
approach such capacity at a much lower number of
VMs. The process of selecting the most secure alloca-
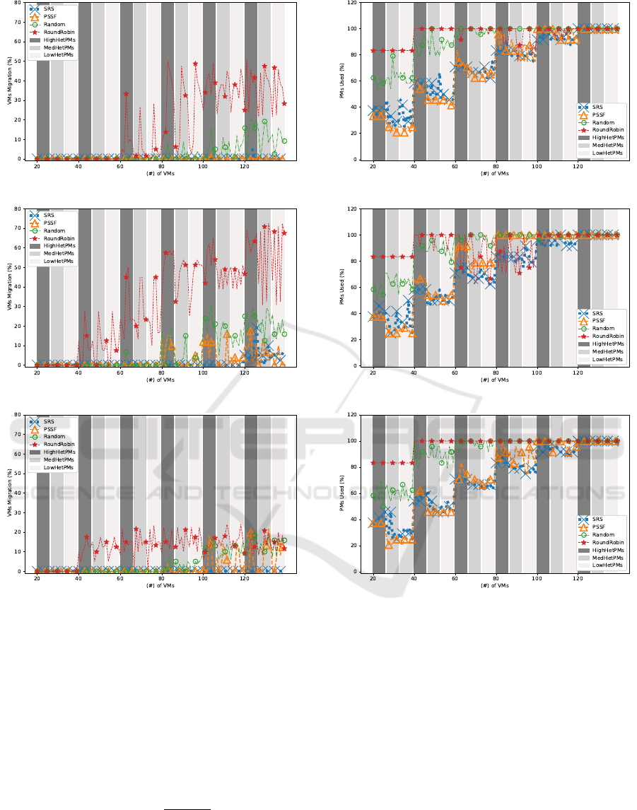
tion, in SRS, focuses on obtaining the most secure al-
locations, rather than obtaining the ones with the least
used PMs. Hence, the Usage
pms
in SRS is consider-
ably higher than PSSF when the available resources
are not limited.
7 CONCLUSION
This paper proposed a secure VM allocation (SRS)
to defend against SCA in CCEs. The presented algo-
rithm aims to find a secure allocation by preventing
or reducing co-residency of a target VM with a ma-
licious VM. Our results show that VM arrival times
have a significant impact on obtaining a secure al-
location. Also, the algorithms that follow a stack-
ing behaviour in VM allocations are more likely to
return secure allocations than spreading or random-
based algorithms. We show that SRS outperforms
other schemes in obtaining a secure VM allocation.
In future work, we will investigate further other fac-
tors that affect secure VM allocations. We also plan
on integrating service level agreements (SLAs) into
the allocation process.
REFERENCES
Afoulki, Z., Bousquet, A., Rouzaud-Cornabas, J., et al.
(2011). A security-aware scheduler for virtual ma-
chines on iaas clouds. Report 2011.
Agarwal, A. and Duong, T. N. B. (2019). Secure virtual
machine placement in cloud data centers. Future Gen-
eration Computer Systems, 100:210–222.
Ahamed, F., Shahrestani, S., and Javadi, B. (2016). Secu-
rity aware and energy-efficient virtual machine con-
solidation in cloud computing systems. In 2016 IEEE
Trustcom/BigDataSE/ISPA, pages 1516–1523. IEEE.
Al-Haj, S., Al-Shaer, E., and Ramasamy, H. V. (2013).
Security-aware resource allocation in clouds. In 2013
IEEE International Conference on Services Comput-
ing, pages 400–407. IEEE.
Azar, Y., Kamara, S., Menache, I., Raykova, M., and Shep-
ard, B. (2014). Co-location-resistant clouds. In Pro-
ceedings of the 6th Edition of the ACM Workshop on
Cloud Computing Security, pages 9–20.
Bahrami, M., Malvankar, A., Budhraja, K. K., Kundu, C.,
Singhal, M., and Kundu, A. (2017). Compliance-
aware provisioning of containers on cloud. In 2017
IEEE 10th International Conference on Cloud Com-
puting (CLOUD), pages 696–700. IEEE.
Balharith, T. and Alhaidari, F. (2019). Round robin schedul-
ing algorithm in cpu and cloud computing: a review.
In 2019 2nd International Conference on Computer
Applications & Information Security (ICCAIS), pages
1–7. IEEE.
Bazm, M.-M., Lacoste, M., S
¨
udholt, M., and Menaud, J.-
M. (2017). Side channels in the cloud: Isolation chal-
lenges, attacks, and countermeasures.
Berrima, M., Nasr, A. K., and Ben Rajeb, N. (2016). Co-
location resistant strategy with full resources opti-
mization. In Proceedings of the 2016 ACM on Cloud
Computing Security Workshop, pages 3–10.
Bijon, K., Krishnan, R., and Sandhu, R. (2015). Mitigating
multi-tenancy risks in iaas cloud through constraints-
driven virtual resource scheduling. In Proceedings of
the 20th ACM Symposium on Access Control Models
and Technologies, pages 63–74.
Calheiros, R. N., Ranjan, R., Beloglazov, A., De Rose,
C. A., and Buyya, R. (2011). Cloudsim: a toolkit for
modeling and simulation of cloud computing environ-
ments and evaluation of resource provisioning algo-
rithms. Software: Practice and experience, 41(1):23–
50.
Ding, W., Gu, C., Luo, F., Chang, Y., Rugwiro, U., Li, X.,
and Wen, G. (2018). Dfa-vmp: An efficient and secure
virtual machine placement strategy under cloud envi-
ronment. Peer-to-Peer Networking and Applications,
11(2):318–333.
Han, J., Zang, W., Chen, S., and Yu, M. (2017). Reduc-
ing security risks of clouds through virtual machine
placement. In IFIP Annual Conference on Data and
Applications Security and Privacy, pages 275–292.
Springer.
Han, J., Zang, W., Liu, L., Chen, S., and Yu, M. (2018).
Risk-aware multi-objective optimized virtual machine
placement in the cloud. Journal of Computer Security,
26(5):707–730.
Han, Y., Alpcan, T., Chan, J., Leckie, C., and Rubinstein,
B. I. (2015a). A game theoretical approach to defend
against co-resident attacks in cloud computing: Pre-
venting co-residence using semi-supervised learning.
IEEE Transactions on information Forensics and Se-
curity, 11(3):556–570.
Han, Y., Chan, J., Alpcan, T., and Leckie, C. (2015b).
Using virtual machine allocation policies to defend
against co-resident attacks in cloud computing. IEEE
Transactions on Dependable and Secure Computing,
14(1):95–108.
Hu, Y., Wong, J., Iszlai, G., and Litoiu, M. (2009). Resource
provisioning for cloud computing. In Proceedings of
the 2009 Conference of the Center for Advanced Stud-
ies on Collaborative Research, pages 101–111.
Jansen, W. A. (2011). Cloud hooks: Security and privacy
issues in cloud computing. In 2011 44th Hawaii Inter-
national Conference on System Sciences, pages 1–10.
IEEE.
Korf, R. E. (2002). A new algorithm for optimal bin pack-
ing. In Aaai/Iaai, pages 731–736.
Li, M., Zhang, Y., Bai, K., Zang, W., Yu, M., and He, X.
(2012). Improving cloud survivability through depen-
dency based virtual machine placement. In SECRYPT,
pages 321–326.
Liang, X., Gui, X., Jian, A., and Ren, D. (2017). Mitigat-
ing cloud co-resident attacks via grouping-based vir-
tual machine placement strategy. In 2017 IEEE 36th
CLOSER 2021 - 11th International Conference on Cloud Computing and Services Science
258