
Rainfall-runoff Modelling in a Semi-urbanized Catchment using
Self-adaptive Fuzzy Inference Network
Tak Kwin Chang
1
, Amin Talei
1
and Chai Quek
2
1
School of Engineering, Monash University Malaysia, Jalan Lagoon Selatan,
Bandar Sunway, 47500 Subang Jaya, Malaysia
2
Center for Computational Intelligence, Nanyang Technological University, School of Computer Engineering,
50, Nanyang Avenue, Singapore 639798, Singapore
Keywords: Rainfall-runoff Modelling, Neuro-fuzzy Systems, SaFIN, ANFIS, SWMM, ARX.
Abstract: Conventional neuro-fuzzy systems used for rainfall-runoff (R-R) modelling generally employ offline learning
in which the number of rules and rule parameters need to be set by the user in calibration stage. This make
the rule-base fixed and incapable of being adaptive if some rules become inconsistent over time. In this study,
the Self-adaptive Fuzzy Inference Network (SaFIN) is used for R-R application. SaFIN benefits from an
adaptive learning mechanism which allows it to remove inconsistent and obsolete rules over time. SaFIN
models are developed to capture the R-R process in two catchments including Dandenong located in Victoria,
Australia, and Sungai Kayu Ara catchment in Selangor, Malaysia. Models’ performance aer then compared
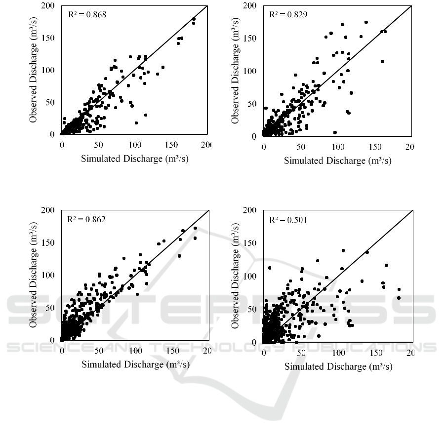
with the ANFIS, ARX, and physical models. Results show that SaFIN outperforms ANFIS, ARX, and
physical models in simulating runoff for both low and peak flows. This study shows the good potential of
using SaFIN in R-R modelling application.
1 INTRODUCTION
Rainfall-runoff (R-R) modelling as one of the
important topics in hydrology is focused on better
understanding of the rainfall-runoff process which is
necessary to address some of hydrological problems
such as urban water management and flood
forecasting. In addition to physical and conceptual
models, there is a third group of R-R models known
as system theoretic models which involves a direct
mapping (linear/non-linear) between the inputs and
output data (Minns and Hall, 1996). System theoretic
models do not use the knowledge of the system’s
parameters directly but instead formulate its own set
of parameters based purely on the dataset. Examples
of such models are regression-based models,
Artificial Neural Networks (ANN), and Neuro-Fuzzy
Systems (NFS) (Xiong et al., 2001, Rajurkar et al.,
2002, Sajikumar and Thandaveswara, 1999). NFS are
hybridizations of fuzzy set theory and neural
networks which provide the mapping of input-output
data with varying degrees of non-linearity. NFS
learning can generally be classified as either offline
learning or online learning systems. Offline or batch
learning formulates model parameters based on a
static dataset, whereas online learning enables models
to sequentially update its parameters during each
timestep of the training data. The benefit of online
learning models is that it allows a model to inherit a
dynamic training approach where the model
parameters evolves sequentially as new data becomes
available, enabling the model to capture time varying
properties within the system; whereas offline learning
models requires a retraining process of the entire
dataset merged with new data to achieve similar
results, resulting in greater computational time and
complexity.
NFS models with offline learning such as
Adaptive Network-based Fuzzy Inference System
(ANFIS) are extensively used in R-R modelling
(Nayak et al., 2004, Nayak et al., 2005, Remesan et
al., 2009, Mukerji et al., 2009, Talei et al., 2010b,
Talei et al., 2010a, Bartoletti et al., 2017, Zakhrouf et
al., 2015). The major drawback of a model such as
ANFIS is its offline learning algorithm where the
number of rules is pre-set by the user and remains
fixed. In real-world applications, a reliable R-R
model should be able to dynamically capture time-
varying properties within a system through a
continuous process of updating and reiterating its
86
Chang, T., Talei, A. and Quek, C.
Rainfall-runoff Modelling in a Semi-urbanized Catchment using Self-adaptive Fuzzy Inference Network.
DOI: 10.5220/0007227300860097
In Proceedings of the 10th International Joint Conference on Computational Intelligence (IJCCI 2018), pages 86-97
ISBN: 978-989-758-327-8
Copyright © 2018 by SCITEPRESS – Science and Technology Publications, Lda. All rights reserved