The Influence of Leadership, Conscientiousness, Vision, and Openness on
the Performance of a Lecturer via Technological Pedagogical Content
Knowledge as Intervening Variable using Structural Equation Model
Sariyati, Sundari, Tety Elida, Budi Hermana
Universitas Gunadarma
Jalan Margonda Raya 100, Depok, West Java, Indonesia
tety@staff.gunadarma.ac.id, bhermana@staff.gunadarma.ac.id
Keywords: SOR model, Technological pedagogical, Conscientiousness, Openness
Abstract: The performance of lecturers in Indonesia is impacted upon by internal factors, such as individual factors of
lecturers, e.g. personality, and external factors including support from universities. This study employs an
SOR (Stimulus-Organism-Response) a model which acts as a link for stimulus factors that will impact
thelecturers’ behaviours which in turn affect their performance. The behaviours of lecturers are focused on
the application of pedagogy and technology in the discharge of their duties. Stimulus factors utilize four
variables, namely college vision and leadership as external factors, conscientiousness and openness as
internal factors. The variables of technological-pedagogy become mediator variables or organisms while
performance is a response factor which is divided into three latent variables, namely education, research,
and the performance of community service. This study employs questionnaire which has 8 variables that are
measured by Likert scale and analysed using Structural Equation Model. The respondents were 101
lecturers from 5 private universities outside Java who took part in the PTS coaching program paid for by the
Ministry of Research, Technology and Higher Education. The result of SEM testing indicates that the most
significant stimulus factor for pedagogical-technological mastery is openness with a path coefficient
value of 0.50.
1 INTRODUCTION
The role played by lecturers in universities is very
significant because they are the major actors in the
process of knowledge transformation to their
students. Their performance is a major determinant
of the quality of university education programs
(Anra and Yamin, 2017). According to the Law of
the Republic of Indonesia Number 14 of 2005,
lecturers are professional educators and scientists
whose main tasks are to transform, develop, and
disseminate science, technology and art via
education, research and community service. With
reference to 2017 statistics on higher education
issued by the Ministry of Research, Technology and
Higher Education, the number of lecturers in
Indonesia was 247269 with 173662 of them teaching
in Private Universities and 73606 of them teaching
in State Universities. The number of lecturers varies
in accordance with the level of education and
functional position. Indonesia is still faced with the
problems relating to the performance of lecturers
(Sukirno, 2017).
The performance of lecturers is also impacted
upon by institutional factor. Augustus, et al. (2005)
reported that leadership is a very vital success factor
to sustain quality improvement and performance in
university. Also, leadership is intimately related to
the vision of the university which incorporates two
of the 11 critical factors involved in the
implementation of total quality management in
universities (Asif et al, 2013).
With reference to the European Commission
(2014), leadership and strategic vision are required
to better engage staff to exploit the potential of
different new models of teaching and learning.
Integrating new technology as well as pedagogy
requires being placed at the center of institutional
teaching and learning strategies and have to be an
integral part of daily activities in universities.
Livingston et al. (2017) stated that a major factor in
18
Sariyati, ., Sundari, ., Elida, T. and Hermana, B.
The Influence of Leadership, Conscientiousness, Vision, and Openness on the Performance of a Lecturer Via Technological Pedagogical Content Knowledge as Intervening Variable using
Structural Equation.
DOI: 10.5220/0008896700180024
In Proceedings of the 1st International Conference on Teaching and Learning (ICTL 2018), pages 18-24
ISBN: 978-989-758-439-8
Copyright
c
2020 by SCITEPRESS – Science and Technology Publications, Lda. All rights reserved
pedagogy is developing different approaches which
can work in different local and national contexts.
The technological development and innovation
in education, particularly the application of
information and communication technology, needs
to be looked forward to by lecturers to ensure that
they are used in the learning process. This
information age is a period of knowledge which
provides a number of strong and incomparable
potentials for discovery, communication,
information exchange, and exploration which is
capable of strengthening both processes of teaching
and learning (Husain and Safdar, 2008). Research
regarding the use of innovative information and
communication technologies for academic purposes
is also advancing rapidly (Glowatz and O'Brien,
2017). Different frameworks or models on the
application of technology by lecturers are broadly
studied, including the Technological Pedagogical
and Content Knowledge (TPACK) model. In the
words of Koehler and Mishra (2009), the model is
an understanding which arises from the interaction
among content, pedagogy, as well as technological
knowledge.
The performance of the lecturer is also impacted
upon by personality factors. These factors are
predictors which play a vital role for lecturers
(Hakim and Fernandes, 2017). This study analyzes
the effect of institutional factors and individual
factors on the performance of teaching, research, and
community service through TPACK using structural
equation models. Particularly, the respondents who
come from universities that are included in the 3T
area are one of the urgencies of this research so that
the challenges or problems faced by lecturers in the
region can be identified through them. Through the
mastery of technology, pedagogy, and content from
their disciplines, lecturers can improve the
performance of Tri Dharma University.
2 METHOD
Research respondents were 101 lecturers who
worked in 5 private universities outside Java, which
are two academies in the province of West
Kalimantan and three universities in the province of
North Maluku. The university is an institution which
is included in the coaching program paid for by the
Ministry of Research, Technology and Higher
Education in 2018. The questionnaire measures 8
variables which comprise four predictor variables,
one mediator variable, and three endogenous
variables. The theoretical model which influences
the relationship of the research variable is the S-O-R
(Stimulus-Organism-Response) model. Individual
and institutional factors are stimulus, TPACK is an
organism, and the performance of lecturers is a
response. The reliability and validity of quizzers
were tested using Cronbach Alpha and Kaiser-
Meyer-Olkin. The hypothesis of the research was
tested by Structural Equation Model, including
determining the direct and indirect impacts of four
exogenous variables on the performance of lecturers
through TPACK variables.
3 RESULT AND DISCUSSION
3.1 Reliability and Validity
The aim of the first stage of this research is to
develop the instruments of research and test models
on university lecturers outside Java, particularly
those in the 3T region or clusters 3 or 4 based on the
rank of universities made available by the Ministry
of Research, Technology and Higher Education in
2018. Testing of reliability and validity was
undertaken before the distribution of questionnaire
to lecturers from five universities. The results of
complete reliability and validity testing are shown in
Table 1.
Table 1: Reliability and Validity.
N
o. Variable Ite
m
Alpha KMO Keteran
g
an
1. Leadership 13 0.920 0.902 Three invalid items (L8, L9 and L11)
2. Vision 6 0.905 0.825 An unreliable item (V6)
3. Conscientiousness 6 0.822 0.814 An unreliable item (C6)
4. Openness 6 0.800 0.720 All items are valid and reliable
5. TPACK 5 0.790 0.657 One invalid and unreliable item (T5)
6. Teachin
g
Performance 7 0.911 0.885 One invalid and unreliable item (TP3)
7. Research Performance 9 0.855 0.784 An invalid item (RP5)
8.
The Performance of Pu
b
lic Services
6 0.904 0.867 An unreliable item (PP1)
The Influence of Leadership, Conscientiousness, Vision, and Openness on the Performance of a Lecturer Via Technological Pedagogical
Content Knowledge as Intervening Variable using Structural Equation
19
3.2 Variable Description
Some of the descriptions of research variables are
closely related to the demographics of respondents
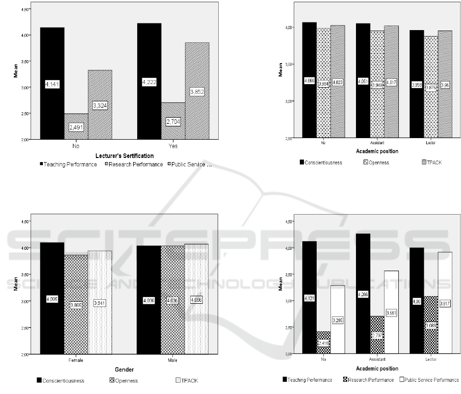
which are presented in Figure 1.
a. Performance and certification b. Personality, TPACK, and academic
position
c.Personality, TPACK, and Gender d.Performance and academic
position
Figure 1: Research Variables and Demographics of the Respondent.
Female lecturers have a tendency to show higher
conscientiousness but lower openness than male
lecturers. Comparison of the performance of
lecturer reveals that certified lecturer manifest
higher research performance than those who have
not been certified. It has not been established
whether lecturers from the field of engineering
have higher TCAPK than lecturers from the social
and humanities fields.
3.3 Structural Model
The testing of research hypothesis is done using
structural equation model analysis and the
estimation results for the standardized model are
presented in Figure 2.
ICTL 2018 - The 1st International Conference on Teaching and Learning
20
Figure 2: Standardized Model.
The empirical model of this study has a goodness
of fit which is not good if the parameters CMIN,
RMSEA, CFI, and FMIN are used and is quite
good if the parameters AIC and ECVI are used.
The outcomes of the measurement of the full
goodness of fit parameter are shown in Table2
below.
Table 2: Model fit of TQM.
No. Statistics Independence Model Default Model Saturated Model
1. CMIN 4667.820 2241.402 0
2. CFI 0 0.674 1.000
3. FMIN 46.678 22.414 0
4. RMSEA 0.168 0.100 -
5. AIC 4765.820 2549.402 2548.000
6. ECVI 47.658 25.494 25.480
The Influence of Leadership, Conscientiousness, Vision, and Openness on the Performance of a Lecturer Via Technological Pedagogical
Content Knowledge as Intervening Variable using Structural Equation
21
Institutional factor which has a very significant
influence on TPACK is vision. The aforementioned
results are in line with the research of Asif et al
(2013) which stated that institutional vision is
among the critical factors needed for the
implementation of total quality management in
universities. Five universities have made vision
statements in the strategic plan document, even
though the level of socialization or internalization
varies. Development of facilities for ICT-based
learning models has also become a strategic program
of each university, but resource constraints are a cog
in the wheel of the operational level. Mission and
vision, are then translated into programs and
aligning between individual goals and institutional
goals. This is the essence of the significant
relationship between TPACK and vision which
further affects the performance of individuals whose
aggregates become institutional performance.
The influence of significant openness on TPACK
is positive, which implies that the open attitude of
the lecturer to the new experience will raise
TPACK. This experience in the context of research
with the TPACK framework is the use of learning
innovations or technology which can promote the
success of the learning process. This influence backs
up the research of Pouratashi and Zamani (2017)
who tested two psychological characteristics,
namely agreeableness and conscientiousness while
the third has a significant influence on the direction
of a positive relationship to the performance of
lecturer research. The difference with this research is
that the conscientiousness variable does not directly
influence the performance of the research, but
indirectly through TPACK.
The influences of insignificant leadership vary
from those of Suryaman (2018) which stated that
leadership, together with job satisfaction,
motivation, and organizational commitment, has a
significant influence on the performance of a
lecturer.. The difference is likely to be due to the
relatively poor institutional performance manifested
by most of its study programs accredited C,
including clusters 3 and 4 based on the ranking of
ministries, and in the 3T region. The condition of the
five universities informed the government's decision
that those universities should engage in a coaching
program which it financed.
TPACK has a very significant influence on
lecturers’ performance, including the performance in
the field of research, teaching, and community
service. The structural model is presented in table 3.
The effect of TPACK on the performance in
teaching is relatively greater than the effect of
TPACK on the performance in research and
community service. This difference was due to the
fact that the TPACK framework was focused
initially on the training process or education. Also,
this research does not specifically and clearly
mention the type of technology used in supporting
research, teaching, as well as community service.
Table 3: Hypothesis test.
No. Relation Estimate S.E. C.R. P information
1. Vision to TPACK 0.314 0.120 2.617 0.009 Effect
2. Leadership to TPACK 0.095 0.083 1.148 0.251 No effect
3. Openness to TPACK 0.636 0.180 3.534 0.000 Effect
4. Conscientiousness to TPACK -0.088 0.122 -0.721 0.471 No effect
5.
TPACK to Teaching
Performance
0.845 0.126 6.722 0.000 Effect
6.
TPACK to Research
Performance
0.470 0.177 2.658 0.008 Effect
7.
TPACK to Service
Performance
0.542 0.172 3.144 0.002 Effect
ICTL 2018 - The 1st International Conference on Teaching and Learning
22
Institutional factors which have not influenced
TPACK require an in-depth study of other factors.
However, from the results of field observations
during the coaching program and the dissemination
of research quizener, technology facilities and ICT,
it was not sufficient enough to create a conducive
academic atmosphere. It is surprising to note that
three of the five colleges have no official website.
Although there are two other universities which
already have adequate ICT facilities and e-learning
facilities, the use of them by lecturers has not been
massively and systematically done. As stated by
Dysart and Weckerle (2015), when technology
support to lecturers is undertaken centrally, it is not
followed by simultaneous professional development
from the other two sides, pedagogy and content
knowledge. Whereas, the TPACK framework is an
integration of the three domains: technology,
pedagogy, and content knowledge. Technology
facilities will not be effective in supporting the role
of lecturers in the implementation of Tridharma in
higher education if there is availability of modern
technology facilities without considering
pedagogical aspects and mastery of content and
discipline of knowledge from lecturers.
A significant implication of this research is the
significant role of the lecturer in integrating the use
of technology which supports their duties in
universities by considering the pedagogical aspects
and the knowledge in accordance with scientific
fields. This integration facilitates the achievement of
individual performance, which is ultimately the
achievement of college performance. The success of
achieving institutional and individual goals requires
a vision and strengthening of leadership at the
university level, and supported by the individual
characteristics of the lecturer such as the nature of
openness to new experiences in learning innovation.
The balance between individual performance
achievement and institutional performance is an
important role of lecturers, including proportionally
balancing the duties of the university's tridharma.
According to Quiambao et al. (2016), lecturers play
a very vital role in improving and sustaining
academic excellence in higher educational
institutions because they are people who are
responsible for executing tasks which are directly
related to institutional objectives.
4 CONCLUSION
Institutional factors and individual factors jointly
serve as an incentive to raise technological
capability in supporting the role of lecturers, but the
level of integration among pedagogy, technology
and relative knowledge content still varies among
lecturers. This difference is as a result of the support
of individual factors and different institutional
factor, which are the components of the stimulus in
the SOR model. Institutional factor with significant
influence is vision, while the individual factor with
significant influence is Openness. Other individual
factors, such as conscientiousness, and institutional
factors of leadership, have no influence on TPACK.
The level of integration of the Pedagogic-
Technological-Content then influences the
performance of the Tridharma lecturer, including
research performance, teaching performance, and
community service performance.
The goodness of fit of the structural equation
model which is regarded as poor is thought to be
with relatively heterogeneous sample and the
number of respondents is relatively small. Future
research will expand the area covered by the
research via the inclusion of several universities on
the island of Java. The status of higher education
was expanded including lecturers from state
universities, in Java Island. Differences in the status
and size of universities will be examined for the
impact of the research variables by considering the
characteristics of the college as a moderator. Other
moderator variables which can be studied further as
moderators are the demographic characteristics of
the respondents.
REFERENCES
Anra, Y. and Yamin, M. (2017). Relationships between
Lecturer Performance, Organizational Culture,
Leadership, and Achievement Motivation. Foresight
and STI Governance, vol. 11, no 2, pp. 92–97.
Asif, M., M.U. Awan, M.K. Khan, and N. Ahmad. (2013).
A Model for Total Quality Management in Higher
Education. Quality&Quantity International Journal of
Methodology, 47: 1883-1904.
Augustus, E.O.A., Longbottom, D., & Murphy, W.D.
(2005). Leadership Best Practises for Sustaining
Quality in UK Higher Education from The
Perspectives of The EFQM Excellence Model. Quality
Assurance in Education, vol.13, issue 2, pp.194-201.
Dysart, S., and Weckerle, C. (2015). Professional
Development in Higher Education: A model for
meaningfultechnology integration. Journal of
Information Technology Education: Innovations in
Practice, 14, 255-265
European Commission. (2014). Report to The European
Commission on New Modes of Learning and
The Influence of Leadership, Conscientiousness, Vision, and Openness on the Performance of a Lecturer Via Technological Pedagogical
Content Knowledge as Intervening Variable using Structural Equation
23
Teaching in Higher Education. High Level Group on
the Modernisation of Higher Education, May 2014.
Glowatz, M. and O’Brien, O. (2017). Academic
Engagement and Technology: Revisiting the
Technological, Pedagogical and Content Knowledge
Framework (TPACK) in Higher Education (HE): The
Academics’. IAFOR Journal of Education, Vol. 5
(Special Issue), pp. 133-159.
Hakim, W. And Fernandes, A. (2017). Moderation Effect
of Organizational Citizenship Behavior on The
Performance of Lecturers. Journal of Organizational
Change Management, Vol. 30 Issue: 7, pp.1136-1148.
Hussain, I. and Safdar, M. (2008). Role of Information
Technologies In Teaching Learning Process:
Perception of the Faculty. Turkish Online Journal of
Distance Education-TOJDE, Vol.9, No. 2, pp.46-56.
Koehler, M.J and Mishra, P. (2009). What is
Technological Pedagogical Content Knowledge?
Contemporary Issues in Technology and Teacher
Education, 9(1), 60-70.
Livingston, K., Schweisfurth, M., Brace, G., and Nash, M.
(2017). Why Pedagogy Matters: The role of pedagogy
in Education 2030. UNESCO, A policy advice paper,
May 2017.
Pouratashi, M. and Zamani, A. (2017). How Faculty
Members’ Personality Traits Influence their Education
Research Performance. New Educational Review,
vol.50, no. 4, pp.70-82.
Quiambao, R.D., Pacho, E.M., and Alambra, R.V.E.
(2016). Faculty Performance Model Using Structural
Equation Modelling (SEM). International Journal of
Scientific & Engineering Research, Volume 7, Issue 6,
pp. 624-631.
Sukirno. (2017). Modeling Academic Professional
Performance in Higher Education. International
Journal of Environmental & Science Education, vol.
12, no. 8, pp.1689-1708.
Suryaman. (2018). Indonesian Private University Lecturer
Performance Improvement Model to Improve a
Sutainable Organization Performance. International
Journal of Higher Education, vol. 7, no. 1, pp.59-68.
ICTL 2018 - The 1st International Conference on Teaching and Learning
24