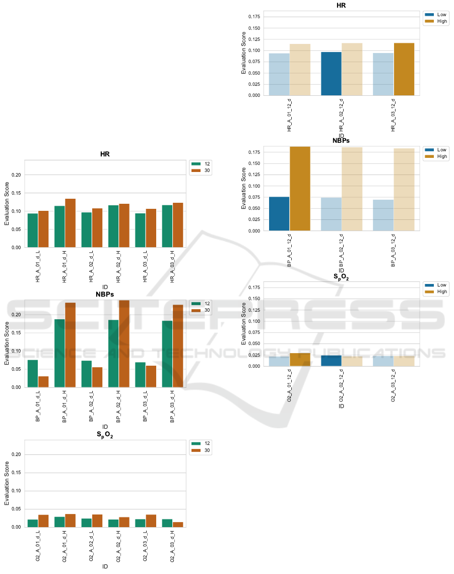
Secondly, our work suggests that each alarm type
requires a dedicatedly tuned model and that there is no
one-fits-all model for forecasting all types of alarms.
Hence, a narrower research focus might be required
for example limiting the forecasting task on one type
of alarms using a more detailed or even specialised
data set.
4.2 Future Work
Forecasting threshold alarms in patient monitors is
basically an extension of forecasting vital parameter
measurements by not only forecasting the value itself
but also comparing the value to the alarm thresholds.
We chose the MIMIC-III database because a unique
feature of this database is that it contains alarm thresh-
olds. However, if we accept that forecasting vital pa-
rameter measurements without accounting for alarms
is a valid preliminary goal, other clinical databases are
eligible as well. For example, HiRID (Hyland et al.,
2020) provides vital parameters measurements with a
vastly higher time resolution and eICU CRD (Pollard
et al., 2018) even provides such data with a steady
sampling frequency of f
s
=
1
5 min
(one value every
five minutes). This is in sharp contrast to MIMIC-
III which has varying sampling frequencies leaning
towards one value per hour. Using HiRID and eICU
CRD might improve the forecasting accuracy for vi-
tal parameters and also spare us the resampling step
which introduces an additional source of inaccuracies
and errors. Such a simplified forecasting setting can
then also be used to further investigate the effects of
scaling on the forecasting performance.
5 CONCLUSIONS
The contribution of this paper is a first attempt to
forecasting threshold alarms in ICU patient monitors.
Due to the lack of alarm data having a sufficiently
high and consistent sampling frequency, the resulting
models are still worthy of improvement and are not
yet ready to be applied in clinical practice. However,
our results show that the general approach of forecast-
ing threshold alarms through vital parameters princi-
pally works and that the model setup used in this work
is promising.
ACKNOWLEDGEMENTS
This work was partially carried out within the
INALO project. INALO is a cooperation project be-
tween AICURA medical GmbH, Charité – Univer-
sitätsmedizin Berlin, idalab GmbH, and Hasso Plat-
tner Institute. INALO is funded by the German Fed-
eral Ministry of Education and Research under grant
16SV8559.
REFERENCES
Clifford, G. D., Silva, I., Moody, B., Li, Q., Kella, D.,
Shahin, A., Kooistra, T., Perry, D., and Mark, R. G.
(2015). The physionet/computing in cardiology chal-
lenge 2015: reducing false arrhythmia alarms in the
ICU. In 2015 Computing in Cardiology Conference
(CinC), pages 273–276. IEEE.
Cvach, M. (2012). Monitor alarm fatigue: an integrative
review. Biomedical instrumentation & technology,
46(4):268–277.
Dai, X., Liu, J., and Li, Y. (2021). A recurrent neural net-
work using historical data to predict time series in-
door PM2.5 concentrations for residential buildings.
Indoor Air.
Drew, B. J., Harris, P., Zègre-Hemsey, J. K., Mammone,
T., Schindler, D., Salas-Boni, R., Bai, Y., Tinoco, A.,
Ding, Q., and Hu, X. (2014). Insights into the problem
of alarm fatigue with physiologic monitor devices: a
comprehensive observational study of consecutive in-
tensive care unit patients. PloS one, 9(10):e110274.
Hyland, S. L., Faltys, M., Hüser, M., Lyu, X., Gumbsch, T.,
Esteban, C., Bock, C., Horn, M., Moor, M., Rieck, B.,
et al. (2020). Early prediction of circulatory failure in
the intensive care unit using machine learning. Nature
medicine, 26(3):364–373.
Johnson, A. E. W., Pollard, T. J., Shen, L., Lehman, L.-
W. H., Feng, M., Ghassemi, M., Moody, B., Szolovits,
P., Celi, L. A., and Mark, R. G. (2016). MIMIC-III, a
freely accessible critical care database. Scientific data,
3(1):1–9.
Mussumeci, E. and Coelho, F. C. (2020). Large-scale mul-
tivariate forecasting models for dengue-LSTM versus
random forest regression. Spatial and Spatio-temporal
Epidemiology, 35:100372.
Pathan, R. K., Biswas, M., and Khandaker, M. U. (2020).
Time series prediction of COVID-19 by mutation rate
analysis using recurrent neural network-based LSTM
model. Chaos, Solitons & Fractals, 138:110018.
Pollard, T. J., Johnson, A. E., Raffa, J. D., Celi, L. A.,
Mark, R. G., and Badawi, O. (2018). The eICU col-
laborative research database, a freely available multi-
center database for critical care research. Scientific
data, 5(1):1–13.
HEALTHINF 2022 - 15th International Conference on Health Informatics
34