Bias in Filipino Newspapers?
Newspaper Sentiment Analysis of the 2017 Battle of Marawi
Dexter Dave R. Valdeavilla and Maria Teresa R. Pulido
Department of Physics, Mapúa University, Intramuros, Manila City, 1002 Philippines
Keywords: Media, Large-scale Information Systems and Applications, Data Processing, Artificial Intelligence, Big Data
Algorithm, Social Science and Implications for Big Data, Data Analytics, Opinion Mining, Analytics as a
Service (AaaS).
Abstract: Newspapers provide factual reports on current events. However, news media has been shown to be
ideologically biased, often negatively shaping the readers' point of view. News on controversial issues makes
the bias of the newspaper or its writers more visible. This study aims to measure the objectivity of newspapers
by classifying news articles from three newspaper agencies covering the 2017 Battle of Marawi in Southern
Philippines. We used Aylien Sentiment Analysis Tool to detect the bias or polarity in each news article
(whether positive, negative or neutral). Negative articles on Marawi dominated the three broadsheets (45.1%
to 59.9%) while the neutral articles were the least frequent (16.1% to 21.2%). These results indicate that
newspapers apply unequal space on the different sides of an issue, which may lead to unbalanced reporting.
We also note that despite the varying number of total articles, the three papers applied the same proportion of
positive, negative and neutral articles, which may imply collusion. The emergence of Big Data greatly
increases the speed of gathering news articles on any given issue, while the Internet of Things enables readers
and journalists to measure the objectivity of the news.
1 INTRODUCTION
Bias in news media is an inherent, persistent flaw
(Efron, 1971; Anand, et al, 2007). Bias often causes
a sharp increase in political polarization,
misunderstanding, and conflict on issues (Park et al.,
2009). For example, the New York Times has been
observed to cover news events distinct from other
US newspapers (Zelizer, 2002). Major national
news organizations in the US have been seen to
present the same liberal-leaning slant (Sutter, 2000).
News accounts sometimes misrepresent certain
events, such as declining news coverage for protests
that are in reality gaining momentum (Oliver and
Maney, 2000). On the other hand, another study
using an “objective” testing of newspaper articles on
one issue yielded little evidence of partisan media
bias (Niven, 2003).
Figure 1 shows the various causes and forms of
bias (Park et al., 2009) in the media, such as
newspapers. A newspaper may contain selection
bias (which affects the amount of coverage given to
an event), and description bias (which affects the
accuracy of the coverage) (Earl et al., 2004). Bias
may be due to the preferences of the stockholders
and advertisers of a newspaper (Herman and
Chomsky, 1988), as well as competition with rival
newspapers (Ellman and Germano, 2008).
Meanwhile, readers are aware of the inherent
bias of newspapers (Anand, et al., 2007; Chiang and
Knight, 2008) and take this into account when
consuming information. It is also possible that the
measuring tools or the researchers themselves are
the ones to introduce bias in the study. Therefore,
we used a sentiment analysis software to automate
the measurement of the polarity of a news article and
to avoid personal bias from the researchers.
Sentiment analysis tools, such as those found in the
programming languages Python and R, use natural
language processing capabilities to determine the
polarity of a selection of text. Such tools indicate
whether the expression of words being used in a text
are positive, negative, or a neutral way.
408
Valdeavilla, D. and Pulido, M.
Bias in Filipino Newspapers? Newspaper Sentiment Analysis of the 2017 Battle of Marawi.
DOI: 10.5220/0007752104080413
In Proceedings of the 4th International Conference on Internet of Things, Big Data and Security (IoTBDS 2019), pages 408-413
ISBN: 978-989-758-369-8
Copyright
c
2019 by SCITEPRESS Science and Technology Publications, Lda. All rights reserved
Figure 1: Causes and forms of media bias.
Figure 2: A screenshot of an article in Google Spreadsheet using the Aylien Sentiment Analysis tool.
Bias in Filipino Newspapers? Newspaper Sentiment Analysis of the 2017 Battle of Marawi
409
In this work, we aim to measure the amount of
bias contained in Philippine broadsheets or
newspapers. To limit our dataset, we only used news
articles on a particular event with a specific time
range. We chose the 2017 Battle of Marawi due to its
national significance and inherent polarity. The
researchers have personally observed that Filipinos
generally support our armed forces against rebel
groups, however there is disagreement on whether to
implement Martial Law in Mindanao.
The Battle of Marawi City is considered the most
significant terror event in Southeast Asia in the last
15 years (Widiasari, 2018). The conflict lasted for
five months, and resulted in the mass displacement of
civilians, the widespread destruction of civilian
infrastructure, and the loss of civilian lives (Amnesty
International, 2017). Media frames or biases for the
Battle of Marawi include: humanitarianism, hope,
resilience, violence, propaganda, and criticism
(Widiasari, 2018). We gathered news articles about
the battle from major Philippine broadsheets and used
sentiment analysis software to determine the
objectivity of the news articles while excluding the
researchers’ own subjective judgment.
2 METHODOLOGY
We gathered news articles relating to the Battle of
Marawi from the websites of the three major national
newspapers: Manila Bulletin
(https://www.mb.com.ph), Philippine Daily Inquirer
(https://inquirer.com.ph), and Philippine Star
(https://www.philstar.com). We limited our search to
articles within the duration of the battle: May 23,
2017 (when war was declared) to October 22, 2017
(when government troops declared victory over the
rebels). We copied the text of each article onto
Google Sheets with the add-on Aylien Sentiment
Analysis tool (Figure 2).
The polarity of all articles were then collected and
analyzed for possible trends. We note that the time
range for the event can be divided almost equally into
five months. This is advantageous for our research, as
we can investigate trends for five different months,
and we can compare the trend for bigger and smaller
time scales.
3 RESULTS AND DISCUSSION
Table 1 lists the number of articles released by each
news agency regarding the Battle of Marawi. The
three newspapers varied in the number of articles they
released, with the PDI consistently having the highest
number of articles on Marawi. Also, the number of
articles decreased from Month 1 to Month 3, then
increased again by Month 4 when the government
steadily regained territory from the rebel forces.
Table 1: Number of news articles on the Battle of Marawi for each news agency and per month.
Month
(2017)
Manila Bulletin
(MB)
Philippine Daily
Inquirer (PDI)
Philippine Star
(PS)
TOTAL
(M1)
May 23
– Jun 21
61 193 137
391
(M2)
Jun 22
– Jul 22
54 133 103
290
(M3)
Jul 23
– Aug 22
41 54 53
148
(M4)
Aug 23
– Sep 22
50 78 59
187
(M5)
Sep 23
– Oct 23
65 69 35
169
TOTAL 271 527 387 1,185
IoTBDS 2019 - 4th International Conference on Internet of Things, Big Data and Security
410
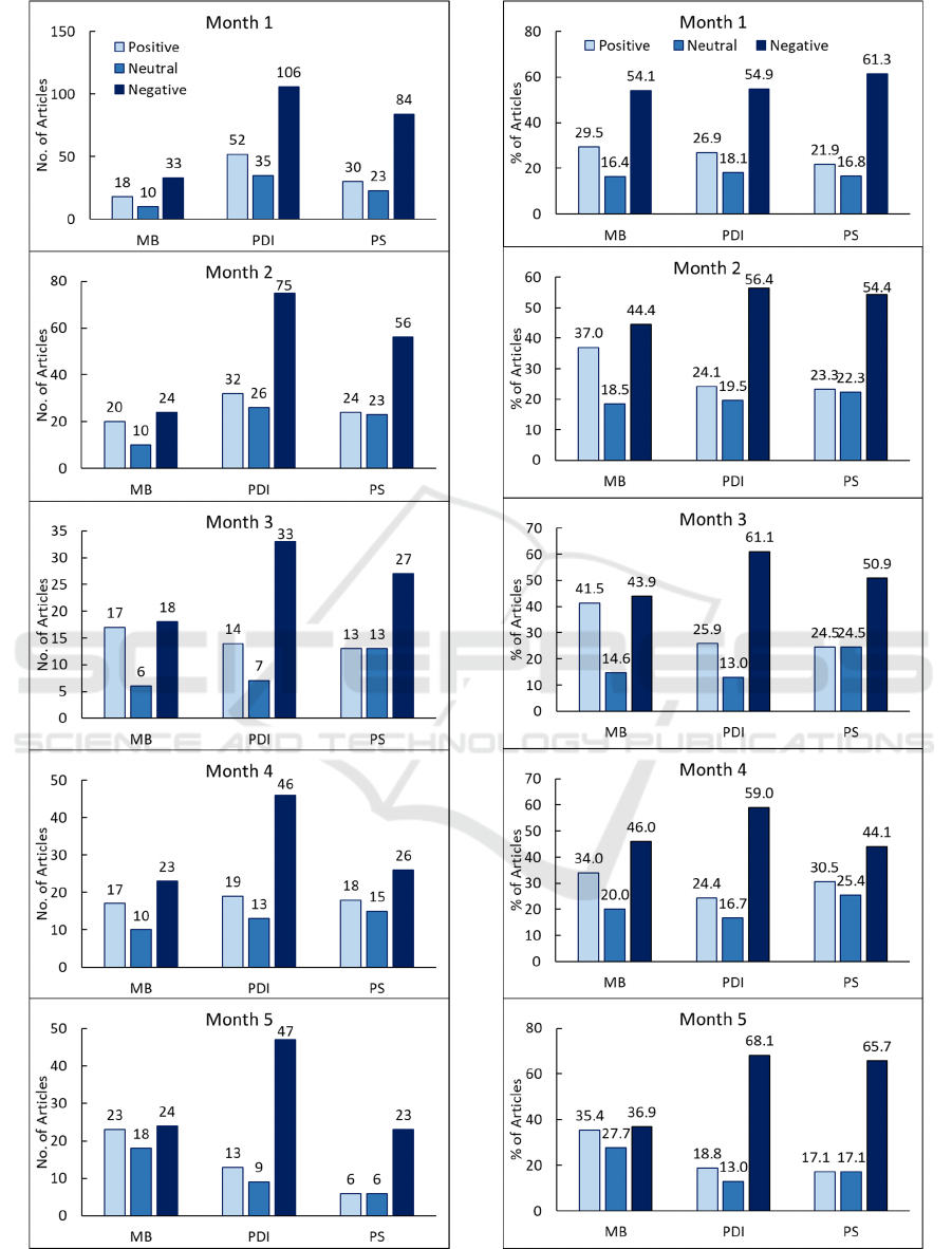
Figure 3: The number of articles classified per month
and per newspaper.
Figure 4: The proportion of articles classified per month
and per newspaper.
Bias in Filipino Newspapers? Newspaper Sentiment Analysis of the 2017 Battle of Marawi
411
Figure 5: Average monthly distribution of positive, neutral and negative articles per news agency. The Battle of Marawi was
covered for 5 months.
For every month of the coverage on Marawi,
majority of the news was negative, followed by
positive, with minority of the news items evaluated as
neutral (Figure 3). When we normalized the values
shown in Figure 4 with respect to the total number of
articles published by each news agency, we found
highly similar proportions of positive, neutral and
negative articles (Figure 4).
Figure 5 summarizes the results. For all three
papers, a significant proportion (78% to 84%) of the
news on Marawi were found to be polarized (either
positive or negative). Majority of the articles were
negative for all three broadsheets (45.1% to 59.9%),
while a distinctly small minority of articles were
neutral (16.1% to 21.2%).
The results highly suggest the presence of bias,
particularly anti-administration bias, with regards to
the Battle of Marawi. In addition, seeing the similar
distributions of negative, neutral, and positive news
suggest collusion among the three news agencies. For
more complete results, we can use other sentiment
analysis software as well as construct our own.
The Battle of Marawi is admittedly a controversial
issue. We can also measure the polarity of news on
other issues, especially those universally regarded as
“good”, “bad” or “neutral”, to serve as a baseline for
studies such as this one.
4 CONCLUSIONS
We have studied the news coverage of the Battle of
Marawi, and have seen the prevalence of bias in the
large proportion of news with non-neutral polarity.
Moreover, the three newspaper agencies show highly
similar proportions of positive, neutral, and negative
polarities, suggesting a collusion among newspapers.
We also demonstrated the use of the Aylien
Sentiment Analysis tool to determine the polarity of a
text without inserting the researcher’s own biases or
personal interpretation.
For further study, we recommend the use of other
sentiment analysis software to compare with the
existing results. We can also construct our own
sentiment analysis software, which can be easily
trained with the massive amounts of news articles that
are generated everyday. We can also extend this work
by using the same methods and tools on other topics.
In particular, we can use universal “good”, “bad” and
“neutral” news as baselines for measuring the polarity
of an article. We can also use other news sources
aside from the three studied in this paper.
The emergence of Big Data greatly increases the
speed and convenience of gathering news articles on
any given issue. Meanwhile, the Internet of Things
enables readers to measure the objectivity of a
particular news article or source, and serves as a
check to journalists regarding their work.
ACKNOWLEDGEMENTS
We thank Mr. Carl Vincent M. Espinosa for the
invaluable technical support, the Mapúa University
Yuchengco Innovation Center for the resources in
preparing this manuscript, and our colleagues and
loved ones for their support. We also thank the
organizers of the IoTBDS 2019 Conference for
accepting this work and for the financial support.
IoTBDS 2019 - 4th International Conference on Internet of Things, Big Data and Security
412
REFERENCES
Amnesty International, 2017. [Online] The Battle of
Marawi: Death and Destruction in the Philippines.
Available from: https://www.amnesty.org/download/
Documents/ASA3574272017ENGLISH.PDF
[Accessed 20 January 2019].
Anand, B., Di Tella, R. and Galetovic, A., 2007.
Information or opinion? Media bias as product
differentiation. Journal of Economics & Management
Strategy, 16(3), pp.635-682.
Chiang, C.F. and Knight, B., 2011. Media bias and
influence: Evidence from newspaper endorsements.
The Review of Economic Studies, 78(3), pp.795-820.
Herman, E.S. and Chomsky, N. 1988. Manufacturing
Consent: the Political Economy of the Mass Media.
New York: Pantheon Books.
Earl, J., et al., 2004. The use of newspaper data in the study
of collective action. Annu. Rev. Sociol., 30, pp.65-80.
Efron, E., 1971. The News Twisters. Los Angeles: Nash
Publishing.
Ellman, M. and Germano, F., 2009. What do the papers
sell? A model of advertising and media bias. The
Economic Journal, 119(537), pp.680-704.
Niven, D., 2003. Objective evidence on media bias:
Newspaper coverage of congressional party switchers.
Journalism & Mass Communication Quarterly, 80(2),
pp.311-326.
Oliver, P. E. and Maney, G. M., 2000. Political processes
and local newspaper coverage of protest events: From
selection bias to triadic interactions. American Journal
of Sociology, 106(2), pp.463-505.
Park, S., et al., 2009, April. NewsCube: delivering multiple
aspects of news to mitigate media bias. In Proceedings
of the SIGCHI Conference on Human Factors in
Computing Systems (pp. 443-452). ACM.
Sutter, D., 2000. Can the Media be so Liberal-The
Economics of Media Bias. Cato J., 20, p.431.
Widiasari, N., 2018. Framing the War: The Marawi Siege
as Seen Through Television Documentaries. Asian
Politics & Policy, 10(1), pp.149-154.
Zelizer, B., Park, D. and Gudelunas, D., 2002. How bias
shapes the news: Challenging The New York Times'
status as a newspaper of record on the Middle East.
Journalism, 3(3), pp.283-307.
Bias in Filipino Newspapers? Newspaper Sentiment Analysis of the 2017 Battle of Marawi
413