
Influence Factors to Pipe Pressure on Cast-in Place Pile
Pouring
L Yu
*
, Z L Liu and G Q Zhang
Beijing Xin-Qiao Technology Development Co., LTD, China
Corresponding author and e-mail: L Yu, yuleimabel@163.com
Abstract. Transducer can be used to detect the interface between concrete and slurry by
detecting pressure along pipe. This interface is important to avoid pipe pulled out of concrete
and good for cast-in place p ile construction. But a lot of factors can affect the p ressures on
pipe. In order to detect pressure change around pipe and find out the reasons leading to pipe
pressure changed, some factors such as density, pouring velocity, concrete temperature and
concrete slump must be considered. By means of simu late cast-in place p ile construction in
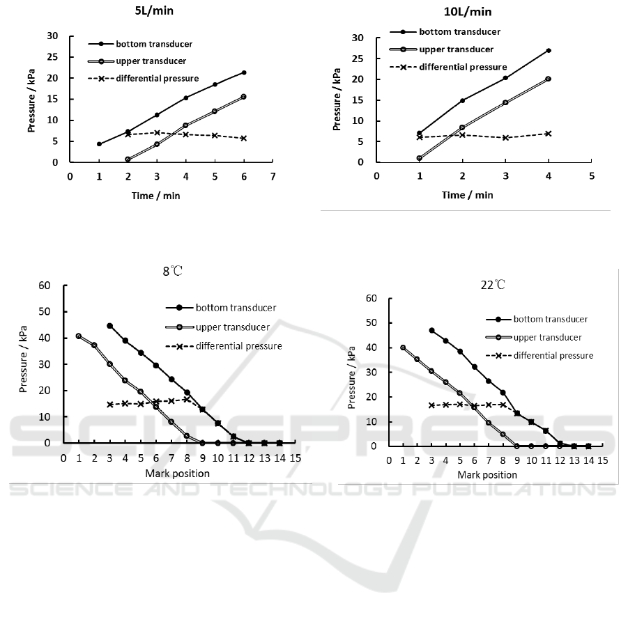
lib rary, pressure along pipe were detected. Results shows that density and pouring velocity
are the main factors that can be effected on pipe pressure. Concrete temperature and slu mp
are not outstanding factors. From d ifferential pressure curve, interface position between
concrete and air can be found.
1. Introduction
During cast-in place pile construction, pipe is used to pouring concrete into pile hole. The interface of
concrete and slurry is very important. Pressures are different between concrete and slurry.
Transducers can be used to detect this interface by test pressure along pipe. But pressure around pipe
will be affected by different factors. To avoid pressure detecting disturbed and get rid of invalid data,
these factors should be found out. Refer to concrete form, the pressure around pipe may be affected
by pouring velocity, depth, density and temperature. In order to detect pressure change around pipe
and find out the interface of concrete and air, these factors must be considered.
2. Test equipment
Laboratory test was done to simulate pouring. A pipe was used to simulate pile hole. Two
transducers were tied on a steel stick. Put the stick into pipe and pouring concrete into pipe, the
pressure will be detected by transducers on stick. Test equipment is shown in figure 1. Fixed up
method of transducers is shown as figure 2.
The steel stick is divided into 10 parts by steel bars. Every pull stick out 10 centimeters, bars can
be put onto top cover of pipe and keep stick steady. Electronic on multi meter is steadier than handle
it.
Transducer output analog signal, pressure need to be calculated. The distance between
transducers is 30 centimeter.
Yu, L., Liu, Z. and Zhang, G.
Influence Factors to Pipe Pressure on Cast-in Place Pile Pouring.
In Proceedings of the International Workshop on Materials, Chemistry and Engineering (IWMCE 2018), pages 161-166
ISBN: 978-989-758-346-9
Copyright © 2018 by SCITEPRESS – Science and Technology Publications, Lda. All rights reserved
161