Combined Variability Management of Business Processes and Software
Architectures
Andreas Daniel Sinnhofer
1
, Andrea H
¨
oller
1
, Peter P
¨
uhringer, Klaus Potzmader
2
, Clemens Orthacker
2
,
Christian Steger
1
and Christian Kreiner
1
1
Institute of Technical Informatics, Graz University of Technology, Austria
2
NXP Semiconductors, Gratkorn, Austria
{a.sinnhofer,andrea.hoeller,christian.kreiner,steger}@tugraz.at, p.puehringer@inode.at,
{klaus.potzmader, clemens.orthacker}@nxp.com
Keywords:
Software Product Lines, Feature Oriented Modeling, Business Process Variability Management, Software
Configuration
Abstract:
Nowadays, organizations are faced with the challenge of surviving in a highly flexible and competitive mar-
ket. Especially the domain of Internet of Things is affected by short product cycles and high pricing pressure.
Business Process oriented organizations have proven to perform better regarding highly flexible markets and
fast production cycles. However, especially industries focused on low cost IoT systems are facing big prob-
lems if the according business processes are not aligned with the business processes. Consequently, a lot of
development effort is spent for features which are never addressed by any business goal. With this work, we
propose to use a combined variability management in order to efficiently address product variability on the
organizational level as well as on the technical level.
1 INTRODUCTION
We are living in an ever changing and interconnected
world. The dawn of the Internet of Things (IoT) fur-
ther increases the trend for organizations to deliver
feature rich systems in high quantities and at low
costs. Due to this pricing pressure, methods have to be
investigated which allow modular and highly config-
urable systems such that the products can be adapted
to the current requirements of the market.
Business Process (BP) oriented organizations are
known to perform better regarding highly flexible de-
mands of the market and fast production cycles (Mc-
Cormack and Johnson (2000); Hammer and Champy
(1993); Valena et al. (2013); Willaert et al. (2007)).
This is achieved by introducing a management pro-
cess during which business processes are modeled,
analyzed and optimized in iterative improvement pro-
cesses. During recent years, business process man-
agement is further coupled with a workflow manage-
ment in order to monitor the correct execution of the
process and to integrate responsibilities to the process
models. In order to react to changing requirements,
context aware business process modeling techniques
were introduced by Saidani and Nurcan (2007): Flex-
ibility is gained through the analysis of the context
states of the environment which are mapped to the ac-
cording business processes and their related software
systems. The problem with such approaches is that
the used software systems are often developed inde-
pendently from each other, although they share a sim-
ilar software architecture.
Software Product Lines (SPL) have proven to be
essential for the development of flexible product ar-
chitectures which can be adapted to the current re-
quirements (Pohl et al. (2005)). Through the use of
a common architecture and reusable product features,
SPL promises to deliver high quality products while
simultaneously maintaining low development costs.
The most critical phase during the design and the im-
plementation of a product line is the identification of
the variable parts and the common parts of the prod-
uct family (Pohl et al. (2005)). Consequently, a lot of
effort is invested to identify the domain requirements
of the final product portfolio. Equally important is the
selection of the according features during the applica-
tion engineering: It has to be guaranteed, that the cus-
tomer requirements are fully met; further, all unnec-
essary features need to be excluded in order to ensure
low productions costs of the final product. Since the
identification of the domain requirements is usually
carried out from developers, an integrated view of the
36
organizational goals is often missing. Thus, the effi-
ciency of the product line is reduced since additional
effort needs to be invested to configure the product
according to the current requirements.
This work focuses on the development of a frame-
work which aims to enforce a link between the vari-
ability of the business processes and the variability of
the product platform. As such, we propose a com-
bined variability modeling in which the requirements
for the organization as well as for the development
of the product platform are identified together. Af-
ter identifying the requirements, order processes are
designed which reflect the possible product configu-
rations that can be ordered by a customer. These vari-
able order processes are further used to automatically
trigger the product customization process in order to
reduce the production costs of the final product. This
work is based on our previous works in which we
already defined systems for the modeling variability
of business process models (Sinnhofer et al. (2015))
as well as a framework for generating software con-
figurations based on order processes (Sinnhofer et al.
(2016, 2017)).
This work is structured in the following way: Sec-
tion 2 summarizes basic concepts about business pro-
cess modeling as well as software product line engi-
neering. Section 3 summarizes out approach to link
variable order process models to variable software ar-
chitectures in an automatic way. In Section 4 we de-
scribe how we applied the introduced concepts in an
industrial use case and present a simplified example
for illustration purposes. Since the identification of
business drivers is essential for an organization to sur-
vive in a competitive market, we show in Section 5
how we were able to identify improvement opportu-
nities, by analyzing the results of our framework. We
conclude this work by presenting related work in Sec-
tion 6 and a summary in Section 7.
2 BACKGROUND
The current section summarizes the basic concepts of
Software Product Line Engineering and Business Pro-
cess Modeling, which are applied in this work. Fur-
ther, our previous publications which are forming
the foundation of this work – are briefly summarized.
2.1 Software Product Line Engineering
Software Product Line Engineering (SPLE) applies
the concept of product lines to software products. As
a consequence, SPLE promises to create diverse and
high quality software products of a product family in
short time and at low costs Pohl et al. (2005). Instead
of writing software for every individual system, soft-
ware products are automatically generated by com-
bining the required domain artifacts. The principal
concept can be split into two main phases: the Do-
main Engineering and the Application Engineering
(Pohl et al. (2005); Weiss and Lai (1999)).
The Domain Engineering is the phase in which the
variabilities and the commonalities of the according
domain are identified and the reusable domain arti-
facts are implemented. Domain artifacts are devel-
opment artifacts like the software architecture or the
software components. One essential phase during the
domain engineering is the requirements engineering
process, in which a domain analysis has to be per-
formed in order to identify the requirements of the
final product. Based on the identified requirements,
the domain is usually modeled by using a Feature Ori-
ented Design Modeling (Kang et al. (1990)) approach.
During this process, Feature Models are used to ex-
plicitly describe all features of a product, their rela-
tionships, dependencies and additional restrictions.
The Application Engineering is the phase during
which the final products are created by combining the
domain artifacts in a meaningful manner. This is en-
forced by the use of domain constraints which were
modeled during the Domain Engineering phase. In
difference to the Domain Engineering, the Applica-
tion Engineering is mainly focused on reusing arti-
facts rather than the implementation of new artifacts.
In the ideal case, this phase makes use of software
generators to automatically derive product variants
without the need of implementing any new logic. The
amount of reused domain artifacts heavily depends on
the application requirements and gives an estimate on
the efficiency of the product line. Hence a major con-
cern of the application engineering is the detection of
deltas between the application requirements and the
available capabilities of the product line.
2.2 Business Process Modeling
Business Processes (BP) are a specific sequence of
activities or (sub-) processes which are executed in a
certain order to create an amount of value to the cus-
tomer Hammer and Champy (1993). In this work, we
use the concept defined by
¨
Osterle (1995) to model
BPs: BPs are modeled in different layers, where the
top level (macroscopic level) is a highly abstract de-
scription of the overall process and the lower-levels
(microscopic levels) are more detailed descriptions
of the sub-processes. A reasonable level of detail is
reached, if the process description on the lowest lev-
els can be used as work-instructions for the responsi-
Combined Variability Management of Business Processes and Software Architectures
37
ble employees. This leads to the fact that the higher
levels of the process description are usually indepen-
dent of the production facility and the supply chains;
while the lower levels are highly dependent on the
production facility and its capabilities. As a conse-
quence, the macroscopic level is more stable with re-
spect to changes and can be reused in different con-
texts and production environments. The microscopic
levels need to be updated in order to reuse them in dif-
ferent contexts. Variability of such process structures
can be modeled through a variable process structure
(i.e. by adding/removing activities in a process) or
by replacing process refinements with different sub-
processes. In general, three main types of business
processes can be distinguished (see Association of
Business Process Management Professionals (2009)):
Primary Processes: Each of the process activities
adds a specific amount of value to the value chain.
Consequently, such processes are also often re-
ferred to as Core Processes since the customer
value is directly reflected in these processes.
Support Processes: Are processes which are de-
signed to support the Primary Processes like man-
aging resources or infrastructure. Such processes
do not directly add value to the customer but are
essential to ensure the proper execution of the Pri-
mary Processes.
Management Processes: Are designed to mon-
itor and schedule business activities like the exe-
cution of Primary Processes or Support Processes.
While Management Processes do not directly add
value to the customer, they are designed to in-
crease the efficiency of the business activities.
Domain specific modeling languages are usually
used to model all the activities, resources and respon-
sibilities within a Business Process. In the scope of
this work, the Business Process Model and Notation
(BPMN, Object Management Group (2011)) is used
to model processes, but the general concept of this
work is not limited to this notation. The key concepts
which are used in this work, are summarized below
(Object Management Group (2011); Sinnhofer et al.
(2017)):
Events: Occurs during the execution of a process
and may affect the flow of the process. For exam-
ple, the start or the completion of an Activity are typ-
ical events that occur in every process. According to
the BPMN specification Object Management Group
(2011), events are used only for those types, which
affect the sequence or timing of activities of a pro-
cess.
Activities: An Activity is a specific amount of
work that has to be performed by the company or an-
other organization during the execution of a process.
Two different types of activities can be distinguished:
Atomic activities (i.e. a task) and non-atomic activi-
ties (e.g. sub-processes).
Gateways: Are used to control how the process
flows through different sequences of activities. Each
gateway can have multiple input and/or output paths.
One example is a decision, where out of many possi-
bilities, only one path is selected. The selection of the
paths can be coupled to conditions or events which
are triggered during the execution of the process.
Data: Data objects represent the information flow
through the process. Two types of Data objects can
be distinguished: Input Data that is required to start
a specific activity and Output Data which is produced
after the completion of an Activity.
Pool and Lanes: Are used to model responsibili-
ties for specific activities in a process. Responsibili-
ties can be usually assigned to an organization, to spe-
cific roles or even dedicated employees.
It is common practice for organizations to main-
tain multiple variants of business processes which are
based on a common template (Rosa et al. (2017)).
This leads to the situation that similar process vari-
ants are created through a copy and clone strategy. As
a consequence, maintaining these process variants is a
time consuming tasks since every single process vari-
ant has to be manually updated by the according pro-
cess designer. Besides the additional maintenance ef-
fort, using copy and clone strategies also have a nega-
tive influence on the process documentation. To solve
these issues, we proposed a Software Product Line
approach for the derivation of process variants from
business process models (see Sinnhofer et al. (2015,
2016, 2017)). The concept can be split into four dif-
ferent phases:
Process modeling: During the process modeling,
process designers are responsible to design process
templates. The process templates are designed us-
ing the BPMN notation and additional artifacts are
integrated like documentation templates, responsible
roles, resource allocations, etc. The process templates
are designed in an appropriate BPM Tool to fully sup-
port the process designers during the design process.
The process of designing the process templates and
the process of creating the according domain model
goes hand in hand to ensure that the created templates
can be reused in many different contexts.
Domain modeling: During this process, the cre-
ated templates are imported into a Software Product
Line tool and translated into a so called feature model
(see Sub-Section 2.1). During the creation of the fea-
ture model, it has to be decided which parts of the pro-
cess are designed to be variable and which parts are
Seventh International Symposium on Business Modeling and Software Design
38
static. For illustration purposes, the following exam-
ple is given: A company creates car parts for two ma-
jor car manufacturers. While the overall process for
creating the car parts is identical for both customers,
different production planning strategies are used to
optimize the material usage (e.g. stock size, etc.).
As a consequence, the production planning strategy
has to be designed variable such that the overall pro-
cess model can be reused for both customers. The
definition of variable parts and static parts happens
in close cooperation with the according process de-
signers and may even lead to a re-iteration of the first
phase if some process templates need to be adapted.
Not every combination of variants may create mean-
ingful process variants. As a result, a comprehensive
list of restrictions and rules has to be designed as well
to guarantee that only valid and meaningful process
variants can be created by the product line. The list of
rules and restrictions has to be defined flexible as well,
since not every restriction may be identified when the
process model is created. Consequently, re-iterations
of the restriction model are common after collecting
evaluation data from the execution of the process.
Feature selection: Based on the current require-
ment of the organization, process variants are created
using the created feature model. This is done be se-
lecting the required features from the model and by
translating this feature selection to a valid business
process structure. To ensure an automatic transforma-
tion, generators have to be developed which are able
to translate between the business process model and
the feature model. The defined rules and restrictions
are enforced during this process to guide the domain
expert in selecting a meaningful set of options. To
continue the example from above, two process vari-
ants may be created for the two customers. The only
difference between the processes is the production
planning strategy.
Maintenance and Evolution: One of the most
important phases is the maintenance and evolution
phase: To be highly flexible and adaptive to the cur-
rent requirements of the market, processes and their
according models have to be continuously improved
and adapted. As such, the derived processes are moni-
tored by production experts during the time in use and
evaluated against the requirements. Based on the col-
lected data, feature selections can be improved or pro-
cess improvement processes can be scheduled. Dur-
ing a process improvement process, process templates
are updated or created from the process designers and
integrated into the existing feature model. Through
the capabilities of the Software Product Line tool, it
is possible to automatically propagate the changes of
the process templates to every instance. As a conse-
quence, no time consuming and error prone manual
maintenance process is necessary to adapt all the ex-
isting process variants. Since it may happen that some
of the process variants shall not be updated in case of
changes, version control can be used to explicitly state
which version of a template shall be used.
Our today’s business environment is focused on
creating sustainable value by increasing the revenue
of business drivers. The identification of such busi-
ness drivers, or the identification of the drivers which
are able to destroy value is an essential step for an or-
ganization Strnadl (2006). Otherwise, staying com-
petitive or even survive on a flexible market is not
possible. The combination of business variability and
software variability is a promising way to improve the
identification of such drivers. Further, having a com-
bined view of the requirements helps to increase the
overall efficiency of the product line.
3 COMBINED VARIABILITY
MODELING
The goal of this work is an automatic generation of
software products based on the product order. In or-
der to achieve this goal, an integrated view is neces-
sary in which the variability of the software product
is reflected in a variable order process. Since only a
few configuration options are usually exposed to the
end-customer, also all internal processes need to be
covered in the variability management process. The
overall concept of the resulting process is highlighted
in Figure 1. As illustrated, the Process Variability
Framework – which was described in Sub-Section 2.2
– is used as a foundation to model variable order pro-
cess models. Based on this order process models,
order entry forms are automatically generated which
need to be filled by internal or external customers.
Based on the provided data, a product line is triggered
which maps the provided order data to the customiza-
tion options of the software product. Based on the
generated feature mapping, the final product can be
automatically derived without any manual step beside
verification steps which may be required by certifi-
cation requirements. In order to achieve a binding
between the order process models and the generated
order entry forms, the following type model was in-
troduced (Sinnhofer et al. (2017)):
None: No special data needs to be submitted.
Thus, a process node marked with none will not
appear as a setting in the order entry form.
Inputs: This is the abstract concept for differ-
ent input types which are described below. Each
Combined Variability Management of Business Processes and Software Architectures
39
Order Entry
(e.g. Web-Interface)
Process
Variability
Framework
Customer
Domain Experts
Process Variant
Process
Model
Internal Customer
generated
configures
configures
Maintenance
Evolve
influences
Feature
Model
Feature
Selection
Feature
Transformation
Generators
Product
Domain Experts
verify
Order Data
Figure 1: Overview of the concept for combining order process variability and software variability to automatically derive
software products.
Input is mapped to a specific input type, defin-
ing the format of the input. For example, input
data could be delivered in form of a file, or con-
figuration settings could be delivered in form of
strings or integer values. Depending on the ap-
plied domain, also non functional properties may
need to be modeled in the Input type. For exam-
ple, if a security critical product is developed, a
customer may be asked to provide a cryptographic
key which is used to authenticate the customer to
the device. Besides providing this key, also some
kind of specification is required in which format
this data was provided (e.g. pgp encrypted, etc).
Customer Input: Specific data that has to be
added from an external customer. A process ac-
tivity marked with this type will generate an entry
in the order entry form of a specific type. For ex-
ample, drop down list will appear if a customer
can select between different options.
Internal Input: Specific data needs to be added
from an internal stakeholder. A process activity
marked with this type will not generate an entry
in the external customer order interface, but will
create a separate order entry for the according in-
ternal stakeholder.
Input Group: A set of inputs which are logically
linked together. As a consequence, all of these
inputs will be highlighted as a group in the gener-
ated order entry and all of them are required for a
single customization feature of the final software
product.
The information type has to be added to the pro-
cess feature model of the SPLE tool. To support the
domain experts in creating the according mappings,
the following rules are automatically applied by the
SPLE tool based on the BPMN types (Sinnhofer et al.
(2017)):
Activities: Non-atomic activities are used to
group specific sets of input parameter to a single
feature. For example, a process designed for cus-
tomizing an application may require several in-
put parameter (like user name, password, license
files, etc.). As a consequence, non-atomic activi-
ties will appear as an Input Group for all inputs
defined by the according sub-process(es). Any
atomic activity will be automatically tagged as
input type ”None”. The input type ”None” is
also automatically applied if a non-atomic activity
does not contain any data. Consequently, ”empty”
non-atomic activities will also not appear in the
generated order entry form.
Gateways: Are used to define the structure of
the generated form. For example, for a decision
node, a drop down selection will appear such that
the customer can choose between different cus-
tomization paths. For decisions it is further en-
forced that the customer can only select and sub-
mit the data for one single path.
Data: Data is to be provided by any entity in-
volved in the process(es). With respect to our case
study, ”String” turned out to be a meaningful de-
fault value.
Pool and Lanes: Are used to define the source of
the input data. For example, a data node which is
part of a company internal lane will automatically
be tagged as an ”Internal Input”, while Data in an
external lane will be marked as ”External Input”.
”Internal Input” should be used as a default value
to circumvent accidental exposure of internal con-
figuration settings to the end-customer if Pool and
Lanes are not used.
All default mapping rules can be manually over-
written by the Domain Expert during the creation of
the process model. Changes to the process model
Seventh International Symposium on Business Modeling and Software Design
40
Configure
Web Server
Configure
Web Server
Configure
Encryption
Key
IP Address
IP Address Key
Configure
Web Server
Configure
Encryption
Key
IP Address Encryption Key
Load
Customer
Applications
Binary
Version 1 Version 2
Version 3
Figure 2: Exemplary order processes for the three differ-
ent versions of the IoT device, based on (Sinnhofer et al.
(2017)).
Order Process
Configure
Web Server
Configure Data
Protection
Load Customer
Application
IP Address Encryption Key Executable
Mandatory Optional
Requires
Figure 3: Exemplary feature model for the customization
of the IoT device in three different flavors.
(e.g. adding/removing/changing activities) are traced
via unique identifiers and illustrated as a diff-model
such that changes can be reviewed by the Domain
Experts. After the order process model was success-
fully tagged, the according order entry forms can be
generated. With respect to this work, we have cho-
sen web-based forms since they are commonly used
in practice.
As illustrated in Figure 1, the provided customer
data is used to create the feature selection of the final
product. A manual verification step is advisable in or-
der to ensure that no mistake was made during the de-
velopment of the translation logic. Additionally, for
certification purposes it may also need to be proven
that a verification was done to ensure that no cus-
tomer related data is confused with other products. In
order to automatically select the features, the group-
ing information of the order entry is used to select the
required features. After the selection was approved
by the Domain Experts, it is automatically processed
by the product specific code generators of the product
line which utilizes the provided order data to actu-
ally generate the according product. The result of this
process strongly depends on the use case: It could be
a binary file that is loaded to the Integrated Circuits
during the production, a configuration script which is
executed on the final product, or any other approach.
We will discuss a script based approach in Section 4
in more detail.
Especially for new types of products it is very
likely that new knowledge is gained on how to in-
crease the efficiency of the whole process(es). Only if
changes to the generated order entry forms are nec-
essary, a maintenance process for the product cus-
tomization system is required. The maintenance costs
for the product line can be kept as low as possible,
since the code generators and model transformation
logic only has to be updated once, but can be reused
for the whole product line.
4 INDUSTRIAL CASE STUDY
For illustration purposes, we will discuss our indus-
trial case study in more detail, showing how process
models are translated and the final product is auto-
matically derived. The implemented business pro-
cesses of our industrial partner are controlled by an
SAP infrastructure and are designed with the BPM-
Tool Aeneis. Further, we are using the SPLE tool
pure::variants to manage to variability of the business
processes as well as the variability of the final prod-
uct configurations. A more detailed description of the
developed tools plugins can be found in our previous
publications (see Sinnhofer et al. (2015, 2016)). For
illustration purposes, we will consider the following
simplified example: A company is developing small
embedded systems which are used as sensing devices
for the Internet of Things (IoT). The devices are sold
to distributors (refered to as customer in the follow-
ing) in high quantities which mean that the customiza-
tion of the devices cannot be done by the customer
in a feasible way. The device is offered in three dif-
ferent variants with the following features (based on
Sinnhofer et al. (2017)):
Version 1: Senses the data in a given time inter-
val and sends the recorded signal to a customer oper-
ated web-server which is used for post-processing the
data. In the first version, the communication channel
between the web-server and the device is unprotected.
The customer is responsible for providing the connec-
tion string of the web-server to the company.
Version 2: Additionally to the basic features of
the first version, this version allows encryption of
the communication channel between the server and
the node using symmetric encryption algorithms. For
simplicity of this example, it can be assumed that the
encryption key is provided by the customer, which has
to be loaded to every single device. For simplicity, we
assume that the key is sent in plain by the customer.
Combined Variability Management of Business Processes and Software Architectures
41
Figure 4: Exemplary order entry form that is automatically
generated from the Feature Model highlighted in Figure 3.
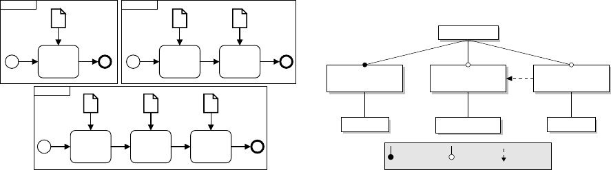
Version 3: Additionally to the basic features of
the first version, this version allows customer appli-
cations to be run on the system. This requires that the
customer submits a binary file which is loaded to the
device during the production.
Traditionally, this would result in three different
order processes which are formed via a copy and
clone strategy (see Figure 2): The order process of
the first version is copied and extended for the sec-
ond version, while the third version is an extended
copy of the second version. This means that changes
to the basic version would result in the maintenance
of two other processes as well. Using our developed
framework leads to the situation that all three pro-
cess variants are derived from one common process
model. As such, the same result is achieved like us-
ing a manual preparation, but the maintenance costs
can be reduced essentially since all variants are au-
tomatically updated. The according Feature Model
is illustrated in Figure 3. For illustration purposes, a
”requires” relationship between the web-server con-
figuration and the data protection configuration is not
highlighted since the ”Configure Web Server” feature
is a mandatory feature. Consequently, the configura-
tion is always part of the final product and does not
need to be explicitly modeled.
To automatically generate the order entry form
based on the feature model, the input data ”IP Ad-
dress”, ”Encryption Key”, and ”Binary” has to be set
to the according type. As such, rules can be defined
to ensure that the given IP Address is formatted as
a valid IPv4 or IPv6 IP Address, or that the encryp-
tion key has a meaningful length, etc. If no additional
checks are implemented, the Domain Expert would
only need to specify the input type of the ”Binary” to
be a binary file. Doing so, the order entry form illus-
trated in Figure 4 can be generated, assuming that all
input parameter are provided by the customer. After
FDL Interpreter
Submission
File
Config
Script
FD
Function Description Language
Language
Primitives
Operations
Script
References
Implementation
Abstract Class
Hierarchy
generated
Figure 5: Framework for a flexible, runtime-configurable
script generation system.
clicking the submit button on the order entry form,
the provided data is converted into an XML file and
zipped together with all the provided files to a zip
archive. The XML file is necessary to ensure that the
product configuration product line is able to automat-
ically interpret the given zip file. Further, having an
XML file has also the positive side effect that it is
human readable which is essential for manual veri-
fication steps. Additional data can be included into
the archive like identifiers and time-stamps to have a
traceable link from placing an order to the actual man-
ufacturing of the product.
Based on the provided data, the final product can
be generated using dedicated code generators. To al-
low a flexible system without the need of re-releasing
the product line if new products are supported, we
decided to define run-time configurable generators.
For this purpose we defined a Domain Specific Lan-
guage (DSL) which is designed to be used by prod-
uct experts. This DSL is called Function Description
Language (FDL) and is used to create customization
scripts for the final product. This means that during
the production process, a script is loaded to each de-
vice which is triggered automatically to customize the
according devices. For every supported product fam-
ily, a Function Description (FD) is written which basi-
cally lists all the possible features of the platform (i.e.
the customization options of the order process model)
and how the provided order data is translated into the
final script. The overall concept is illustrated in Fig-
ure 5. A script library is used which contains common
scripts that can be referenced by the function descrip-
tion. For example, a ’loadApplication’ script may be
developed for the product line in order to install the
customer provided application to the devices.
5 EVALUATION
First results were already compiled in our previous
works (Sinnhofer et al. (2016, 2017)) in which we
compared the development efforts using ”traditional
Seventh International Symposium on Business Modeling and Software Design
42
software development” techniques and compared it
with the overhead of the developed framework. We
use the term ”traditional software development” tech-
niques for a software development with ad-hoc (or
near to ad-hoc) software architecture which means
that multiple different systems are designed almost
independent, but make use of copy and adapt strate-
gies. Consequently, the maintenance efforts for such
systems are rather high. We investigated, that the eco-
nomical breakeven point of the developed framework
is at around 3 to 4 systems. Further, the robustness
of the customization process was increased since au-
tomatic methods were used for the feature selection
and thus, configuration errors could be reduced sig-
nificantly. Through the use of automatic methods, it
was also possible to generate log-files for certification
purposes which are used to ensure that the provided
customer data was loaded and not confused or manip-
ulated.
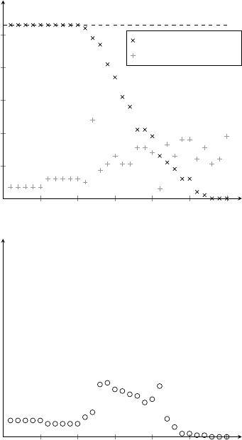
In this work, we will investigate other aspects of
5 10 15 20 25 30
20
40
60
80
100
Customization Options
Number of Products
Number of orders
Quantitative costs
5 10 15 20 25 30
Customization Options
Quantitative Revenue
Figure 6: Analysis of the development efforts and revenue
to identify business drivers. The revenue and the costs are
illustrated in a quantitative manner.
the developed framework, namely the identification
of business drivers: We analyzed the development
efforts of individual product features and contrasted
them with the revenue that was earned by selling the
according product configuration. The development
efforts were extracted from the time-recordings of the
responsible workers and should give a reasonable esti-
mate about the real development efforts. In total, 106
different product orders were analyzed which pro-
vided 30 individual configuration settings. The re-
sults are illustrated in Figure 6. The first 10 prod-
uct configuration options are internal system specific
configuration settings which are mandatory for every
product. A business decision was taken to reduce the
costs for the base system to a minimum level to en-
sure a low cost base product. As a consequence, the
revenue earned by the basic product configuration is
rather low compared to other customization options.
An interesting finding was that a lot of development
effort was invested in complex features which were
never used for any customer or are only rarely used.
Due to this finding, it was decided that some of the
features will be removed from the product in a future
release, in order to reduce the overall costs. As illus-
trated in the Figure, feature 12 required a lot of devel-
opment effort, but is also frequently ordered by cus-
tomers. Consequently, an improvement process was
triggered in order to reduce the costs of this feature.
After having discussed the positive aspects of the
developed framework, we also want to address some
limitations of the current implementation: While we
were able to fully generate the required customization
scripts for simple product configurations, we were
able to only partially generate the scripts for com-
plex product configurations due to the high number of
inter-feature constraints of the product features. This
is not a technical problem of the approach, but having
a complete coverage of all inter-feature constraints
is a time-consuming and iterative process. Further,
modeling all the constraints in advance is usually not
possible for complex systems. As a result, we decided
to model only basic constraints in advance and to up-
date the constraint model with every product order.
Based on this semi-automatic generation, we man-
aged to reduce the time to release a complex product
by 50 percent.
6 RELATED WORK
Traditionally, business process modeling languages
do not explicitely support the representation of fam-
ilies of process variants (Rosa et al. (2017)). As a
consequence, a lot of work can be found which tries
Combined Variability Management of Business Processes and Software Architectures
43
to extend traditional process modeling languages with
notations to build adaptable process models. As such,
adaptable process models can be customized accord-
ing to domain requirements by adding or removing
fragments to the model and by explicitly transform-
ing this model to dedicated process variants which can
be executed in the field. This promises to increase
the flexibility of business process oriented organiza-
tions with respect to highly flexible requirements of
the market. Having such a variability modeling for
business process models builds the foundation of this
work. Thus, related work which is utilizing similar
modeling concepts are presented in the following:
Derguech (2010) presents a framework for the
systematic reuse of process models. In contrast to this
work, it captures the variability of the process model
at the business goal level and describes how to inte-
grate new goals/sub-goals into the existing data struc-
ture. The variability of the process is not addressed in
his work.
Gimenes et al. (2008) presents a feature based
approach to support e-contract negotiation based on
web-services (WS). A meta-model for WS-contract
representation is given and a way is shown how to in-
tegrate the variability of these contracts into the busi-
ness processes to enable process automation. It does
not address the variability of the process itself but en-
ables the ability to reuse business processes for differ-
ent e-contract negotiations.
While our used framework to model process vari-
ability reduces the overall process complexity by
splitting up the process into layers with increas-
ing details, the PROVOP project (Hallerbach et al.
(2009a,b) and Reichert et al. (2014)) focuses on the
concept, that variants are derived from a basic pro-
cess definition through well-defined change opera-
tions (ranging from the deletion, addition, moving of
model elements or the adaptation of an element at-
tribute). In fact, the basic process expresses all pos-
sible variants at once, leading to a big process model.
Their approach could be beneficial considering that
cross functional requirements can be located in a sin-
gle process description, but having one huge process
is also contra productive (e.g. the exchange of parts
of the process is difficult).
The work of Gottschalk et al. (2007) presents an
approach for the automated configuration of work-
flow models within a workflow modelling language.
The term workflow model is used for the specifica-
tion of a business process which enables the execution
in an enterprise and workflow management system.
The approach focuses on the activation or deactiva-
tion of actions and thus is comparable to the PROVOP
project for the workflow model domain.
Rosa et al. (2008) extend the configurable process
modelling notation developed from Gottschalk et al.
(2007) with notions of roles and objects providing a
way to address not only the variability of the control-
flow of a workflow model but also of the related re-
sources and responsibilities.
The Common Variability Language (CVL Haugen
et al. (2013)) is a language for specifying and resolv-
ing variability independent from the domain of the ap-
plication. It facilitates the specification and resolution
of variability over any instance of any language de-
fined using a MOF-based meta-model. A CVL based
variability modelling and a BPM model with an ap-
propriate model transformation could lead to similar
results as presented in this paper.
The work of Zhao and Zou (2011) shows a frame-
work for the generation of software modules based on
business processes. They use clustering algorithms
to analyse dependencies among data and tasks, cap-
tured in business processes. Further, they group the
strongly dependent tasks and data into a software
component.
7 CONCLUSION
The reuse of business process models is an important
step for process driven organizations to survive in a
competitive market. Through an integrated view of
the according IT, it is possible to raise the efficiency
of the overall business. With this and our previous
works, we proposed a way to use software product
line engineering techniques for the modeling of busi-
ness process models. Further, we developed a frame-
work which enables to combine the variability models
of order processes with the variability models of soft-
ware customization product lines. This enables an au-
tomatic customization process which is triggered by
the according order processes. As a result, the devel-
opment costs and the required time to react to changes
of the market can be reduced significantly. Moreover,
using the proposed techniques supports Domain Ex-
perts to identify business drivers and thus, raise the
overall efficiency of the organization.
In the current state, the presented framework is fo-
cused on covering the variability of order processes
for similar type of products. Consequently, future
work will address the extension of the developed
framework to other processes. Further, we are cur-
rently investigating methods on how to bind non-
functional requirements like security requirements to
the variability models in order to enforce specific
properties throughout the whole process in an auto-
matic and systematic way.
Seventh International Symposium on Business Modeling and Software Design
44
ACKNOWLEDGEMENTS
The project is funded by the Austrian Research Pro-
motion Agency (FFG). We want to gratefully thank
Danilo Beuche from pure::systems for his support.
REFERENCES
Association of Business Process Management Profession-
als (2009). Guide to the Business Process Manage-
ment Common Body of Knowledge: ABPMP BPM
CBOK
R
. Association of Business Process Manage-
ment Professionals.
Derguech, W. (2010). Towards a Framework for Business
Process Models Reuse. In The CAiSE Doctoral Con-
sortium.
Gimenes, I., Fantinato, M., and Toledo, M. (2008). A Prod-
uct Line for Business Process Management. Software
Product Line Conference, International, pages 265–
274.
Gottschalk, F., van der Aalst, W. M. P., Jansen-Vullers,
M. H., and Rosa, M. L. (2007). Configurable Work-
flow Models. International Journal of Cooperative
Information Systems.
Hallerbach, A., Bauer, T., and Reichert, M. (2009a). Guar-
anteeing Soundness of Configurable Process Variants
in Provop. In Commerce and Enterprise Computing,
2009. CEC ’09. IEEE Conference on, pages 98–105.
IEEE.
Hallerbach, A., Bauer, T., and Reichert, M. (2009b). Issues
in modeling process variants with Provop. In Ardagna,
D., Mecella, M., and Yang, J., editors, Business Pro-
cess Management Workshops, volume 17 of Lecture
Notes in Business Information Processing, pages 56–
67. Springer Berlin Heidelberg.
Hammer, M. and Champy, J. (1993). Reengineering the
Corporation - A Manifesto For Business Revolution.
Harper Business.
Haugen, O., Wasowski, A., and Czarnecki, K. (2013). Cvl:
Common variability language. In Proceedings of the
17th International Software Product Line Conference,
SPLC ’13.
Kang, K. C., Cohen, S. G., Hess, J. A., Novak, W. E.,
and Peterson, A. S. (1990). Feature-oriented domain
analysis (foda) feasibility study. Technical report,
Carnegie-Mellon University Software Engineering In-
stitute.
McCormack, K. P. and Johnson, W. C. (2000). Business
Process Orientation: Gaining the E-Business Com-
petitive Advantage. Saint Lucie Press.
Object Management Group, O. (2011). Business process
model and notation (bpmn). version 2.0. pages 1–538.
available at http://www.omg.org/spec/BPMN/2.0/.
¨
Osterle, H. (1995). Business Engineering - Prozess- und
Systementwicklung. Springer-Verlag.
Pohl, K., B
¨
ockle, G., and Linden, F. J. v. d. (2005). Soft-
ware Product Line Engineering: Foundations, Princi-
ples and Techniques. Springer-Verlag New York, Inc.,
Secaucus, NJ, USA.
Reichert, M., Hallerbach, A., and Bauer, T. (2014). Lifecy-
cle Support for Business Process Variants. In Jan vom
Brocke and Michael Rosemann, editor, Handbook on
Business Process Management 1. Springer.
Rosa, M. L., Aalst, W. M. P. V. D., Dumas, M., and Milani,
F. P. (2017). Business process variability modeling: A
survey. ACM Comput. Surv., 50(1):2:1–2:45.
Rosa, M. L., Dumas, M., ter Hofstede, A. H. M., Mendling,
J., and Gottschalk, F. (2008). Beyond control-flow:
Extending business process configuration to roles and
objects. In Li, Q., Spaccapietra, S., and Yu, E., editors,
27th International Conference on Conceptual Mod-
eling (ER 2008), pages 199–215, Barcelona, Spain.
Springer.
Saidani, O. and Nurcan, S. (2007). Towards context aware
business process modelling. In 8th Workshop on Busi-
ness Process Modeling, Development, and Support
(BPMDS07), CAiSE, volume 7, page 1.
Sinnhofer, A. D., P
¨
uhringer, P., and Kreiner, C. (2015).
varbpm - a product line for creating business process
model variants. In Proceedings of the Fifth Interna-
tional Symposium on Business Modeling and Software
Design - Volume 1: BMSD,, pages 184–191.
Sinnhofer, A. D., P
¨
uhringer, P., Potzmader, K., Orthacker,
C., Steger, C., and Kreiner, C. (2016). A framework
for process driven software configuration. In Proceed-
ings of the Sixth International Symposium on Business
Modeling and Software Design - Volume 1: BMSD,,
pages 196–203.
Sinnhofer, A. D., P
¨
uhringer, P., Potzmader, K., Orthacker,
C., Steger, C., and Kreiner, C. (2017). Software Con-
figuration Based on Order Processes, pages 200–220.
Springer International Publishing, Cham.
Strnadl, C. F. (2006). Aligning business and it: The process-
driven architecture model. Information Systems Man-
agement, 23(4):67–77.
Valena, G., Alves, C., Alves, V., and Niu, N. (2013). A
Systematic Mapping Study on Business Process Vari-
ability. International Journal of Computer Science &
Information Technology (IJCSIT).
Weiss, D. M. and Lai, C. T. R. (1999). Software Product-
line Engineering: A Family-based Software Develop-
ment Process. Addison-Wesley Longman Publishing
Co., Inc., Boston, MA, USA.
Willaert, P., Van Den Bergh, J., Willems, J., and De-
schoolmeester, D. (2007). The Process-Oriented Or-
ganisation: A Holistic View - Developing a Frame-
work for Business Process Orientation Maturity.
Springer.
Zhao, X. and Zou, Y. (2011). A business process-driven
approach for generating software modules. Software:
Practice and Experience, 41(10):1049–1071.
Combined Variability Management of Business Processes and Software Architectures
45