On the Issue of Sustainable Energy Development: The Economic
Aspect of Transferring Regional Heat Supply to Local Renewable
Fuels
Karolina Ketova
a
and Denis Nefedov
b
Kalashnikov Izhevsk State Technical University, Studencheskaya street, Izhevsk, Russia
Keywords: The Sustainable Energy Development, Regional Economic System, Heat Supply, Energy Security,
Renewable Fuels, Economic Efficiency.
Abstract: The paper considers the heat supply system of the regional socio-economic system as an important element
that ensures the stability of its existence in modern conditions. To ensure the stability and safety of its
functioning, the use of local renewable energy resources in the heat supply system of the region is considered,
for which it is necessary to transfer the heat supply system available in the region to other types of energy
resources. For this, a methodology for assessing the compliance of the planned and actual progress in the
implementation of measures to transfer the regional heat supply system to local types of fuel, based on a
system of indicators, is proposed. The methodology contains quantitative indicators of the effectiveness of
the implementation of measures. Various financial sources for the implementation of the planned activities
were considered: funds from budgets of all levels; consolidated funds based on public-private partnership;
budgetary and extrabudgetary grants for research and development work; borrowed funds of credit
institutions; own funds of enterprises. Numerical calculations were carried out for one of the regions of Russia
- the Udmurt Republic. For this region, the use of local energy resources, primarily wood waste and animal
waste, is one of the possible options for solving the problem of energy supply to remote areas in the face of a
shortage of fuel and energy resources and a steady rise in prices for traditional fuels and transport costs for
the delivery of raw materials to the region.
1 INTRODUCTION
In modern conditions of development of world
economies and increasing competition in this regard,
the risks associated with the functioning of all
elements of socio-economic systems are growing. An
important element of the sustainable existence of any
socio-economic system is its heat supply system.
The demand for energy resources in the modern
world is constantly present, while the reserves of
traditional fuels are being depleted, and new deposits
are being developed slowly. Identification of
emerging social trends that will affect future energy
demand are presented in (Brugger, Eichhammer,
Mikova and Dönitz, 2021) and (Zihao et al., 2021).
The depletion of traditional fuels leads to higher
prices for traditional fuels and, in parallel, to an
a
https://orcid.org/0000-0001-7143-1930
b
https://orcid.org/0000-0003-4569-3376
increase in tariffs for rail and road transport. In this
regard, the task of transferring regional heat supply
systems to local types of fuel becomes urgent.
Modern scientific research in the field of transition of
heat supply systems to new types of fuel is given in
(Ketova and Trushkova, 2012) and (Bogdanov et al,
2021).
The need to reconstruct the regional heat supply
system to increase the sustainability of its existence is
also due to a number of other reasons. Firstly, it is the
need to develop production capacities and new
industries based on innovations and the creation of
new technologies for processing fuel and energy
resources. These points are highlighted, in particular,
in the works (Weinberger and Moshfegh, 2018) and
(Rusyak et al, 2010). Secondly, it is ensuring the
energy security of the region, which is detailed in the
articles (Karatayev and Hallc, 2020) and (Pei et al.,
82
Ketova, K. and Nefedov, D.
On the Issue of Sustainable Energy Development: The Economic Aspect of Transferring Regional Heat Supply to Local Renewable Fuels.
DOI: 10.5220/0010664300003223
In Proceedings of the 1st International Scientific Forum on Sustainable Development of Socio-economic Systems (WFSDS 2021), pages 82-89
ISBN: 978-989-758-597-5
Copyright
c
2022 by SCITEPRESS Science and Technology Publications, Lda. All rights reserved
2021). Also, this problem is relevant from the point
of view of ensuring environmental safety. The
problem of environmental safety from the point of
view of the use of various types of fuel in the modern
world was studied in (Fang et al., 2021) and
(Proskuryakova, 2018).
The conceptual framework for the modern
definition and development of the regional energy
balance is formulated in the work (Mc Gookin et al.,
2021). The influence of energy factors on the
development of the socio-economic system is given
in (Ketova et al., 2020).
To carry out the reconstruction of the regional
heat supply system, it is necessary to assess the
economic feasibility of carrying out the necessary
technical measures. We will develop a methodology
for assessing the economic feasibility of transferring
the regional heat supply system to local types of fuel,
which will also be aimed at solving the problem of
efficient distribution of investments in the heat supply
system of the region.
The purpose of this work is to analyze sources of
funding, develop a business plan and a network
schedule for the reconstruction of the heat supply
system in the region. For example, consider the
regional system of one of the Russian regions - the
Udmurt Republic (UR).
2 RESEARCH METHOD
The main types of fuel consumed in the UR are gas,
oil products and coal supplied from other regions.
Local fuels are peat, firewood, logging and wood
processing waste. They make up a small part of the
region's fuel balance. The republic is dependent on
traditional fuel and energy resources imported from
other regions of Russia. The demand for fuel in boiler
houses that do not use gas as fuel is 81.4 thousand
tons of fuel equivalent (t f.e.).
According to estimates given in (Rusyak et al.,
2010), in most districts of the UR, the energy
potential of local energy carriers (wood waste, animal
waste) exceeds the total demand for energy resources.
However, this potential is not fully exploited. To
solve this problem, the concept “Supply of the
population, social facilities in remote settlements of
the UR with local fuels, alternative to natural gas”
was developed (Rusyak et al., 2010). Within the
framework of the concept, a cluster analysis was
carried out to solve the problem of optimal
distribution of fuel and energy resources (Rusyak, et
al., 2017) and the logistic problem of fuel supply to a
distributed regional heat supply system was solved
(Ketova and Trushkova, 2012). As a result, the
following list of activities necessary for the
implementation of the task was obtained, namely:
construction of points for processing wood waste
into chips;
creation of points for the accumulation of wood
waste;
construction of pellet plants;
creation of points for processing animal waste;
construction of a gas pipeline;
reconstruction of boiler houses converted to wood
chips;
reconstruction of boiler houses converted to
pellets;
reconstruction of boiler houses converted to
biogas.
In this regard, it is necessary to analyze the
economic feasibility of transferring the regional heat
supply system to local types of fuel and determine
possible financial sources for the implementation of
technical measures.
Sources of funds for the implementation of the
transfer are:
funds from budgets of all levels and consolidated
budget funds;
private capital based on public-private
partnership;
borrowed funds from credit institutions;
own funds of enterprises.
The funds of the consolidated fund should be
directed to the development of technical measures
and further monitoring of their implementation. The
diagram (figure 1) shows the financing of activities at
the expense of the consolidated budget funds. The
relevant ministries of the region (the Ministry of
Construction, Housing and Utilities and Energy of the
Udmurt Republic, the Ministry of Industry and Trade
of the Udmurt Republic), in cooperation with the
Republican Energy Commission, submit proposals on
the use of consolidated funds to the Government of
the Udmurt Republic, which forms the direction for
using the consolidated funds and approves the list of
measures to be implemented. Further, the
consolidating organization finances the list of
approved activities, concludes contracts with
contractors.
On the Issue of Sustainable Energy Development: The Economic Aspect of Transferring Regional Heat Supply to Local Renewable Fuels
83
Profile ministries of the UR,
Republican Energy
Commission
Contractors
Refund
Approved list
of activities
Contracts for the
implementation
of activities
Financing
of activities
Government of the UR
Proposals for the
use of consolidated
funds
Direction of use
of consolidated
funds
Consolidating
organization
Consolidated funds
Enterprises of housing and communal
services, Administrations
of Municipalities of the UR
Figure 1: Scheme for financing events from consolidated budget funds.
At the expense of consolidated funds, it is also
possible to provide subsidies to reimburse part of the
interest rate on loans and part of the cost of paying
lease payments. During the implementation of the
transfer of the regional heat supply system to local
types of fuel, it is possible to finance part of the costs
from consolidated funds (for example, design work),
as well as the provision of subsidies to reimburse part
of the interest rate on loans and part of the cost of
paying lease payments (for the purchase of
equipment).
It is possible to attract funds from budgets of all
levels, the use of which is regulated by documents. In
the regional budget, it is necessary to provide funds
for the provision of state guarantees in the direction
of credit institutions, as well as the provision of tax
incentives and subsidies to enterprises that finance
measures for the reconstruction of the regional heat
supply system. The scheme of financing events at the
expense of credit funds is shown in figure 2.
Evaluation of the effectiveness of the measures
implementation to transfer the regional heat supply
system to local types of fuel will be carried out on the
basis of the use of a system of indicators, which are
measurable quantitative indicators characterizing the
current change in the situation and the achievement
of the goal as a result of the measures
implementation.
The developed system of indicators reflects three
groups of indicators: energy group, economic and
environmental. These groups allow an objective
assessment of the effectiveness of the measures taken
at all stages of their implementation (table 1).
Consider the indicators shown in table 1. Energy
efficiency
E
shows how efficiently the generated
energy is consumed, what losses occur at the same
time at the heat source, in the utility networks when
delivering energy from the producer to the consumer.
The value of energy efficiency is determined by the
expression:
%100
TEPFER
VVE
(1
)
where
FER
V
is the total consumption of fuel and
energy resources (FER), t f.e.;
TEP
V
is volume of
energy production for all boiler houses, t f.e.
The indicator “Percentage of local types of energy
carriers (wood chips, pellets, biogas) in the structure
of FER consumption” shows the energy
independence of the UR from external fuel and
energy resources.
WFSDS 2021 - INTERNATIONAL SCIENTIFIC FORUM ON SUSTAINABLE DEVELOPMENT OF SOCIO-ECONOMIC SYSTEMS
84
Profile ministries of the UR,
Republican Energy
Commission
Contracts for the
implementation
of activities
Financing of
activities
Government of the UR
Proposals for the
use of consolidated
funds
Direction of use
of consolidated
funds
Provision of state
guarantees
Approved list of
activities
Enterprises of housing and communal
services, Administrations
of Municipalities of the UR
Refund
Credit
funds
Contractors
Credit
organisation
Figure 2: Scheme for financing events using credit funds.
Table 1: Indicators of the quality of the implementation of
measures to transfer the regional heat supply system to local
types of fuel, divided by groups.
Names of indicators Unit of
measurement
1 Ener
gy
1.1 Ener
gy
efficienc
y
%
1.2 Percentage of local types of
FER (wood chips, pellets,
biogas) in the total structure of
thei
consum
p
tion
%
1.3 Percentage of converted heat
sources fro
m
the
p
lanne
d
%
2 Economic
2.1 Specific heat consumption of
budgetary organizations
relative to 2020
%
2.2 Savin
g
b
ud
g
et funds
2.3 Percentage of expenses for
FER in the cost of heat ener
gy
%
3 Environmental
3.1 Percentage of recycled wood
waste
%
3.2 Percentage of recyclable
animal waste
%
4 Percentage of actual
com
p
letion of activities
%
5 Effectiveness of program
im
p
lementation
%
The main types of fuel and energy resources
consumed in the UR are gas, coal, oil products,
electricity, which are delivered from other regions.
Local fuels are peat and wood, and wood chips,
pellets and biogas produced on their basis. The
percentage of local types of energy
is calculated
using the formula:
%100
TFERLFER
VV
(2
)
where
LFER
V
is the volume of consumption of local
FER, t f.e.;
TFER
V
is total consumption of FER, t f.e.
In the republic, much attention is paid to
improving the energy security of heat supply to the
population of the UR. The problem of energy security
arises due to the aging of heat source equipment.
Therefore, as one of the indicators for assessing the
implementation of measures to transfer the regional
heat supply system to local types of fuel, we will
consider the percentage of converted heat sources
:
%100
TCT
NN
(3
)
where
CT
N
is the number of converted heat sources,
pcs;
T
N
is the total number of heat sources planned
for re-equipment, pcs.
There are about 1.5 thousand heat sources in the
region that generate heat for municipal and industrial
On the Issue of Sustainable Energy Development: The Economic Aspect of Transferring Regional Heat Supply to Local Renewable Fuels
85
needs. Moreover, more than one thousand heat
sources are on the balance sheet of budgets of various
levels. A significant part of these heat sources is
equipped with equipment that currently has a service
life exceeding its useful life. Equipment failure leads
to a failure in heat supply.
Specific heat consumption of budgetary
organizations relative to the base year is calculated by
the formula:
%100
u
b
u
BFER
u
BOFER
VVV
(4
)
where
u
BFER
V
is the specific heat consumption by
budgetary organizations, t f.e./ thousand m
2
;
u
b
V
is
specific heat consumption by budgetary
organizations in the base year, t f.e./ thousand m
2
.
Local renewable fuels (wood chips, pellets,
biogas) are more cost-effective compared to currently
used energy sources. The production of own types of
fuel will lead to a decrease in the unit costs for the
delivery of energy resources from other regions and
can be reflected in the indicator “Percentage of
expenses for FER in the cost of heat energy”. This
indicator is defined as the ratio of the cost of fuel and
energy resources to the total cost of heat production.
The budget savings resulting from the use of
economically more profitable types of fuel are
calculated using the following formulas:

il
N
j
TE
ij
TE
iji
VCTE
1
,
T
i
i
ЭЭ
1
(5
)
where
i
E
is the saving of budgetary funds in the i
th
year;
TE
ij
T
is the tariff of heat energy in the i
th
year at
the j
th
heat source, rubles/t f.e.;
TE
ij
C
is cost of heat
energy in the i
th
year at the j
th
heat source when it is
transferred to a local type of fuel, rubles/t f.e.;
il
V is
volume of heat production in the i
th
year at the j
th
heat
source, t f.e.;
N is the number of heat sources, pcs;
T
is the number of years during which the re-
equipment of heat sources takes place.
The use of wood waste and animal waste as local
fuels has a positive effect on the environmental
situation in the region. The indicators “Percentage of
recycled wood waste” and “Percentage of recycled
animal waste” are calculated, respectively, according
to the following formulas:
%100%,100
a
pr
a
a
w
pr
w
w
V
V
V
V
(6
)
where
aw
,
is the percentage of processed wood
waste and animal waste, respectively, of the total
amount of the corresponding waste, %;
pr
a
pr
w
VV ,
is
the volume of processed wood waste and animal
waste, respectively, t;
aw
VV ,
is the total volume of
wood waste and animal waste, respectively, t.
The indicator “Percentage of actual
implementation of the program” is calculated as the
ratio of the cost of actually performed work to the
total planned volume of necessary investments for the
implementation of the full list of activities:
%100
IS
WP
(7
)
where
is the share of actual program execution,%;
WP
S
is the cost of the work performed, reduced to the
considered year, in prices of the current years,
thousand rubles;
I
is the total amount of investment
required for the implementation of activities,
thousand rubles.
An integral assessment of the effectiveness of the
implementation of the republican target program is
determined by the formula:
m
i
ii
JJ
1
,
%100
пi
fi
i
Т
Т
J
,
m
i
i
1
1
(8
)
where J is the effectiveness of the implementation
of measures, %;
i
is weighting coefficient of the i
th
indicator;
m
is the number of indicators on the basis
of which the effectiveness of the implementation of
measures is assessed;
i
J is the effectiveness of the
measures implementation progress, characterized by
the i
th
indicator, %;
fi
Т
is the actual value of the
indicator characterizing the implementation of
measures;
пi
Т is the planned value of the i
th
indicator.
3 RESEARCH RESULTS
Some calculated planned values of indicators for
assessing the effectiveness of program activities
implemented over 10 years are shown in figures 3-7.
For example, budget funds are considered as a source
of funding. The shorter the investment period of the
program, the faster the required values of target
indicators are achieved (the share of local types of
energy carriers in the structure of FER consumption
should be 30%).
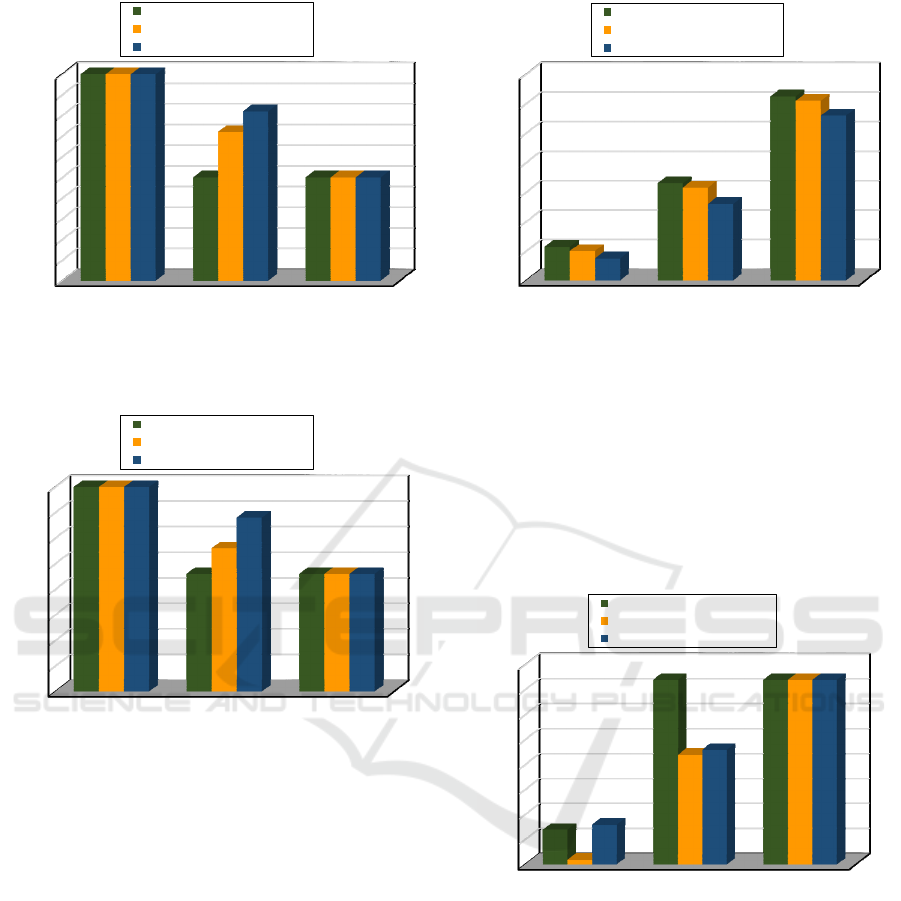
Figure 3 shows a diagram of changes in the
“Energy efficiency” indicator for different periods of
budget investment. The fastest achievement of the
target value is achieved with a 5-year period of
budgetary investment in measures to transfer the
regional heat supply system to local types of FER.
WFSDS 2021 - INTERNATIONAL SCIENTIFIC FORUM ON SUSTAINABLE DEVELOPMENT OF SOCIO-ECONOMIC SYSTEMS
86
0
10
20
30
40
50
60
70
80
2020 2025 2030
5-year investment period
7-year investment period
10-year investment period
RUR bln
year
Figure 3: Dynamics of the “Energy efficiency” indicator at
different investment periods.
The diagrams in figure 4 and figure 5 demonstrate
the change in the indicators “Percentage of local types
of FER” and “Percentage of converted heat sources”
at different periods of budget investment. The
transition to local types of energy resources and,
accordingly, the re-equipment of heat sources for
these purposes is likely to be carried out within a 5-
year period.
Thus, the fastest achievement of the target value
is achieved with a 5-year period of budgetary
investment in measures to transfer the regional heat
supply system to local types of FER. Targets are
slowest to take on target values over a 10-year
investment period.
0
5
10
15
20
25
30
2020 2025 2030
5-year investment period
7-year investment period
10-year investment period
%
year
Figure 4: Dynamics of the indicator “Percentage of local
types of FER” for different periods of investment.
0
10
20
30
40
50
60
70
80
90
100
2020 2025 2030
5-year investment period
7-year investment period
10-year investment period
%
year
Figure 5: Dynamics of the indicator “Percentage of
converted heat sources” at different investment periods.
Figures 6 and 7 show the dynamics of the planned
values of indicators reflecting the contribution of
measures to the economic sphere: “Specific heat
consumption of budgetary organizations relative to
the base year” and “Percentage of expenses for FER
in the cost of heat energy”. The first year of the
planning period is the basic one in the calculations,
therefore the considered indicators take the highest
value (100%). Then, for a 5-year period of investment
in measures to transfer the heat supply system of the
region to local types of FER, for subsequent years the
values of the indicators are set at 45% and 20%,
respectively.
For a 7-year investment period, the value of 65%
is taken by the indicator Specific heat consumption
of budgetary organizations relative to the base year”
in 2025 and the value of 45% in 2030. Also, for a 7-
year investment period, the value of 25% is taken by
the indicator “Specific heat consumption of
budgetary organizations relative to the base year” in
2025 and the value of 20% in 2030.
For a 10-year investment period, the indicator
“Specific heat consumption of budgetary
organizations relative to the base year” takes a value
of 78% in 2025 and a value of 45% in 2030. Also, for
a 10-year investment period, the value of 35% is
taken by the indicator “Specific heat consumption of
budgetary organizations relative to the base year” in
2025 and the value of 20% in 2030.
Thus, in 2030, the values of indicators reflecting
the contribution of measures to the economic sphere
are set at the same level.
On the Issue of Sustainable Energy Development: The Economic Aspect of Transferring Regional Heat Supply to Local Renewable Fuels
87
0
10
20
30
40
50
60
70
80
90
100
2020 2025 2030
5-year investment period
7-year investment period
10-year investment period
%
year
Figure 6: Dynamics of the indicator “Specific heat
consumption of budgetary organizations” for different
periods of investment.
0
5
10
15
20
25
30
35
40
2020 2025 2030
5-year investment period
7-year investment period
10-year investment period
%
year
Figure 7: Dynamics of the indicator “Percentage of
expenses for FER in the cost of energy” for different
periods of investment.
Figure 8 shows the dynamics of the planned value
of the target indicator “Saving budget funds”,
reflecting the contribution of activities to the
budgetary sphere. It can be seen that the shorter the
investment period (the time of implementation of
measures to transfer the regional heat supply system
to local types of fuel), the greater the value of the
indicator.
0
2
4
6
8
10
12
14
2020 2025 2030
5-year investment period
7-year investment period
10-year investment period
RUR bln
year
Figure 8: Dynamics of the indicator “Saving budget funds”
for different periods of investment.
An additional product obtained in the production
of biogas is biofertilizer. Figures 9 and 10 show the
dynamics of the planned values of indicators
reflecting the contribution of measures to transfer the
regional heat supply system to local fuels into the
environmental sphere: “Percentage of recycled
animal waste” and “Percentage of recycled logging
waste”, respectively.
0
5
10
15
20
25
30
35
40
2020 2025 2030
5-year investment period
7-year investment period
10-year investment period
%
year
Figure 9: Dynamics of the indicator “Percentage of recycled
wood waste” at different investment periods.
WFSDS 2021 - INTERNATIONAL SCIENTIFIC FORUM ON SUSTAINABLE DEVELOPMENT OF SOCIO-ECONOMIC SYSTEMS
88
0
2
4
6
8
10
2020 2025 2030
5-year investment period
7-year investment period
10-year investment period
%
year
Figure 10: Dynamics of the indicator “Percentage of
recyclable animal waste” at different investment periods.
Evaluation of the effectiveness of achieving the
target indicators of the program lies in the analysis of
the quality of the result of each individual project, the
compliance of the actually achieved values with the
planned ones.
The indicators “The percentage of actual program
implementation” and “Program implementation
efficiency” can be calculated as needed at any stage
of its implementation to monitor the current state of
the degree of program implementation.
4 CONCLUSIONS
Thus, a methodology has been developed for
assessing the compliance of the planned and actual
progress in the implementation of measures to
transfer the regional heat supply system to local types
of fuel, based on a system of indicators. The
methodology contains quantitative indicators of the
effectiveness of the measures implementation.
Various sources of financing for the transfer of the
regional heat supply system to local types of fuel are
considered: funds from budgets of all levels;
consolidated funds based on public-private
partnership; budgetary and extrabudgetary grants for
research and development work; borrowed funds of
credit institutions; own funds of enterprises.
Numerical calculations were carried out for one of
the regions of Russia - the Udmurt Republic. For this
region, the use of local energy resources, primarily
wood waste and animal waste, is one of the possible
options for solving the problem of energy supply in
remote areas in the face of a shortage of fuel and
energy resources and a steady rise in prices for
traditional fuels and transport costs for the delivery of
raw materials to the region..
REFERENCES
Bogdanov, D., Gulagi A., Fasihi M., and Breyer C. (2021).
Full energy sector transition towards 100% renewable
energy supply: Integrating power, heat, transport and
industry sectors including desalination, Energy, 283.
Brugger, H., Eichhammer, W., Mikova, N., and Dönitz, E.
(2021). Energy Efficiency Vision 2050: How will new
societal trends influence future energy demand in the
European countries? Energy Policy, 152.
Fang, Yu.Fu. , Alharthi, M., Bhatti, Z., Sun, L., Rasul, F.,
Hanif, I., and Iqbal W. (2021). The dynamic role of
energy security, energy equity and environmental
sustainability in the dilemma of emission reduction and
economic growth, Journal of Environmental
Management.
Karatayev, M. and Hallc, S. (2020). Establishing and
comparing energy security trends in resource-rich
exporting nations (Russia and the Caspian Sea region),
Resources Policy, 68.
Ketova, K., Rusyak, I., Saburova, E., and Vavilova, D.
(2020). Regional socio-economic parameters modeling
and system analysis by means of programming and
computing suite, IOP Conference Series: Materials
Science and Engineering. Krasnoyarsk Science and
Technology City Hall of the Russian Union of Scientific
and Engineering Associations.
Ketova, K. and Trushkova, E. (2012). The solution of the
logistics task of fuel supply for the regional distributed
heat supply system. Computer Research and Modeling.
Institute for Computer Research, 4.
Mc Gookin, C., Ó. Gallachóir, B., and Byrne, E. (2021).
An innovative approach for estimating energy demand
and supply to inform local energy transitions, Energy.
Pei, Y., Wang Y., Capuder, T., Tan, Z., Zhang, N. (2021).
Chongqing Kang Steady-state security region of energy
hub: Modeling, calculation, and applications,
International Journal of Electrical Power & Energy
Systems, 125.
Proskuryakova, L. (2018). Updating energy security and
environmental policy: Energy security theories
revisited, Journal of Environmental Management, 223.
Rusyak, I., Ketova, K., and Nefedov, D. (2017).
Mathematical model and method for solving the
problem of optimal location of wood fuel production,
Energy, 2.
Rusyak, I., Presnuhin, V., Ketova, K., Korolev, S., and
Trushkova, E. (2010). Development of the Concept of
Fuel Supply Distributed Regional Heating System of
Local Renewable Fuels, Energy Safety and Energy
Economy, 5.
Weinberger, G. and Moshfegh, B. (2018). Investigating
influential techno-economic factors for combined heat
and power production using optimization and
metamodeling, Energy, 232.
Zihao, G., Ren, Z., Li, W., Shunqi, Z., and Yajun, Li.
(2021). Optimal operation of regional integrated
energy system considering demand response, Thermal
Engineering, 191.
On the Issue of Sustainable Energy Development: The Economic Aspect of Transferring Regional Heat Supply to Local Renewable Fuels
89