
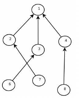
can see the final configuration of the business process
selection process in figure 3.
Figure 3: Final Transmission Configuration.
4 CONCLUSIONS
In this paper we attempted to approach the collabo-
ration between business processes in order to accom-
plish tasks of a business plan. To that end, business
processes either connect directly with the business
process they require to finish the task or they form
coalitions by finding a relay business process to con-
nect to, depending on the business process completion
time.
Subsequently, the business processes establish a
cooperative network in a game theoretic manner. Our
model is based on combinatorial optimisation, which
target the maximisation of the completion time en-
hancement when a relay and a source business pro-
cess cooperate. We derived the characteristic function
used in our game, the coalition core and the credit that
each business process has for playing the relay selec-
tion game. We evaluated a simple and a more com-
plicated scenario, which indicated the fact that using
cooperative business process cooperation the process
network exhibits a better completion time. This is due
to the fact that each source business process gets as-
signed to the relay business process that has the best
completion time enhancement.
REFERENCES
Aumann, R. J. and Dreze, J. H. (1974). Cooperative games
with coalition structures. International Journal of
game theory, 3(4):217–237.
Binmore, K. and Vulkan, N. (1999). Applying game theory
to automated negotiation. Netnomics, 1(1):1–9.
Boyd, S. and Vandenberghe, L. (2004). Convex optimiza-
tion. Cambridge university press.
Chen, H., Chiang, R. H., and Storey, V. C. (2012). Busi-
ness intelligence and analytics: From big data to big
impact. MIS quarterly, 36(4):1165–1188.
Curiel, I. J. (1988). Cooperative game theory and applica-
tions. [Sl: sn].
Katsanakis, I. and Kossyva, D. (2012). C-business: A
theoretical framework for the implementation of co-
opetition strategy in e-business. Procedia-Social and
Behavioral Sciences, 58:259–268.
Li, S. X., Huang, Z., Zhu, J., and Chau, P. Y. (2002). Co-
operative advertising, game theory and manufacturer–
retailer supply chains. Omega, 30(5):347–357.
Minelli, M., Chambers, M., and Dhiraj, A. (2012). Big data,
big analytics: emerging business intelligence and an-
alytic trends for today’s businesses. John Wiley &
Sons.
Saad, W., Han, Z., Debbah, M., Hjørungnes, A., and Bas¸ar,
T. (2009). Coalitional game theory for communica-
tion networks. Signal Processing Magazine, IEEE,
26(5):77–97.
Scheer, A. W., Abolhassan, F., Jost, W., and Kirchmer, M.
(2004). Business process automation. ARIS in prac-
tice.
Shapley, L. S. (1988). A value for n-person games. The
Shapley value, pages 31–40.
Shapley, L. S. and Shubik, M. (1971). The assignment game
i: The core. International Journal of game theory,
1(1):111–130.
Snowden, D. J. and Boone, M. E. (2007). A leader’s frame-
work for decision making. Harvard business review,
85(11):68.
Sonteya, T. and Seymour, L. (2012). Towards an under-
standing of the business process analyst: an analysis
of competencies. Journal of Information Technology
Education: Research, 11(1):43–63.
Spyrou, E. D. and Mitrakos, D. K. (2017). Etx-based relay
selection coalition game for wireless sensor networks.
IWCMC, to appear.
Von Neumann, J., Morgenstern, O., Rubinstein, A., and
Kuhn, H. (2007). Theory of games and economic be-
havior. Princeton Univ Pr.
Weber, R. J. (1994). Games in coalitional form. Handbook
of Game Theory with Economic Applications, 2:1285–
1303.
Yahyaoui, H. (2012). A trust-based game theoretical model
for web services collaboration. Knowledge-Based
Systems, 27:162–169.
Yasir, M., Majid, A., and Abdullah, M. T. (2010). An empir-
ical investigation into the matching problems among
game theoretically coordinating parties in a virtual or-
ganization. BRAND. Broad Research in Accounting,
Negotiation, and Distribution, 1(1):101–109.
Seventh International Symposium on Business Modeling and Software Design
172