
Profile of Physical Fitness, Healthy Life Behavior, Anxiety and
Concentration Level of Elementary School
Nuryadi Nuryadi, Jajat Darajat Kusuma Nagara, Tite Juliantine and Suherman Slamet
Faculty of Sport and Health Education, Universitas Pendidikan Indonesia, Jln. Dr. Setiabudh No.299 Bandung, Indonesia
Nuryadi_71@upi.edu
Keywords: Learning Model, Basic Movement Pattern, Physical Fitness, Healthy Life Behaviour, Anxiety, Cortisol
Saliva, Concentration and Academic Achievement.
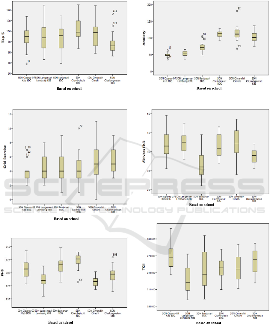
Abstract: This study aims to obtain empirical evidence, develop applying the model and basic movement patterns of
students based on physical fitness profile, healthy life behaviour that associated with concentration, anxiety
and accompanied by examination of salivary cortisol saliva response and academic achievement of
elementary school students in West Java. The results of this study are expected to be known and analysed
the benefits of physical fitness and healthy life behaviour associated with the concentration and anxiety
levels that vary from every student and academic performance of each level or class and yield products in
the form or teaching materials for the development of dominant movement patterns and the suitable learning
models for elementary school students. Based on the results of field survey and data analysis, physical
fitness of students in Bandung showed that 39.70% of the students were in the category of inadequate,
29.38% were in good category, 26.77% were in enough category, and 3.94% very good.
1 INTRODUCTION
The current teenagers’ social life is really worrying
and dangerous if they left without guidance of
parents, teachers and others. Teenagers can be
channeled with positive activities, such as
extracurricular of sports activities, art, and others
(Djaja, 2003). Extracurricular activities are activities
outside the classroom that are very useful for
students (Hackney and Viru, 1999). Extracurricular
activities that can be followed by the students are a
team sport, for example basketball, volleyball,
soccer, futsal, and so on, whereas, the individual
extracurricular are namely karate, badminton,
taekwondo, athletic and others (Blair and Church,
2004). By Brownlee et al. (2005), it is expected to
affect the increase the students’ concentration, as
described by Bailey et al. (2009). In the article
entitled Physical education, Physical activity and
academic performance. It is mentioned that physical
education and physical activity which are done
regularly will affect students’ physical fitness and
learning achievement (Gill, 2007). Another study
says that the influence of physical education and
physical activity can affect academic achievement in
children (Kalman et al.., 2004). The study was
conducted to 214 children for 2 semesters, by Strong
et al. (2005), at Tarleton State University. The
impact of physical activity on the extracurricular as
presented in Niel Egelund's research results, which
was published by Medical Daily in detik health,
states that the sports that are done when leaving for
school by walking or cycling are reflected in the
concentration level that lasted until 4 hours later.
In this study, the researcher team analyzed the
extent to which portrayals of physical fitness,
concentration, anxiety and healthy living behavior
(Daly et al., 2004). In addition, the specific purpose
of this study is to obtain empirical evidence of the
large role of learning models application that
associated with physical fitness levels,
concentration, stress levels (cortisol response) and
healthy life behaviors (Kirschbaum et al., 2000).
2 METHODS
The qualitative method research method was used in
the present study. The research site based on the
research plan was in accordance with the target
population of the study, which are all elementary
school students in Bandung. Research population are
Nuryadi, N., Nagara, J., Juliantine, T. and Slamet, S.
Profile of Physical Fitness, Healthy Life Behavior, Anxiety and Concentration Level of Elementary School.
In Proceedings of the 2nd International Conference on Sports Science, Health and Physical Education (ICSSHPE 2017) - Volume 2, pages 461-465
ISBN: 978-989-758-317-9
Copyright © 2018 by SCITEPRESS – Science and Technology Publications, Lda. All rights reserved
461