Effects of Y3 Strain (Pseudomonas Putida) Physicochemical
Properties of Sediment Polluted by Crude Oil
Jie He
1,2, *
, Huan Liu
1,2
, Xiaoru Fan
1,2
, Yuan Liu
1,2
and Haifeng Wei
1,2
1
College of Marine Technology and Environment
Dalian Ocean University
Dalian 116023, PR China;
2
Key Laboratory of Nearshore Marine Environmental Science and Technology in Liaoning Province, Dalian Ocean
University, Dalian 116023, PR China.
Email: hejie@dlou.edu.cn
Keywords: Microorganisms, crude oil, physicochemical properties of soil
Abstract:
There are a lot of microorganisms in crude oil polluted beaches, which have a great influence on the
physicochemical properties of sediment. In this paper, Y3 (Pseudomonas putida) as the experimental object,
the sediment contamination test with different crude oil concentrations (0, 4000, 8000, 12000, 16000, 20000
mg/kg), the sediment pH, total nitrogen, total phosphorus, total organic carbon (TOC) and sediment
dehydrogenase activity were studied to investigate the effect of the microorganism on the physicochemical
properties of the sediment before and after the addition of Y3 (Pseudomonas putida). The results showed
that Y3 (Pseudomonas putida) had little effect on sediment pH; sediment TOC increased and
dehydrogenase activity increased significantly; total nitrogen content did not change significantly, and total
phosphorus content fluctuated with crude oil concentration. These showed that Y3 (Pseudomonas putida)
have a certain influence on the physicochemical properties of sediment polluted by crude oil.
1 INTRODUCTION
According to statistics, the area of organic pollution
in China is approximately 0.2 billion hm2, of which
oil pollution accounts for a large proportion (Hui
and Wang, 2018). In recent years, sediment crude oil
pollution increased seriously. Frequent accidents
such as oil spill on the sea have spread to coastal
waters and beaches under the influence of waves,
tides, and currents, causing certain damage to the
ecosystem and the surrounding residents (Cheng et
al., 2016). Physical and chemical methods are
effective in removing oil. However, the cost is too
high and most chemical methods generate secondary
pollutants. Bioremediation in biological method
refers to the use of indigenous microbial or
exogenous microbial metabolic activities to improve
the sediment physicochemical properties, so that
microorganisms can accelerate the decomposition of
oil hydrocarbons and other pollutants, thereby
achieving the effect of repairing crude oil
contaminated sediment (Finlay, 2008; Zheng et al.,
2013; Roy et al., 2011; Ge et al., 2012), the
advantages of low cost, convenient operation, no
secondary pollution caused rapidly developed in
recent years, and is also the most important and core
component of bioremediation (Ren et al., 2004). The
study of Qin Hua et al also pointed out that
microbial reduction of oil also improves soil
properties (Qin et al., 2005), especially in terms of
increasing dehydrogenase activity.
In this paper, the sediment pH, sediment
dehydrogenase activity, total organic carbon (TOC),
total nitrogen and total phosphorus before and after
the addition of Y3 (Pseudomonas putida) in the
sediment contaminated by crude oil were tested to
study the effect of Y3 (Pseudomonas putida) on
sediment physicochemical properties. And provide
reference for microorganism remediation of crude
oil contaminated sediment.
32
He, J., Liu, H., Fan, X., Liu, Y. and Wei, H.
Effects of Y3 Strain (Pseudomonas Putida) Physicochemical Properties of Sediment Polluted by Crude Oil.
In Proceedings of the International Workshop on Environment and Geoscience (IWEG 2018), pages 32-37
ISBN: 978-989-758-342-1
Copyright © 2018 by SCITEPRESS Science and Technology Publications, Lda. All rights reserved
2 MATERIALS AND METHODS
2.1 Materials
The Y3 strain (Pseudomonas putida) was a
laboratory-preserved strain isolated from Panjin
beach of Liaoning province (Wang et al., 2012). The
optimum growth temperature is 30℃, the optimum
growth salinity is 10, and the optimum pH is 8.
Sediment: The sediment was collected from the
coastal beach of Panjin, Liaoning Province
2.2 Methods
2.2.1 Sediment Treatment.
Dried in a drying box at 105°C, then crushed and
sieved. Liquid crude oil was mixed into the sediment
of each basin, so that the concentration of crude oil
was 0, 4000, 8000, 12000, 16000, 20000mg/kg.
Three parallel experimental groups were set for each
concentration.
2.2.2 The Addition of Y3 (Pseudomonas
Putida)
In each concentration of experimental group, 20 mL
of selected Y3 (Pseudomonas putida) solution with
a concentration of 1.0×10
5
/mL was prepared,
2.0×10
6
/pots (2.0×10
6
bacteria per 200g of sediment,
there were 10
4
Y3 (Pseudomonas putida) in the soil).
The fluidity of the bacteria liquid was used as much
as possible to make it evenly distributed. The groups
with the same concentration without Y3
(Pseudomonas putida) were used as control samples.
2.2.3 Test Methods
Determination of total bacteria in sediment by plate
colony counting. Ultraviolet Spectrophotometry
(GB17378.5—2007) Determination of crude oil
content in sediment. Determination of pH by pH
meter. Determination of Sediment Dehydrogenase
Activity (DHA) with Triphenyltetrazolium Chloride
(TTC) Colorimetry (TTC-UV Spectrophotometry).
Total Organic Carbon Analyzer for Determination of
Total Organic Carbon.
Kjeldahl titration (GB17378.5-2007)
Determination of total N. Spectrophotometry
(GB17378.5-2007) Determination of total P.
3 RESULTS AND ANALYSIS
3.1 Effect of Y3 Strain (Pseudomonas
Putida) on pH in Sediment
As shown in Table 1, the pH was maintained
between 6.68 and 7.89 during the entire experiment,
which was basically neutral. The addition of Y3
(Pseudomonas putida) made the pH more neutral,
the pH was between 6.68 and 7.85. However, it does
not fluctuate. This shows that microorganisms have
little effect on the pH of crude oil contaminated
sediment.
3.2 Effects of Y3 Strain (Pseudomonas
putida) on Dehydrogenase Content
in Sediment
As shown in Figure 1, in this experiment, when
sediment crude oil concentration was 0 mg/kg,
sediment dehydrogenase was lower in the
experimental group than in the control group
4.0557 and 2.8865 respectively. When sediment
crude oil concentration was 4000 mg/kg, the content
of dehydrogenase in control group was 1.3397 and
experimental group was 1.824. While 8000 mg/kg,
the content were 2.8363 and 4.2254 respectively.
Sediment dehydrogenase was higher in the
experimental group than in the control group,
indicating that the crude oil in the sediment can
effectively promote the production of enzymes by
microorganisms and reduce the damage to the
environment. The concentration of sediment
dehydrogenase in the experimental group with crude
oil concentration higher than 12000mg/kg was
basically the same as that in the control group,
indicating that the promotion of sediment crude oil
pollution on sediment microorganisms is limited,
and if the concentration is too high, the stimulation
effect will lost.
Effects of Y3 Strain (Pseudomonas Putida) Physicochemical Properties of Sediment Polluted by Crude Oil
33
Table 1: The effect of pH on the Y3 (Pseudomonas putida) in the oil polluted sediment.
Crude oil concentration (mg/kg)
0 4000 8000 12000 16000 20000
CK
a
+
b
CK
a
+
b
CK
a
+
b
CK
a
+
b
CK
a
+
b
CK
a
+
b
30d 6.68 7.00 7.17 7.25 7.56 7.52 7.26 7.22 7.38 7.38 7.39 7.37
60d 7.08 6.93 7.51 7.04 7.44 6.95 7.27 6.99 7.42 7.12 7.39 7.19
90d 6.86 7.17 2.65 2.14 7.56 7.52 7.26 7.23 7.38 7.38 7.39 7.37
120d 7.11 6.93 1.69 1.57 7.74 6.79 7.27 6.99 7.42 7.12 7.39 7.19
150d 7.64 7.06 1.79 1.97 7.46 6.93 7.51 7.04 7.44 6.95 7.38 7.48
180d 6.68 7.00 7.17 7.25 7.56 7.52 7.26 7.23 7.38 7.38 7.39 7.37
a
No bacteria, control sample
b
Add bacteria, experimental sample
Figure 1: The effect of dehydrogenase content on theY3
(Pseudomonas putida) in the oil polluted sediment.
3.3 Effect of Y3 Strain (Pseudomonas
Putida) on Total Organic
Carbon(TOC) in Sediment
As can be seen from Figures 2, 3, as the
concentration of crude oil increased, the sediment
TOC content gradually increased, and the overall
trend is consistent. As time goes on, the TOC in
sediment first increased and then decreased. The
sediment TOC increased to its maximum at 60 d,
remained for 60 days. And sediment TOC was still
high at 120 d, and then decreased similarly to the
30d. At 180 d, it slightly increased.
Figure 2: The effect of total organic carbon content on the
Y3 (Pseudomonas putida) in the oil polluted sediment
(Change over concentration).
Figure 3: The effect of total organic carbon content on the
Y3 (Pseudomonas putida) in the oil polluted sediment
(Change over time).
IWEG 2018 - International Workshop on Environment and Geoscience
34
3.4 Effect of Y3 Strain (Pseudomonas
Putida) on Total Nitrogen(TN) in
Sediment
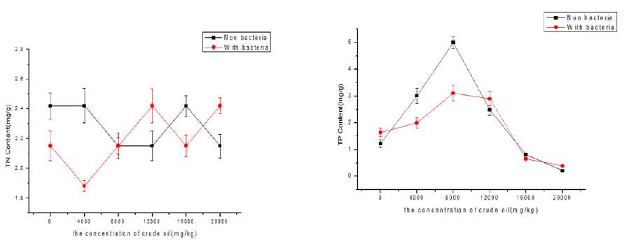
From Figure 4, the total nitrogen content in the
experimental group is similar to that in the control
group, which is related to the concentration of crude
oil in the sediment. When the concentration was
0mg/kg, the contents in the experimental group and
the control group were 2.1504 and 2.4192. While
4000 mg/kg, the contents were 1.8816 and2.4192 ,
the sediment total nitrogen in the experimental
group was lower than that in the control group.
When the concentration was 8000 mg/kg, the
experimental group and the control group were
equal, all 2.1504. The contents were 2.4192 and
2.1504 in the concentration of 12000mg/kg and
20000mg/kg, experimental group total nitrogen was
higher than that in the control group, while the crude
oil concentration of 16000mg/kg, the experimental
group was lower than the control group, the contents
were 2.1502 and 2.4192. It shows that
microorganisms have an effect on sediment total
nitrogen content, but the effect is not significant.
Figure 4: The effect of total nitrogen content on the Y3
(Pseudomonas putida) in the oil polluted sediment.
3.5 Effect of Y3 Strain (Pseudomonas
Putida) on Total Phosphorus (TP)
in Sediment
As shown in Figure 5, the total phosphorus content
of the sediment increased first and then decreased as
the crude oil concentration goes on, and the
maximum was found when the crude oil
concentration was 8000 mg/kg. Sediment total
phosphorus contents in the experimental group at
concentrations of 0mg/kg, 12000mg/kg, and
20000mg/kg were slightly higher than those in the
control group, the contents were 1.6358, 1.2172,
2.8916, 2.4848 and 0.3918, 0.2108. Probably
because of the metabolism of microorganisms in
sediment may produce some soluble phosphate;
When crude oil concentrations were 4000mg/kg and
80,000mg/kg, the total phosphorus contents in the
experimental group was significantly lower than that
in the control group, the contents were 1.9954
3.0036 and 3.1068 4.9993. Probably because of
the existence and reproduction of microorganisms
may use some of the phosphate in the sediment. The
sediment total phosphorus content in the
experimental group was 0.6571 in concentration of
16000 mg/kg was slightly lower than that 0.8104 in
the control group. As a whole, in the low-
concentration oil pollution samples, the
microorganisms have an effect on the total
phosphorus content in the sediment; when the
concentration is high, the effect is not significant.
Figure 5: The effect of total phosphorus content on the Y3
(Pseudomonas putida) in the oil polluted sediment.
When sediment crude oil concentration is higher
than 16000mg/kg, the contents of total phosphorus
in sediment decreased significantly, indicating that
crude oil pollution has a greater impact on sediment
total phosphorus, leading to the loss of sediment
phosphorus and impairing the sediment
physicochemical properties.
Effects of Y3 Strain (Pseudomonas Putida) Physicochemical Properties of Sediment Polluted by Crude Oil
35
4 RESULTS AND DISCUSSION
Y3 (Pseudomonas putida) only affect
dehydrogenase and sediment carbon and nitrogen
content. There are some studies have confirmed that
the biological enrichment of inorganic nitrogen
fertilizers by farmland microorganisms reduces the
loss of nitrogen fertilizers (Shen et al., 1994). In
controlling nutrient supply, sediment microbial
biomass not only acts as a biocatalyst for many basic
reactions, but also equivalent to the fast turnover
library of sediment N and P elements (Burger and
Jackson, 2003). It can be seen that the microbial
activity and sediment physicochemical properties
mutually restrict and promote each other: On the one
hand, the metabolism of microorganisms improves
the physicochemical properties of the sediment; on
the other hand, the increase of the available organic
carbon and nitrogen content of sediment greatly
stimulates the activity of sediment microorganisms,
making better promote the sediment
physicochemical properties.
The suitable pH is favorable to the existence and
distribution of sediment salts. From the experimental
results, it can be known that the sediment pH was
basically neutral
Dehydrogenase is one of the main enzymes in
sediment, and its activity can be regarded as an
important indicator of sediment microbial activity
and functional diversity (Qin et al., 2005). Some
studies have shown that there are certain differences
in dehydrogenase activities in different sediments in
different environments, and different agrochemical
substances or pollutants may also affect the activity
of sediment dehydrogenase (Guo et al., 2000).
Chemical substances may also affect the microbial
diversity of sediment. At present, the influence of
organic compounds such as PAHs, organic
pesticides and microbial diversity of crude oil
sediment have been extensively studied at home and
abroad (Kalayama et al., 2001; Aisllabie et al., 2004).
The results showed that dehydrogenase reacts to
intracellular enzymes in the sediment,
microorganisms have an effect on the content of
sediment dehydrogenase. The addition of Y3
(Pseudomonas putida) can significantly increase
sediment dehydrogenase activity and accelerate
sediment self-repair.
Sediment organic carbon content is one of the
important indicators to measure sediment fertility.
The carbon source is an essential nutrient for the
growth of microorganisms. Organic carbon can be
easily absorbed by microorganisms and utilized. The
content of organic carbon in high-contamination
samples is slightly higher, some of the crude oil
contamination in sediment may be detected.It is also
possible that as pollution concentration goes on, the
Y3 (Pseudomonas putida) is seriously affected, the
utilization of organic carbon in the sediment is
getting lower and lower, so the content of the
retained organic carbon is slightly higher. The
organic carbon content in sediment with time first
increased and then decreased may be due to the
individual components of the crude oil in the
sediment can be used as nutrients for the
microorganisms, so the organic carbon content in
the sediment first increased.
The total sediment nitrogen content is the sum of
various forms of nitrogen in the sediment, including
organic nitrogen and inorganic nitrogen, but does
not include molecular nitrogen in the air. Sediment
total nitrogen content is related to the amounts of
microorganisms and dehydrogenase in the sediment
environment. Dongyun M et al showed that the
activity of soil dehydrogenase was significantly
positively correlated with the nitrogen application. A
timely and appropriate application of nitrogen could
promote the development of the root systems,
thereby increasing the amount of soybean roots,
increasing the secretion of roots.The powerful root
systems promotes the reproduction of sediment
microorganisms (Ma et al., 2007).
From the comparison of the N and P assay
results of each experimental group with the control
group. The content of N changed little, while the
content of P fluctuated with the concentration of
crude oil, the concentration of P and Y3
(Pseudomonas putida) in 8000mg/kg and
12000mg/kg experimental group were higher. It
shows that N and P are the main nutrient elements
and are related to the amounts of bacteria.
Congsheng Z et al pointed out that studying the
distribution characteristics of main nutrient elements
in soil is the important foundation for the study of
Geochemistry in wetland ecosystem,which is helpful
to the study of the plant rhizosphere ecosystem
(Zeng et al., 2009). Hanfeng X et al have confirmed
that there is a significant correlation between
organic carbon and N content in soil layers,
indicating that organic carbon and N have similar
spatial distribution rules; soil organic carbon and P
are related because P has small mobility and is
mainly influenced by organic matter and parent
material are similar to that of organic matter (Xiong
IWEG 2018 - International Workshop on Environment and Geoscience
36
et al., 2005). It shows that the physicochemical
indicators do not exist independently. In the entire
sediment ecosystem, the indicators are
interdependent and mutually promote or restrict and
maintain the sediment ecosystem. The results show
that Y3 (Pseudomonas putida) has an impact on the
TOC, total N, and total P contents of the sediment.
On the one hand, microorganisms use carbon and
nitrogen sources in the sediment for their survival.
On the other hand, microbial metabolism produces
easily decomposable substances that increase the
TOC, total N, and total P which can be measured in
sediment.
ACKNOWLEDGEMENTS
We acknowledge the Natural Science Foundation of
Liaoning (No. 2015020616) the Wetland
Degradation and Ecological Restoration Program of
Panjin Pink Beach (PHL-XZ-2017013-002).
REFERENCES
Aisllabie J M, Balks M R and Foght J M 2004
Hydrocarbon spills on Antarche soils Effects and
management
Environmental Science and Technology
38 1265
Burger M and Jackson L E 2003 Microbial immobilization
of ammonium and nitrate in relation to
ammonification and nitrification rates in organic and
conventional cropping systems
Soil Biol. Biochem 35
29
Cheng C C, Li Q Q and Wang J 2016 Advanced oxidation
technology for remediation of petroleum-contaminated
tidal flat Journal of Environmental Engineering 10
2700
Finlay R 2008 Ecological aspects of mycorrhizal
symbiosis: with special emphasis on the functional
diversity of interactions involving the extraradical
mycelium
Comparative Bio-chemistry & Physiology
Part A Molecular & Integrative Physiology 59 220
Ge G F, Gao H J and Zheng B 2012 Current research
situation and prospect of microorganism response to
polycyclic aromatic hydrocarbons contaminated soil
Journal of Anhui Agricultural University 39 973
Guo M,Chen H J and Wang C L 2000 Effect on soil
dehydrogenase activity of four pesitcides
Environmental Chemistry 19 524
Hui Y F and Wang H F 2018 Progress on bioremediation
in oil-contaminated soil Acta Agriculturae Boreali-
occidentalis Sinica 27 1
Kalayama A, Funasaka K and Fujie K 2001 Changes in
respiratory quinine profile of a soil applied with
pesticides Biology and Fertility of Soils. 33 454
Ma D Y, Guo T C and Song X 2007 Effects of urea
application rate on the quantity of microorganisms and
activity of enzymes in wheat rhizosphere Acta
Ecologica Sinica 27 5222
Qin H, Lin X G and Chen R R 2005 Effects of DEHP on
dehydrogenase activity and microbial functional
diversity in soil Acta Pedologica Sinica 42 829
Ren H F, Shan D C and Li S Q 2004 Study progress on
microbial remedy technology for contaminated soil by
petroleum Journal of Northeast Agricultural
University 35 373
Roy E, Naresh l and Simon S 2011 Surfactants and
bacterial biore-mediation of polycyclic aromatic
hydrocarbon contaminated soil unlocking the targets
Critical Reviews in Environ-mental Science &
Technology 41 78
Shen Q R, Yu L and Liu Z P 1994 Effects of combining
application of organic and inorganic nitrogen
fertilizers on biomass nitrogen and nitrogen-supplying
characteristics of coastal saline soil Acta Pedologica
Sinica 31 287
Wang B, Zhou Y F and Zhang X 2012 The growth and
petroleum degradation characteristics of bacteria in
coastal beach Journal of Dalian Ocean University 27
306
Xiong H F, Liao Q Z and Wu Q F 2005 Distribution on
soil Nutrients and Correlation Analysis in Lake
Liangzi Wetlands, Hubei Province Journal of Lake
Science 17 93
Zeng C S, Zhong C Q and Tong C 2009 Contents of Soil
N,P and K Under Different Land Uses in Estuary
Wetland of Min River Journal of Soil and Water
Conservation 23 87
Zheng C J, Shu Z and Ye Z B 2013 Research progress on
oil sludge treatment technology Applied Chemical
Industry 42
332
Effects of Y3 Strain (Pseudomonas Putida) Physicochemical Properties of Sediment Polluted by Crude Oil
37