System Approach to Ensuring the Safety of Modern Vehicles
Irina Makarova
1a
, Gulnara Yakupova
1b
, Vladimir Shepelev
2c
, Polina Buyvol
1d
,
Eduard Mukhametdinov
1e
, Aleksandr Barinov
3
and Albert Abashev
4
1
Kazan Federal University, Suymbike Avenue, 10A, Naberezhnye Chelny, 423822, Russia
2
South Ural State University, Lenin Avenue, 76, Chelyabinsk, 454080, Russia
3
Murmansk State Technical University, str. Sportivnaya, 13, Murmansk, Russia
4
Kazan State Energy University, Krasnoselskaya st., 51, Kazan, 420066, Russia
abashev1999albert@mail.ru
Keywords: Modified Haddon Matrix, Systems Approach, Traffic Safety, Road Accidents and Violations, Accident
Probability and Severity.
Abstract: Improving road safety is a priority worldwide. A systematic approach can reduce accidents and injuries, since
various resources and methods of solving the problem are involved. The purpose of the article was to establish
a relationship between violations and road accidents. To identify the factors affecting the probability of
accidents and the severity of their consequences, an analysis of real statistics on violations and road accidents
was used. It was found that the city planning decision and its size affect the specifics of traffic control. A
developed events to improve road safety is presented, systematized in a modified Haddon matrix, in which,
in addition to traditional groups of factors (human, vehicle, environmental factors), a new factor is added -
information technology or artificial intelligence. It was noted that feedback was needed to ensure the
effectiveness of the recommended events. That is re-analysis of next period statistics, assessment of changes
and adjustment of Haddon matrix, by eliminating ineffective measures and replacing them with others.
1 INTRODUCTION
The acceleration of urbanization, causing the growth of
megacities and, as a result, the need for mobility and
motorization of the megacities’ population. At the same
time, the level of population’s motorization, as well as the
number of commercial vehicle parks, is increasing,
which, in turn, with insufficient infrastructure
development, leads to an increase in the number of road
accidents, as well as the severity of their consequences.
This reduces the stability and safety of the transport
system as a whole. Events related to COVID-19 have
changed the parameters of the transport system’s
functioning. Due to local bans on travel by private
automobile transport, the level of drivers’ professional
skill, determined, among other things, by the regularity of
driving, has decreased. After the ban on movement for
a
https://orcid.org/0000-0002-6184-9900
b
https://orcid.org/0000-0001-6822-3700
c
https://orcid.org/0000-0002-1143-2031
d
https://orcid.org/0000-0002-5241-215X
e
https://orcid.org/0000-0003-0824-0001
both pedestrians and drivers was lifted, the risk of
accidents increased significantly. To create an effective
traffic control system, it is necessary to have a tool with
which it would be possible to identify the most significant
factors from the actual data, to play various scenarios of
the events’ development, to make corrective decisions,
and subsequently, to analyse their effectiveness.
2 METHOLOGY OF THE
SYSTEM APPROACH IN THE
ROAD SAFETY MANAGEMENT
The effectiveness of a management strategy based on a
systematic approach to the greatest extent affects traffic
safety, since thanks to a combination of technical and
Makarova, I., Yakupova, G., Shepelev, V., Buyvol, P., Mukhametdinov, E., Barinov, A. and Abashev, A.
System Approach to Ensuring the Safety of Modern Vehicles.
DOI: 10.5220/0010538307830790
In Proceedings of the 7th International Conference on Vehicle Technology and Intelligent Transport Systems (VEHITS 2021), pages 783-790
ISBN: 978-989-758-513-5
Copyright
c
2021 by SCITEPRESS Science and Technology Publications, Lda. All rights reserved
783
organizational measures, it is possible to predict and
prevent most accidents, as well as reduce the severity of
the consequences. The effectiveness of this approach is
confirmed by the example of many European countries
(Zero mortality; Jurecki, 2020; Buehler, 2021; ITF,
2020), which manage to approach zero deaths on the
roads, despite the high level of motorization. Public
policies in many countries are also focused on the
application of a systemic strategy in the issue of road
safety. For example, in the document (Road safety
strategy, 2018) Intelligent Transport System (ITS) is
designated as the basis for improving road safety, which
means “a control system that integrates modern
information and telematic technologies and is designed
for automated search and adoption of the most effective
scenarios for managing the region transport and road
complex, a specific vehicle or vehicles’ group in order
to ensure a given mobility of the population, maximize
the use of the road network, improve the transport
process safety and efficiency, for drivers’ and transport
users’ comfort”. The creation of ITS to improve safety
is accompanied by the introduction of communication,
data collection, processing, management and control,
originally embedded in vehicles and infrastructure
(Shepelev, Nikolskaya, 2020; Khazukov, 2020). Then,
based on the information received in real time
(Makarova, 2016; Shepelev, 2020), effective
management decisions are formed.
2.1 Accident Prevention
To reduce the likelihood of an accident, it is necessary
to develop active safety - a set of measures aimed at
preventing their occurrence. This should include the
structural characteristics of vehicles, roadways and
infrastructure, as well as drivers’ sufficient experience,
driving culture and organizational factors.
The properties of vehicle active safety are
characterized by braking qualities, controllability and
stability in emergency modes; visibility from the
driver's seat, the vehicle’s external information
content - the number, color, location of external
lighting devices, the level of noise in the passenger
compartment. Cruise control systems, blind spot
detection, automatic wipers also help the driver to
avoid a traffic accident (Gimignani, 2013). Active
safety systems should include Advanced driver-
assistance systems, which, among other things, solve the
problems of recognizing and displaying information
about infrastructure objects, road users, weather
conditions, and navigation and routing. At the same
time, there are systems that allow the driver to make
adjustments to the control of the vehicle, depending on
the type of prompts that appear, and those that have
built-in response tools without involving the driver
(Trager, 2021). The researchers in (Makarova, 2017)
decline that the vehicles’ intellectualization will increase
the stability of transport systems.
The problem of the most vulnerable road users’
safety is also relevant. Therefore, in the study
(Makarova, 2018) the authors considered a method of
preventing a collision with a pedestrian by installing
a push-button traffic light. It is proposed to use a
fuzzy logic mechanism to control traffic light phase
switching. Despite a range of technical measures and
efforts to ensure safety in transport systems, the
number of accidents remains high. It is worth noting
that the person in the management system is the most
important and at the same time the least reliable
element, and therefore he cannot perform work
accurately for a long time "- says the author of the
article (Nikolaeva, 2016). That is why research
offering methods and algorithms for the development
of driver fatigue control systems is becoming
especially relevant (Nadai, 2015).
A significant part of road traffic accidents are related
to traffic violations. The study (Martinussen, 2017)
focuses on identifying risk groups of drivers and
indicators of safe and unsafe driving. The use of virtual
reality technologies and mobile applications to improve
the education level of driving vehicles seems to be
effective. So, the authors of (Hsu, 2018) presented a
simulator that expands the trainee's experience in typical
and atypical scenarios when riding a motorcycle.
The authors of (Jin, 2021) investigated the use of
telephones by drivers during a stop at a red traffic light,
as well as while driving. A high correlation was found
between the waiting time and the probability that the
driver will use his phone (with an increase in the waiting
time from 20 to 120-150 seconds, the proportion of
using the phone increases from 27.4% to 46.0%).
It is necessary to reduce traffic intensity, optimize
traffic flows and reduce travel time for certain road
network sites. In (Gorodokin, 2017), the authors propose
a new method for expert calculating the working cycle
of traffic lights with saving the possibility of entering the
intersection of all vehicles arriving from each of the
conflicting directions (including the busiest) in one
cycle. The probability of an accident generally
decreases with a reduce in the traffic flow intensity.
One of the current trends (including due to COVID-
19), contributing to this, is the widespread
introduction of remote workplaces (Crowley, 2020)
and distance learning technologies (Shaytura, 2020).
Finally, in view of the intellectualization both of
vehicles and infrastructure objects of traffic control,
measures are needed to ensure the information security.
Because vulnerabilities in ITS can be exploited for
iMLTrans 2021 - Special Session on Intelligent Mobility, Logistics and Transport
784
terrorist attacks, the research community has begun to
investigate and address potential security issues in
sensing, positioning, recognition and networking
technologies in driverless vehicles (Torre, 2020).
2.2 Reduction of Accident
Consequences Severity
Reduction of injuries received during road accidents
is ensured by measures to increase passive safety.
The elements of the vehicles’ passive safety system
include seat belts and sensors that signal the unfastened
seat belts, ABS, EBS, triplex glass, steering assembly
and dashboards structures that soften the impact on
passengers, doors designed to remain closed in case of
accidents, protected fuel tanks and battery emergency
disconnect switches, vehicle maximum speed limits,
front and rear energy absorbing elements that crumple
on impact. The vehicle interior frame must have
maximum rigidity and strength. Child restraints
reduce the likelihood of child death. However, as
shown in the article (Posuniak, 2018) the improper
use of seat belts can lead to greater danger to the child.
Also, choosing a method for installing the child
restraint system, child weight, and height must be
considered. Wearing good quality protective helmets
can reduce the risk of death in a traffic accident by
42%, and the risk of serious hand injuries by 69%.
Although 167 countries have passed laws on the
mandatory wearing of helmets, only 82 countries
have laws requiring helmets to be fastened and 93
refer to helmet standards in their laws (World Health
Organization, 2018). To reduce pedestrian injuries, an
elastic impact absorbing element is used on the
vehicle front bumper. It allows reaching a certain
deformation zone of the front part of the vehicle body
upon hit. A further development of passive safety
systems for pedestrians is the airbag and hood rising
when hitting. They provide a significant reduction in
injuries when a pedestrian collides with a vehicle.
Passive road safety means measures aimed at
reducing the severity of the accident consequences.
They include such elements as fences with a structure
that ensures the gradual "consumption" of impact
energy, emergency deadlocks on mountain roads,
fences prevented the vehicle from falling off the road
that are installed on dangerous roads sections with
roundings, steep and high slopes. Exceeding the
maximum permissible speed is the cause of at least
30% of deaths. An increase in speed by 1 km/h causes
an increase in the risk of an accident, the participants
of which will receive bodily injuries, by 3% and the
risk of a fatal accident by 5%. The probability of
pedestrian death is eight times higher when in contact
with a vehicle moving at a speed of 50 km/h than 30
km/h. 9 (Goniewicz , 2016). In connection with the
above, it is necessary to install photo-video recording
cameras, to construct artificial road bumps as
preventive measures to ensure that drivers comply
with speed limits. In addition, cameras are used to
monitor violations of safety belts and child restraints.
2.3 Elimination of Accident
Consequences
The efficiency and speed of emergency services
involved in the aftermath of the accident, the
resources availability and the personnel qualification
affect the amount of damage from accidents that have
occurred, as well as the timeliness of providing
medical assistance to victims.
The authors of the work (Lyapin, 2020) propose
to solve this problem on the basis of the developed
conceptual model of the subsystem of response to
accidents, which unites services and organizations
involved in the aftermath of the accident, which, in
order to minimize damage caused by road accidents
to road users, transport infrastructure and the
environment, should unite everything resources and
integrate with an intelligent transport and logistics
system. So, if an accident scene is often cut off from
the nearest peak by a "traffic jam" it is necessary to
solve the problem of laying a route along rough
terrain by correctly choosing a vehicle for driving. It
is proposed to control travel time using methods of
finding the optimal route based on the graph’s theory
with variable weight of ribs, depending on the flow
speed, road and weather conditions on the route,
driver qualification and condition, taking into
account vehicle technical characteristics, quality of
traffic control, random components.
To reduce the incident duration, secondary
accidents and improve the reliability of motorway
traffic, a patrol vehicles’ fleet is often used to detect
traffic accidents and failures, assist stranded
motorists, and provide short-term traffic control. In
(Abrisqueta, 2019), a model is proposed using a
genetic algorithm to optimize the positioning route of
security patrols to minimize the average time they
respond to an incident. To automatically notify
emergency services about a traffic accident and
provide timely medical care to vehicle passengers, in
vehicles emergency call systems, as well as computer
vision technologies are provided. They allow to
recognize a traffic accident and respond accordingly.
Periodic analysis of traffic violations statistics
reveals a group of potentially dangerous drivers, and
accidents analysis systematizes factors affecting their
System Approach to Ensuring the Safety of Modern Vehicles
785
probability and severity. Simulation can be used to
assess possible changes in infrastructure or roadway at
accident concentration sites. The evaluation of the
effectiveness of decisions made and events implemented
should be carried out on the basis of feedback: it is
necessary to analyze how the adoption of certain laws
and other measures affects accident statistics.
3 RESULTS: IDENTIFICATION
OF TYPICAL SITUATIONS
LEADING TO REDUCED ROAD
SEFETY
3.1 In the Russian Federation
Solving the safety problems of transport systems is a
priority area outlined in (Road safety strategy, 2018).
Although, the main accident rates in recent years tend
to decrease, but they are still lagging behind European
ones. If on average in the EU countries the established
indicator - the social risk index - does not exceed 5.5
people per 100 thousand population, then on January
1, 2019 in Russia is 12.4 people per 100 thousand
population (Federal target program, 2018). According
to the Pulitzer Center, the real mortality rate on the
roads of the Russian Federation is 1.28 times higher
than the declared number, since those who died as a
result of an accident after 1 month are not taken into
account (Pulitzer Center, 2021). In 2019, in Russia 164
thousand accidents occurred in which 211 thousand
people were injured and about 17 thousand died
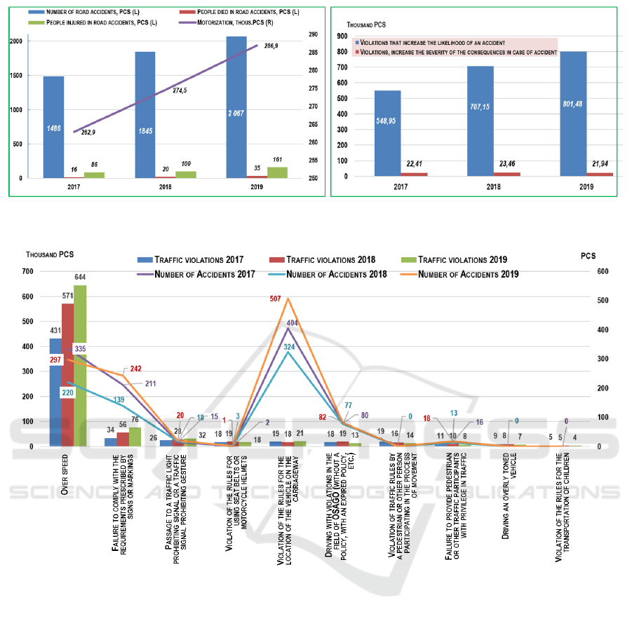
(Information about the indicators, 2021). As can be
seen from the statistics (figure 1 a), the measures
taken are effective, but systemic developments in the
area of improving security are needed. The low level
of road safety is due to reasons such as the low
discipline of road users, due to the insufficient
implementation of the principle of punishment
inevitability, the low efficiency of the driver training
system, the monitoring of the vehicles’ technical and
the road network condition, as well as traffic
organization. In addition, the accidents rate is
negatively affected by the lack of control and
supervisory mechanisms, including for entities
engaged in the transportation of passengers and goods
by road transport, as well as shortcomings in the road
safety management system. It has been established
that more than 85 per cent of road accidents, which
account for more than 80 per cent of fatalities and
more than 90 per cent of injuries, are caused by traffic
violations (Road safety strategy, 2018). That makes it
possible to divide the offences into two categories: (1)
violations that increase the probability of an accident
(driving the vehicle while intoxicated, driving into the
oncoming lane, using a mobile phone while driving,
speeding); (2) violations that increase the severity of
the accident consequences (violation of the rules for
transporting children, ignoring seat belts).
Initial data for analysis were obtained from the official
website of the Russian Federation traffic police
(Information about the indicators, 2021). Figure 1b,
showing the violations dynamics over the past three
years, shows an annual increase (by about 20%) in
violations that increase the accidents’ probability, while
the level of violations that increase the severity of their
consequences remains stable. This dynamics is due to the
growing number of automatic photo-video recording of
violations, as well as the expansion of their capabilities:
the ability to notice violations of several types at once.
Analysis of violations’ types for the three-year
period 2017-2019, showed that the most frequent are
speeding, non-compliance with signs and markings,
driving a red traffic light, violation of parking and
overtaking rules, violation of the rules for using seat
belts and motorcycle helmets (Figure 2). According to a
recent traffic police study, almost half of drivers in Russia
(49%) are distracted from the road when driving a car, and
5% do it constantly.
Figure 1: a) Dynamics of motorization and accidents rate, b) Dynamics of violations in the Russian Federation for 2017-2019.
iMLTrans 2021 - Special Session on Intelligent Mobility, Logistics and Transport
786
Figure 2: Common types of traffic violations in the Russian Federation for 2017-2019.
The main part of the attention is taken away by
gadgets, which explains in most cases the passage to
the red traffic light or the driver's late reaction to the
changing traffic light. According to statistics, 19% of
drivers use phone with slow traffic, and during a stop
at a traffic light - almost 42%. According to the traffic
police, 40% of drivers died in road accidents did not
use seat belts in 2017, and although in 2019 this figure
decreased by more than half (to 19%), 1330 people
died without being fastened.
3.2 In Yelabuga Town
The specifics of traffic control depend on city’s
planning solution and size. For example, the Yelabuga
city, located in the Tatarstan Republic, was taken. It has
a population of 73,913 people, which, according to the
classification, gives reason to attribute it to medium-
sized cities, but having a high level of motorization. The
total length of roads is 166.33 km. All roads have a solid
surface: 125.546 km - asphalt, 15.27 km - gravel,
25.514 km - ground. The density of the road network is
3.99 km/km
2
, which indicates a high branching of road
network, and meets the urban planning standards of the
Tatarstan Republic. The support network of Yelabuga
consists of roads passing through the city and main
streets of citywide and district significance. The support
network includes 10 main streets of regulated traffic of
citywide significance and 7 transport and pedestrian
main streets of district significance. 35% of them are
four-lane, 65% are two-lane. 65% of streets have a lane
width of 3.5 meters, 30% of streets - 3.0-3.25 meters,
5% - 5.0 meters, which indicates the relative uniformity
of support network’s roads. The parameters of some
main streets of Yelabuga do not correspond to the
accepted categories in the number of lanes (less than 4),
the width of the carriageway is less than 3.5 m, there are
no sidewalks, or the width of sidewalks’ pedestrian part
is less than normal. On some streets, the minimum
distance between pedestrian crossings does not meet the
standard. The estimated speed on 65% of the streets is
80 km/h, and on 35% of the streets - 70 km/h. The
specifics of the traffic organization is one-way traffic,
which contributes to increasing throughput, and also
eliminates the conflict of oncoming traffic flows with
insufficient width of the carriageway.
An analysis of the initial information received by
the Road Safety State Inspectorate in the Yelabuga city
for 2017-2019 in terms of accident rate showed that the
number of accidents is growing annually, and, as a
result, the number of victims and deaths is growing
(Figure 3a). The severity of the consequences,
calculated as the share of those died in accidents out of
the total number of victims (dead and wounded), for
2019 year amounted to 8.7%. At the same time, in
almost 100% of cases there was a violation of traffic
rules by traffic accidents participants, in 9% of cases
the vehicle driver was intoxicated, in 23% of cases
unsatisfactory conditions of detention and arrangement
of the road network were recorded. At the same time,
the dynamics of accidents correlates with the averages
in Russia.
System Approach to Ensuring the Safety of Modern Vehicles
787
Figure 3: а) Dynamics of motorization and accident rates in Yelabuga for 2017-2019, b) Dynamics of violations in Yelabuga
for 2017-2019.
Figure 4: Relationship of traffic violations and the number of accidents in Yelabuga for 2017-2019.
Having analyzed the violations increasing the
occurrence probability and severity of the accident
consequences, it was found that the dynamics are
approximately the same as throughout Russia as a
whole (Figure 3b).
To determine the risk of accidents in various types
of traffic violations, the data on the revealed facts of
traffic violations and accidents were compared (Figure
4). In recent years, the decrease in the number of the
most common type of violations (speeding, or non-
compliance with the chosen speed with specific road
conditions) is primarily due to the active introduction
of photo and video recording cameras. At the same
time, a significant number of accidents are associated
with a violation of the rules for the vehicles location
on the roadway. This situation is explained by the
peculiarities of the city’s infrastructure, characterized
by a small territory, where with the growth of
motorization there is a shortage of parking spaces, both
for the vehicles’ permanent storage (10342 places), and
for its temporary stop (5474 places). The maximum
load is observed at the intersection of Tugarov and
Moskovskaya streets, which is 58% of the throughput.
There are other lively unregulated and adjustable
intersections. The absence of traffic lights or
suboptimal parameters of their operation lead to the
accumulation of a large number of vehicles that cause
congestion at such intersections, thereby increasing the
accident’s likelihood. In this regard, there is a need to
optimize traffic and the quality of setting the
parameters of traffic lights operation. One can test the
effectiveness of possible solutions to this problem
using simulation of specific situations, as we
demonstrated in article (Buivol, 2020).
iMLTrans 2021 - Special Session on Intelligent Mobility, Logistics and Transport
788
Figure 5: Modified Haddon matrix.
The problems identified by the analysis require
specific measures to improve road safety, which can be
consolidated into a Haddon matrix. In particular, at this
stage, transport routes’ and infrastructure parameters’
optimization is appropriate for the initial
implementation (Figure 5). This methodology,
(Haddon, 1980), is an example of a systematic approach
that allows to identify risk factors and develop events to
implement a planned and effective management system
to prevent and reduce the harmful effects of road traffic
injuries. In the studies of William Haddon, factors are
subdivided into human, automobile, environmental
factors. They are considered in the context of three time
phases - before the accident, during the accident and
after the accident. In our opinion, due to the fact that the
processes of intellectualization affected both vehicles
and infrastructure, a new factor has appeared in the
traffic control system, which can be indicated by IT or
artificial intelligence (AI). So, we modified the Haddon
matrix. In any case, after the implementation of the
events, re-gathering of statistics and analysis is
necessary to understand the effectiveness of the
decisions taken. You may then need to adjust the events
in the Haddon matrix.
4 CONCLUSIONS
To reduce the likelihood of accidents it is necessary
measures aimed at improving management and
improving road infrastructure may be implemented.
Since most of the accidents are caused by the incorrect
vehicles’ location on the roadway, it can be concluded
that the installation of photo-video recording cameras
did not have a significant effect. Alternative low-cost
events to expand the parking space should be
recommended.
Since the budgets of small and medium-sized cities
are small, it is necessary, first of all, to envisage
management events, fixed in the Haddon matrix, to
optimize the parameters of existing infrastructure
facilities, for example, the phases of traffic lights. At the
same time, simulation is an effective tool for testing
decisions. It should be noted that the necessary
conditions for the successful application of the
Haddon matrix are the collection and systematization
of information on the events carried out, and
subsequently on the parameters of infrastructure,
traffic flow and environment, road users and road
accidents. Only then is it possible to evaluate the
effectiveness of the tools from the Haddon Matrix and
to provide feedback in transport system management.
In this and previous articles (Makarova, 2020;
Yakupova, 2019) we have provided examples of the
identification of factors affecting the accidents’
probability and the severity of their consequences, as
well as the development of events for their minimizing.
To verify the effectiveness of these events, the re-
collection of accident statistics, analysis and adjustment
of events in the Haddon matrix for the management of
the road safety in the next period are required. The
Haddon Matrix allows to systematize recommended
events and track their effectiveness through feedback.
This will be the subject of subsequent scientific and
practical research by the author's team.
ACKNOWLEDGEMENTS
The reported study was funded by RFBR, project
number 19-29-06008\19.
System Approach to Ensuring the Safety of Modern Vehicles
789
REFERENCES
Abrisqueta, A. et al., 2019. Evaluation of VDOT's Safety
Service Patrols to Improve Response to Incidents. In
SIEDS, Charlottesville, VA, USA, pp. 1-5.
Buehler, R., Pucher, J., 2021. The growing gap in
pedestrian and cyclist fatality rates between the United
States and the United Kingdom, Germany, Denmark,
and the Netherlands, 1990–2018. In Transport Reviews.
Advance online publication.
Buivol, P.A. et al., 2020. Search and optimization of factors
to improve road safety. In International Journal of
Engineering Research and Technology, vol. 13 (11),
pp. 3751-3756.
Crowley, F. et al., 2020. COVID-19, social distancing, remote
work and transport choice. URL: http://hdl.handle.net/
10419/221739 (accessed 05.01.2021).
Federal target program of the Russian Federation
"Improving road safety in 2013-2020", approved by the
order of the Government of the Russian Federation
dated October 3, 2013 No. 864.
Gimignani, M. et al., 2013. RF design and technology supporting
Active Safety in automotive applications. In 2013 IEEE 10th
International Conference on ASIC, pp. 1-4.
Goniewicz, K. · et al., 2016. Road accident rates: strategies
and programmes for improving road traffic safety. In
Eur J Trauma Emerg Surg, vol.42, pp. 433–438.
Gorodokin, V. et al., 2017. Procedure for Calculating On-
Time Duration of the Main Cycle of a Set of
Coordinated Traffic Lights. Transportation Research
Procedia, vol. 20, pp. 231-235.
Haddon Jr., W., 1980 Options for the prevention of motor
vehicle crash injury. In Israel Journal of Medical
Sciences, vol. 16 (1), pp. 45-65.
Hsu, C. C. et al.2018. Motorcycle Riding Safety Education
with Virtual Reality. In IEEE International Conference
on AIVR, pp. 216-218.
Information about the indicators of the state of road safety,
2021. URL: stat.gibdd.ru (accessed 05.01.2021).
ITF, 2020. Monitoring Progress in Urban Road Safety. In
International Transport Forum Policy Papers, No. 79,
OECD Publishing, Paris.
Jin, S., et al., 2021. Drivers' Phone Use Behavior at Red Traffic
Signals. In IEEE Intelligent Transportation Systems
Magazine, vol. 13 (1), pp. 169-180.
Jurecki, R.S., 2020. Analysis of Road Safety in Poland after
Accession to the European Union. In Communications,
vol. 22 (2), pp. 60-67.
Khazukov, K. et al., I.,2020. Real-time monitoring of traffic
parameters. In Journal of Big Data, vol. 7 (1), article 84.
Lyapin, S. et al., 2020. Models for Ensuring the Minimum
Arrival Time of Accident Response Services in Intelligent
Transportation and Logistics System. In 2nd International
Conference on Control Systems, Mathematical Modeling,
Automation and Energy Efficiency, pp. 766-771.
Makarova, I. et al., 2016. Increase of city transport system
management efficiency with application of modeling
methods and data intellectual analysis. In Studies in
Systems, Decision and Control Volume, vol. 32, pp. 37-80.
Makarova, I. et al., 2017. Application of the situational
management methods to ensure safety in intelligent
transport systems. In Proceedings of the 3rd
International Conference on VEHITS, pp. 339-345.
Makarova, I. et al. 2018. Improving safety on the
crosswalks with the use of fuzzy logic. In
Transport
Problems, vol. 13 (1), pp. 97-109.
Makarova, I. et al., 2020 Association rules to identify
factors affecting risk and severity of road accidents. In
Proceedings of the 6th International Conference on
VEHITS, pp. 614–621.
Martinussen, L.M. et al., 2017. How indicative is a self-
reported driving behaviour profile of police registered
traffic law offences? In Accident Analysis and
Prevention, vol. 99, pp. 1–5.
Nadai, S. et al., 2015. A system of systems approach to
evaluate at-risk human behaviour in the transport by
road. In ISSE, pp. 212-215.
Nikolaeva, R.V., 2016. Influence of the human factor on
road safety. In Bulletin of the Scientific Center of
Belarusian Railways, vol. 1 (27), pp. 56 – 62.
Posuniak, P. et al., 2018. Child restraint systems: Problems
related to the safety of children transported in booster seats
(without integral safety belts). In XI International Science-
Technical Conference Automotive Safety, pp. 1-7.
Pulitzer Center, 2021. URL: https://roadskillmap.com/
#0,0,2 (accessed 05.01.2021).
Road safety strategy in the Russian Federation for 2018
202, 2018. Order of the Government of the Russian
Federation of January 8, 2018 N 1-r Moscow.
Shaytura, S. et al., 2020. Review of Distance Learning
Solutions Used during the COVID-19 Crisis. In
Proceedings of the 2020 6th ICSSHE, vol. 505.
Shepelev, V., Nikolskaya, K. et al., 2020. The capacity of the road
network: Data collection and statistical analysis of traffic
characteristics. In Energies, vol. 13 (7), article № 1765.
Shepelev, V. et al., 2020. Identification of distinguishing
characteristics of intersections based on statistical
analysis and data from video cameras. In Journal of Big
Data, vol. 7 (1), article number 46.
Torre, G. et al., 2020. Driverless vehicle security: Challenges
and future research opportunities. In Future Generation
Computer Systems, vol. 108, pp. 1092-1111.
Trager, J. et al., 2021. Warning Apps for Road Safety: A
Technological and Economical Perspective for
Autonomous Driving The Warning Task in the
Transition from Human Driver to Automated Driving.
In International Journal of Human–Computer
Interaction, vol.37 (4), pp. 363-377.
World Health Organization, 2018. Global status report on
road safety 2018, URL: https://nonews.co/wp-
content/uploads/2019/02/GSRRS2018.pdf.
Yakupova, G. et al., 2019. Road safety analysis from a
viewpoint of influencing factors. In Proceedings -
International Conference on DeSE, pp. 806
Zero mortality: how does the Swedish concept of Vision Zero
work? URL: http://www.aif.ru/auto/safety/obnulit_smertn
ost_kak_rabotaet_shvedskaya_koncepciya_vision_zero.
iMLTrans 2021 - Special Session on Intelligent Mobility, Logistics and Transport
790