Effects of Three Soil Amendments on Plant Physiological Responses
in Cr (III)-contaminated Soil
Pengzhan Lu
1,2,*
, Youyuan Chen
1
, Bingbing Dong
1
and Ping Sun
1
1
Departments of Environmental Science and Engineering, Ocean University of China, Qingdao 266100, China
2
No. 92609 Unit of PLA, Beijing 100077, China
Keywords:
Soil Amendments, Plant Physiological Responses, Cr (III)-Contaminated Soil.
Abstract:
To evaluate the effect of three soil amendments, i.e., chicken manure (CM), peat (PE) and vermiculite (VE)
on plant physiological responses, we planted Lolium perenne (L. perenne) and Pharbitis purpurea (P.
purpurea) in soils contaminated with 1000 mg·kg-1 Cr (III) in the laboratory. The results showed that all
three amendments promoted plant growth and physiological status. Under Cr (III) stress, compared with the
control, the biomass and root length of L. perenne in soil amended with CM were 1.26 and 1.57 times
higher, and in P. purpurea, the values were 1.47 and 2.06 times higher, respectively. Principal component
analysis (PCA) showed that CM was the best amendment in Cr (III)-contaminated soil. Therefore, CM have
the potential to serve as efficient soil amendment for Cr (III)-contaminated soil.
1 INTRODUCTION
Chromium (Cr) is regarded as a crucial
environmental pollutant due to its many sources and
global effect. Cr(III) is the most stable and is the
predominant states in the natural environment
(Ashraf 2017). Therefore, studying Cr(III)-
contaminated soil is of significance.
The application of soil amendments has become
an effective method for in situ remediation of
Cr-contaminated soil (Huang 2018, Li 2016).
Natural soil amendments are promising research
materials because of their low cost and natural
abundance (Abd 2015, Habashy 2011). Multiple
studies have evaluated the application of abundant
amendments such as lime, red mud, and compost for
remediating soils contaminated with heavy
metals(Reijonen 2016, eesley 2010). Extracting Cr
from the soil via roots and translocating plants is
complex. Different types of plants have differing
bioaccumulation capacities with respect to Cr.
In general, we use hyperaccumulators of Cr to
remediate the soil and improve the ecological
environment of polluted areas. Because the current
varieties of Cr-hyperaccumulators are in a relatively
short supply, the L. perenne and P. purpurea herbs
that are commonly found in the study area and have
a certain tolerance to adverse environmental
conditions are selected in this study. L. perenne is a
perennial herb that undergoes rapid growth and is
widely cultivated around the world. L. perenne has a
well-developed root system, high biomass, and
strong tolerance to heavy metals (Bidar 2007). P.
purpurea is an annual tendril winding herb that can
grow in a wide array of soil types. It has a
well-developed root system and a strong resistance
to drought and other adverse growing conditions
(Uva 1997). In addition to remediating contaminated
soil, natural amendments can also have a direct or
indirect effect on plant growth (Khan 2018).
Therefore, the physiological changes during plant
growth can also be used to measure the effect of soil
conditioning.
Several studies have been conducted to assess
the role of amendments in the remediation of
metal-contaminated soil. However, no such
comprehensive study has been conducted to evaluate
the comparative effects of organic and inorganic
amendments on plant physiological responses. The
aims of this study is to clarify the different functions
of the three amendments on the soil-plant systems
under Cr (III) stress.
Lu, P., Chen, Y., Dong, B. and Sun, P.
Effects of Three Soil Amendments on Plant Physiological Responses in Cr (III)-contaminated Soil.
DOI: 10.5220/0011228200003443
In Proceedings of the 4th International Conference on Biomedical Engineering and Bioinformatics (ICBEB 2022), pages 523-528
ISBN: 978-989-758-595-1
Copyright
c
2022 by SCITEPRESS Science and Technology Publications, Lda. All rights reserved
523
2 MATERIALS AND METHODS
2.1 Soil and Amendments
Soil samples were collected from the 0-20 cm
interval of a chromium salt factory upstream of the
Loushan River in the Licang District of Qingdao,
China (36.21°N, 120.39°E). The three soil
amendments examined in this study included
chicken manure (CM), peat (PE) and vermiculite
(VE). Each sample was completely mixed; then,
samples and amendments were air dried and passed
through a 2-mm sieve.
Some chemical properties of the soil and
amendments were estimated according to standard
procedures(Nelson 1996). The soil pH: 7.32, organic
matter content: 10.47 g·kg
-1
, CEC: 16.48 cmol·kg
-1
,
And the basic chemical properties of amendments
are presented in Table 1.
Table 1. The basic chemical properties of the three
amendments.
Amendm
ents
pH
value
Organic
matter
content
/g·kg
-1
total
nitrogen
/%
Cr(T)
/mg·kg
-1
CM 7.87 45.3 20.4 -
PE 6.10 62.4 15.8 -
VE 7.40 - - -
-: indicates not detected.
2.2 Pot Experiment
The experiments in this study were conducted by
potting Lolium perenne (L. perenne) and Pharbitis
purpurea (P. purpurea) with organic amendments
(CM and PE) and an inorganic amendment (VE) in
Cr(III)-contaminated soils. L. perenne and P.
purpurea are more tolerant to Cr when exposed to
Cr(III) levels no greater than 1000 mg·kg
-1
(Chen
2017). Therefore, the concentrations of Cr(III) in the
soil samples were set at 1000 mg·kg
-1
in this study.
Cr was added uniformly in the form of a
CrCl
3
·6H
2
O solution and then equilibrated in the
laboratory at 25 ℃ for one week.
Three amendments were added to the soil at a 20
mg·kg
-1
application concentration and thoroughly
mixed. Plastic pots with a diameter of 12 cm and a
height of 14 cm were filled with 1 kg of the soil (dry
weight, dw). Each amendment and a control
(without amendment) were prepared in triplicate.
Two sets (one for L. perenne and another for P.
purpurea) of the selected treatments were provided.
Seeds of two plants were obtained from
Shangpin Landscaping Engineering Company,
Hefei. The seeds were washed with H
2
O
2
and then
with deionized water. Then, the seeds were sown in
the selected pots. The pots were kept in a
greenhouse with a controlled environment. After
germination, there were equal numbers of uniform
and healthy seedlings in each pot. All pots were
adjusted daily to a water content of 75% and a field
capacity (FC) of 100% by weight.
2.3 Plant Analysis
The plants were harvested after 30 days of growth.
Three healthy and uniform plants were selected to
measure the shoot length and root length with a
ruler. The soil particles of the roots were removed
with tap water and then deionized water, and the
shoots of the plants were rinsed with deionized
water.
After rinsing, fresh plant samples were used to
determine the plant growth and physiological
indexes. Other plant roots and shoots were dried in
an oven at 70°C separately to a constant weight and
weighed to determine the dry matter yield
(Kingsbury 1984).
The water content (W) of the plants was
calculated by equation (1):
100)( ×= FWDWFWW
(1)
where FW is the fresh weight (g) and DW is the dry
weight (g).
The root activity was monitored by the triphenyl
tetrazolium chloride (TTC) method(Li 2000). The
proline content was measured according to Bates et
al(Bates 1973). The lipid peroxidation of the plant
tissue was measured in terms of the MDA content
per the method given by Heath and Packer(Heath
1968).
Fresh plant samples were used to determine the
activities of antioxidant enzymes, such as superoxide
dismutase (SOD), peroxidase (POD), and catalase
(CAT). The SOD activity was determined by the
method of Beauchamp and Fridovich(Beauchamp
1971); the POD activity was measured using the
method of Batish et al (Batish 2006); and the CAT
activity was determined by Cakmak and Marschner
(Cakmak 1992).
2.4 Statistical Analysis
The Statistical Product and Service Solutions
software package (SPSS, version 20.0) was used in
the statistical analysis. One-way analysis of variance
(ANOVA) using Duncan's multiple range test (P =
ICBEB 2022 - The International Conference on Biomedical Engineering and Bioinformatics
524
0.05) was conducted to determine the statistical
significance of the differences among samples. The
multivariate statistical technique of principal
component analysis (PCA) was used to investigate
and identify the important components explaining
most of the variances in the data.
3 RESULTS AND DISCUSSION
3.1 Plant Growth and Biomass
The effects of CM, PE and VE on the growth
indexes of the two plants under Cr stress are shown
in Table 2. The rank order of the three amendments
in terms of the positive effect on plant growth under
Cr (III) stress was CM > PE CK VE, and the
effect was better on P. purpurea than on L. perenne.
The biomass of L. perenne and P. purpurea in the
CM group exceeded 26.1% and 46.7% of that of
CK, and the shoot length of these plants reached
1.28 and 1.71 times higher than that of CK,
respectively. The two organic amendments caused
the root length of L. perenne to reach 1.57 and 1.16
times higher than that of CK in the Cr (III)
treatments, and that of P. Purpurea reached 2.06 and
1.36 times higher than that of CK, respectively. The
PE group had a significant increase in the root length
of the two plants (P < 0.05), which indicated that the
plant tolerance and resistance were increased. There
was no significant difference in the plant growth
indexes of the VE and CK groups.
Table 2. Effects of amendments on the growth of two
plants under Cr (III) stress.
Amen-
dments
L. perenne
shoot
len
g
th/c
m
root length
/c
m
biomass/mg
DW·
p
lant
-1
CK 21.37±0.68
b
7.90±0.44
c
10.01±0.13
b
CM 27.27±1.16
a
12.40±0.62
a
12.62±0.45
a
PE 20.07±1.04
b
9.17±0.35
b
9.78±0.52
b
VE 19.77±0.42
b
7.30±0.20
c
8.80±0.32
bc
Amen-
dments
P. purpurea
shoot
len
g
th/c
m
root length
/c
m
biomass/mg
DW·
p
lant
-1
CK 10.61±0.42
bc
7.33±0.30
c
29.63±0.97
c
CM 18.13±0.37
a
15.12±0.20
a
43.17±1.33
a
PE 10.90±0.48
b
9.94±0.54
b
32.62±0.35
b
VE 9.68±0.47
c
6.26±0.22
d
27.33±0.55
c
Different letters (a, b, c) indicate significant
differences of index values between the different
treatments.
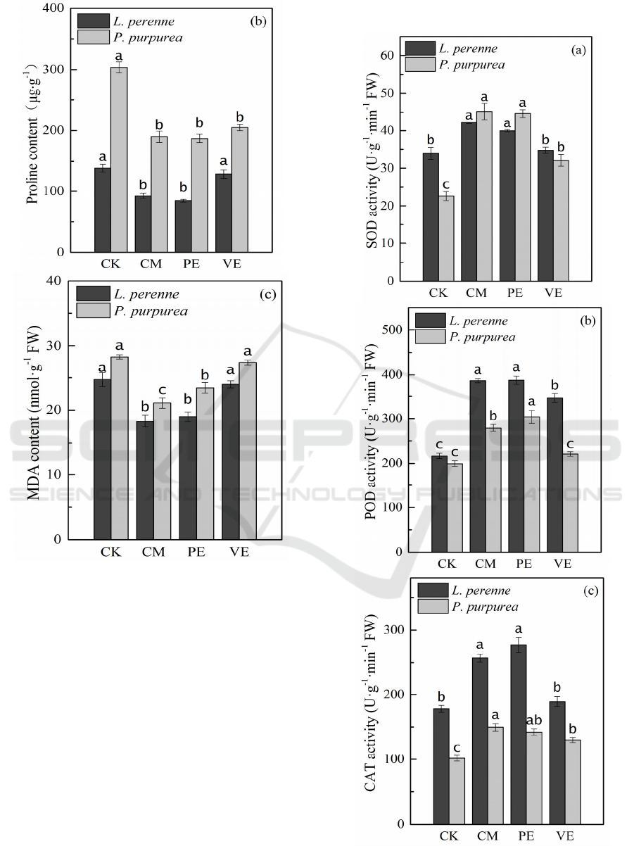
3.2 Root Activity, Proline and MDA
The physiological and metabolic effects of the three
amendments on Cr (III) are shown in Figure 1.
Under Cr (III) stress, the three amendments
significantly (P < 0.05) promoted the root activity of
the plants, according to Figure 1a. PE had the
greatest influence on the root activity of L. perenne
and P. purpurea, which was 2.6 and 2.5 times higher
than that of the control plants, respectively. VE had
the minimum effect, but it was still more than
123.7% and 112.4% of that of CK, respectively.
Proline (Pro) is an osmoregulatory substance in
plants (Vernay 2008). Both CM and PE significantly
decreased the Pro content (P < 0.05) of the two
plants, and VE had the least effect under Cr(III)
stress (Figure 1b). Compared with the control, CM
and PE decreased the Pro content to 66.8% and
60.9% in L. Perenne, 62.5% and 61.6% in P.
Purpurea, respectively. Thus, PE can alleviate the
osmotic stress of Cr(III) in plants to a greater extent
than CM.
The content of MDA reflects the degree of cell
membrane lipid peroxidation in plants and reflects
the reactive oxygen species (ROS) content in
plants(Vernay 2008). Under Cr(III) stress, CM and
PE decreased the content of MDA in the two plants.
VE had no significant (P < 0.05) effect (Figure 1c).
CM reduced the MDA content in L. perenne and P.
purpurea to 74.2% and 74.5% of that of CK,
respectively.
Effects of Three Soil Amendments on Plant Physiological Responses in Cr (III)-contaminated Soil
525
Figure 1: Effects of amendments on the physiological
indexes of two plants under Cr(III) stress.
3.3 Cr Uptake and Transport in Plants
The effects of the three amendments on the activity
of antioxidant enzymes in plants under Cr(III) stress
are shown in Figure 2. The three amendments
enhanced the antioxidant enzyme activities of the
plants(Islam 2015). Under Cr(III) stress, the positive
effect of CM and PE on the antioxidant enzyme
activities in plants did not show a significant
difference (P < 0.05), and VE had less of an effect.
In CM group, the SOD activities of L. perenne and
P. purpurea were 24.0% and 99.5% higher than that
of CK (Figure 2a). The POD activity was 78.6% and
40.1% higher than that in the CK group (Figure 2b).
The CAT activity, which was the most sensitive
parameter to the amendments, was 44.4% and 47.3%
higher than that in the CK group, respectively
(Figure 2c).
Figure 2: Effects of amendments on the antioxidant
enzyme activities of two plants under Cr(III) stress.
ICBEB 2022 - The International Conference on Biomedical Engineering and Bioinformatics
526
3.4 Principal Components Analysis
There are many variables involved in this complex
experimental system, and the rank order of the
amendments in terms of their plant growth and
physiological indexes is different (Table 3, Figure 1
and Figure 2). PCA was implemented to determine
the components in the large data set. The growth,
physiological and biochemical indexes of two plants
were included as the analysis variables. The results
are shown in Figure 3.
From PCA, principal component 1 (PC1) and
PC2 explained 79.578% and 9.531% of the total
variance in the L. perenne groups, accounting for
89.109% of the total variance (Figure 3a) and
indicating that most information associated with the
growth and physiological indexes of the plants was
involved in the first two PCs. PC1 displayed
remarkable positive correlations with the root length
(0.929), shoot length (0.929), biomass (0.915) and
moisture content (0.919), and the contents of MDA
and Pro exhibited prominent negative correlations
with PC1 (-0.953 and -0.948). However, no
parameter was correlated with PC2. In the P.
purpurea groups, PC1 and PC2 explained 69.530%
and 18.598% of the total variance in the soils,
accounting for 88.128% of the total variance (Figure
3b). PC1 exhibited distinct positive correlations with
the root length (0.934), SOD activity (0.943), shoot
length (0.920) and root activity (0.892), and the
MDA content displayed a negative correlation with
PC1 (-0.873). However, PC2 had a moderate
positive correlation with only the CAT activity.
Figure 3: PCA of growth and physiological parameters
of two plants (SL=shoot length, RL=Root length,
BM=Biomass, W=Water content, RA=Root activity,
MDA=Malondialdehyde content, Pro=Proline content,
SOD=Superoxide dismutase activity, POD=Peroxidase
activity, CAT=Catalase activity).
The above data analysis shows that after
application of amendments, the growth and
physiological states of the plants were improved.
According to the data score of the response
indicators of the two plants in Cr(III)-contaminated
soil, we can conclude that the rank order of the three
amendments in terms of the comprehensive
improvement was CM > PE > VE. The results
provide guidelines for selecting amendments and
plants for the remediation of Cr(III)-contaminated
soil.
Applying the comprehensive analysis of the plant
growth physiological indexes and the Cr
bioavailability, we found that the effects of the three
amendments were different. The two organic
amendments (CM and PE) were much more
effective than the inorganic amendment (VE) at
improving the function of the soil-plant system due
to the rich organic matter content (Choppala 2015).
CM reduced the stress of Cr to the plants by
reducing the bioavailability of Cr in the soil. PE
enhanced the accumulation of Cr by the plants by
changing the physical and chemical properties of the
soil and promoting plant root growth. Thus, PE can
enhance plant Cr tolerance. The improvement with
the VE amendment was due to the large amount of
silicon (aluminum) hydroxyl groups and metal
hydroxide groups, which effectively adsorb heavy
metals by ion exchange (Bradl 2004).
-1.0 -0.5 0.0 0.5 1.0
-1.0
-0.5
0.0
0.5
1.0
PC2 (9.531%)
PC1 (79.578%)
L. perenne
MDA
Pro
POD RA
CAT
SOD
BM
SL
RL
W
-1.0 -0.5 0.0 0.5 1.0
-1.0
-0.5
0.0
0.5
1.0
RL
W
SOD
SL
BM
CAT
RA
POD
Pro
MDA
PC2 (18.598%)
PC1 (69.530%)
P. purpurea
Effects of Three Soil Amendments on Plant Physiological Responses in Cr (III)-contaminated Soil
527
4 CONCLUSION
In this study, we found that all three amendments
have a positive effect on plant growth in
Cr(III)-contaminated soil. The rank order of the
three amendments in promoting plant growth was
CM > PE > VE under Cr(III) stress. These results
may be useful for screening effective amendments
and plant species for the remediation of
Cr(III)-contaminated soil.
REFERENCES
Abd, E.K.M., Mahdy, H.A.A. (2015) Effect of phosphorus
and potassium fertilization on growth and yield of
corn plants under different natural soil amendments.
Sci. Agr., 2: 70-75.
Ashraf, A., Bibi, I., Niazi, N.K., Yong, S.O., Murtaza, G.,
Shahid, M., Kunhikrishnan, A., Li, D., Mahmood, T.
(2017) Chromium (VI) sorption efficiency of
acid-activated banana peel over
organo-montmorillonite in aqueous solutions. Int. J.
Phytoremedian., 19: 45-90.
Bates, L.S., Waldren, R.P., Teare, I.D. (1973) Rapid
determination of free proline for water-stress studies.
Plant Soil, 39: 205-207.
Batish, D.R., Singh, H.P., Setia, N., Kaur, S., Kohli, R.K.
(2006) Effect of 2-benzoxazolinone (BOA) on
seedling growth and associated biochemical changes
in mung bean (Phaseolus aureus). Z. Naturforsch. C.,
61: 709-714.
Beauchamp, C., Fridovich, I. (1971) Superoxide
dismutase: improved assays and an assay applicable to
acrylamide gels. Anal. Biochem., 44: 276-287.
Beesley, L., Moreno-Jimã, Nez, E., Gomez-Eyles, J.L.
(2010) Effects of biochar and greenwaste compost
amendments on mobility, bioavailability and toxicity
of inorganic and organic contaminants in a
multi-element polluted soil. Environ. Pollut., 158:
2282-2287.
Bidar, G., Garçon, G., Pruvot, C., Dewaele, D., Cazier, F.,
Douay, F., Shirali, P. (2007) Behavior of Trifolium
repens and Lolium perenne growing in a heavy metal
contaminated field: Plant metal concentration and
phytotoxicity. Environ. Pollut., 147: 546-553.
Bradl, H.B. (2004) Adsorption of heavy metal ions on
soils and soils constituents. J. Colloid. Interf. Sci.,
277: 1-18.
Cakmak, I., Marschner, H. (1992) Magnesium deficiency
and high light intensity enhance activities of
superoxide dismutase, ascorbate peroxidase, and
glutathione reductase in bean leaves. Plant Physiol.,
98: 1222-1227.
Chen, Y.Y., Dong, B.B., Xin, J. (2017) Occurrence and
fractionation of Cr along the Loushan River affected
by a chromium slag heap in East China. Environ. Sci.
Pollut. R. Int., 24: 15655-15666.
Choppala, G., Bolan, N., Kunhikrishnan, A., Skinner, W.,
Seshadri, B. (2015) Concomitant reduction and
immobilization of chromium in relation to its
bioavailability in soils. Environ. Sci. Pollut. Res. Int.,
22: 8969-8978.
Habashy, N.R., Abdel-Razek, M.K.A. (2011) Effect of
some natural and organic soil amendments on
improving some clayey soil properties and its
productivity. J. Appl. Sci. Res., 7: 1721-1731.
Heath, R.L., Packer, L. (1968) Photoperoxidation in
isolated chloroplasts: I. Kinetics and stoichiometry of
fatty acid peroxidation. Arch. biochem. Biophys., 125:
189-198.
Huang, T.H., Lai, Y.J., Hseu, Z.Y. (2018) Efficacy of
cheap amendments for stabilizing trace elements in
contaminated paddy fields. Chemosphere, 198:
130-138.
Islam, U.D., Asghari, B., Sajid, M. (2015) Chromium
toxicity tolerance of Solanum nigrum L. and
Parthenium hysterophorus L. plants with reference to
ion pattern, antioxidation activity and root exudation.
Ecotox. Environ. Safe., 113: 271-278.
Khan, M.A., Ding, X., Khan, S., Brusseau, M.L., Khan,
A., Nawab, J. (2018) The influence of various organic
amendments on the bioavailability and plant uptake of
cadmium present in mine-degraded soil. Sci. Total.
Environ., 636: 810-817.
Kingsbury, R.W., Epstein, E., Pearcy, R.W. (1984)
Physiological Responses to Salinity in Selected Lines
of Wheat. Plant Physiol., 74: 417-423.
Li, L.F., Ai, S.Y., Wang, Y.H., Tang, M.D., Li, Y.C.
(2016) In Situ Field-Scale Remediation of Low
Cd-Contaminated Paddy Soil Using Soil
Amendments. Water Air Soil Poll., 227: 342-351.
Li, H., Li, H. (2000) Principles and techniques of plant
physiological biochemical experimental. Higher
Education Research and Development, Beijing.
Nelson, D.W., Sommers, L.E., Sparks, D.L., Page, A.L.,
Helmke, P.A., Loeppert, R.H., Soltanpour, P.N.,
Tabatabai, M.A., Johnston, C.T., Sumner, M.E. (1996)
Methods of Soil Analysis. Am. J. Potato. Res., 9:
961-1010.
Reijonen, I., Hartikainen, H. (2016) Oxidation
mechanisms and chemical bioavailability of chromium
in agricultural soil pH as the master variable. Appl.
Geochem., 74: 84-93.
Uva, R.H., Neal, J.C., Ditomaso, J.M. (1997) Weeds of the
Northeast. Taxon, 47: 214-217.
Vernay, P., Gauthier-Moussard, C., Jean, L., Bordas, F.,
Faure, O., Ledoigt, G., Hitmi, A. (2008) Effect of
chromium species on phytochemical and physiological
parameters in Datura innoxia. Chemosphere, 72:
763-771.
ICBEB 2022 - The International Conference on Biomedical Engineering and Bioinformatics
528