Microflows: Enabling Agile Business Process Modeling to
Orchestrate Semantically-Annotated Microservices
Roy Oberhauser and Sebastian Stigler
Computer Science Department, Aalen University, Aalen, Germany
{roy.oberhauser, sebastian.stigler}@hs-aalen.de
Keywords: Business Process Modeling, Workflow Management Systems, Microservices, Service Orchestration, Agent
Systems, Semantic Technology, Declarative Programming.
Abstract: Businesses and software development processes alike are being challenged by the digital transformation
trend. Business processes are increasingly being automated yet are expected to be agile. Current business
process modeling is typically labor-intensive and results in rigid process models, with larger process models
unable to cope with all possible process variations and enactment circumstances. In software development,
microservices have become a popular software architectural style for partitioning business logic into fine-
grained services that can be rapidly and individually developed and (re)deployed while accessed via
lightweight protocols, resulting in many more services and a much more dynamic service landscape. Thus, a
more dynamic form of modeling, integration, and orchestration of microservices with business processes is
needed. This paper describes agile business process modeling with Microflows, an automatic lightweight
declarative approach for the workflow-centric orchestration of semantically-annotated microservices using
agent-based clients, graph-based methods, and the lightweight semantic vocabularies JSON-LD and Hydra.
A case study shows how Microflow constraints can be automatically extracted from existing Business
Process Modeling Notation (BPMN) files, how Microflow execution log file process mining can be used to
extract BPMN models, and demonstrates an automated error recovery capability during enactment.
1 INTRODUCTION
The digital transformation sweeping through society
affects businesses everywhere, resulting in an
increased emphasis on business agility and
automation. Business processes or workflows are
one primary automation area, evidenced by $2.7
billion in spending on Business Process
Management Systems (BPMS) (Gartner, 2015). The
automation of a business process according to a set
of procedural rules is known as a workflow (WfMC,
1999). A workflow management system (WfMS),
defines, creates, and manages the execution of
workflows (WfMC, 1999). BPMN (Business
Process Model and Notation) (OMG, 2011),
supports Business Process Modeling (BPM) with a
common notation standard. However, with regard to
agility, these workflows are often rigid, and while
adaptive WfMS can handle certain adaptations, they
usually involve manually intervention to determine
the appropriate adaptation.
In software development, one observable agility
trend is the widespread application of the
microservice architecture style (Fowler and Lewis,
2014) for an agile and loosely-coupled partitioning
of business capabilities into fine-grained services
individually evolvable, deployable, and accessible
with lightweight mechanisms. However, as the
dynamicity of the service world increases, the need
for more a automated and dynamic approach to
service orchestration becomes evident.
Approaches have included service orchestration,
where a single executable process uses a flow
description (such as WS-BPEL) to coordinate
service interaction orchestrated from a single
endpoint. In contrast, service choreography involves
a decentralized collaborative interaction of services
(Bouguettaya et al., 2014), while service
composition involves the static or dynamic
aggregation and binding of services into some
abstract composite process. While automated
dynamic workflow planning could potentially
remove the manual overhead involved in workflow
modeling, a fully automated semantic integration
process remains challenging, with one study
indicating that it is achieved by only 11% of
Semantic Web applications (Heitmann et al., 2012).
19
Thus, rather than pursue the heavyweight
Service-Oriented Architecture (SOA) and semantic
web, we chose a lightweight bottom-up approach.
Analogous to the microservices principles, we use
the term microflow to mean lightweight workflow
planning and enactment of microservices, i.e. a
lightweight service orchestration of microservices.
In our prior work, we described our declarative
approach called Microflows for automatically
planning and enacting lightweight dynamic
workflows of semantically annotated microservices
(Oberhauser, 2017) using cognitive agents and
investigated its resource usage and viability
(Oberhauser, 2016). This paper contributes enhanced
support for business modeling with Microflows and
microservices, providing bi-directional support for
graphical modeling with BPMN via automated
constraint extraction and BPMN generation from a
Microflow execution log. Furthermore, automated
error handing and replanning capabilities were
extended to address the dynamic microservice
landscape. Note that this approach is not intended to
address all facets of BPMS support, but focused on a
narrow area addressing the automatic orchestration
of dynamic workflows given a multitude of
microservices using a pragmatic lightweight
approach rather than a theoretical treatise.
This paper is organized as follows: the next
section discusses related work. Section 3 presents
the solution approach, while Section 4 describes its
realization. The solution is evaluated in Section 5,
which is followed by a conclusion.
2 RELATED WORK
Microflow is used in IBM business process manager
terminology to mean a transient non-interruptible
BPEL (Web Services Business Process Execution
Language) process (IBM, 2015), while in our
terminology a microflow is independent of any
BPMS, choreography, or orchestration language.
As to the combination of BPM with
microservices, while (Alpers et al., 2015) mention
business process modeling with microservices, their
focus is on collaborative BPM tool support services,
presenting an architecture that groups them
according to editor, management, analysis
functionality, and presentation. (Singer, 2016)
proposes a compiler-based actor-centric approach to
directly compile Subject-oriented Business Process
Management (S-BPM) models into a set of
executable processes called microservices that
coordinate work through the exchange of messages.
In contrast, we assume our microservices preexist.
With regard to orchestration of microservices,
related work includes (Rajasekar et al., 2012), who
describe the integrated Rule Oriented Data System
(iRODS) for large-scale data management, which
uses a distributed event-condition-action rule engine
to orchestrate micro-services into conditional chain-
oriented workflows, maintaining transactional
properties through recovery micro-services. (Alpers
et al., 2015) describe a microservice architecture for
BPM tools, highlighting a Petri Net editor to support
humans with BPM. (Sheng et al., 2014) surveys
research prototypes and standards in the area of web
service composition. Although the web service
composition using the workflow technique (Rao &
Su, 2004) can be viewed as similar, our approach
does not explicitly create an abstract composite
service; rather, it can be viewed as automated
dynamic web service orchestration using the
workflow technique. Declarative approaches for
process modeling include DECLARE (Pesic, 2007).
A DECLARE model is mapped onto a set of LTL
formulas that are used to automatically generate
automata that support enactment. Adaptations with
verification during enactment are supported,
typically via GUI interaction with a human, whereby
the changed model is reinitiated and its entire history
replayed. As to inputs, DECLARE facilitates the
definition of different constraint languages such as
ConDec and DecSerFlow.
For combining multi-agent systems (MAS) and
microservices, (Florio, 2015) proposes a MAS for
decentralized self-adaptation of autonomous
distributed components (Docker-based
microservices) to address scalability, fault tolerance,
and resource consumption. These agents known as
selfLets mediate service decisions using partial
knowledge and exchanging messages. (Toffetti et
al., 2015) provide a position paper focusing on
microservice monitoring and proposing an
architecture for scalable and resilient self-
management of microservices by integrating
management functions into the microservices,
wherein service orchestration is cited to be an
abstraction of deployment automation (Karagiannis
et al., 2014), microservice composition or
orchestration are not addressed.
Related standards include OWL-S (Semantic
Markup for Web Services), an ontology of services
for automatic web service discovery, invocation, and
composition (Martin et al., 2004). Combining
semantic technology with microservices, (Anderson
et al., 2015) present an OWL-centric framework to
create context-aware applications, integrating
Seventh International Symposium on Business Modeling and Software Design
20
microservices to aggregate and process context
information. For a more lightweight semantic
description of microservices, JSON-LD (Lanthaler
and Gütl, 2012) and Hydra (Lanthaler, 2013)
(Lanthaler and Gütl, 2013) provide a lightweight
vocabulary for hypermedia-driven Web APIs and
enable the creation of generic API clients.
In contrast to the above work, our contribution
specifically focuses on microservices with an
automatic lightweight declarative approach for the
workflow-centric orchestration of microservices
using agent-based clients, graph-based methods, and
lightweight semantic vocabularies like JSON-LD
and Hydra. The extraction of goals and constraints
from existing BPM is supported and error handling
permits dynamic recovery and replanning.
3 SOLUTION APPROACH
The principles and process constituting the solution
approach, based on (Oberhauser, 2016) and
(Oberhauser, 2017), are elucidated below and
reference the solution architecture of Figure 1. One
primary difference of our solution approach
compared to typical BPM is the reliance on goal-
and constraint-based agents using automated
planners to navigate semantically-described
microservices, thus the workflow is dynamically
constructed, reducing the overall labor involved in
manual modeling of rigid workflows that cannot
automatically adapt to changes in the microservice
landscape, analogous to the benefits of declarative
over imperative programming.
Figure 1: Solution concept.
3.1 Microflow Principles
The solution approach consists of the following
principles:
Microservice semantic self-description principle:
microservices provide sufficient semantic metadata
to support autonomous client invocation, such that
the client state at the point of invocation contains the
semantic inputs required for the microservice
invocation. Our realization uses JSON-LD/Hydra.
Client agent principle: for the client agent of
Figure 1, intelligent agents exhibit reactivity,
proactiveness, and social ability, managing a model
of their environment and can plan their actions and
undertake goal-oriented behavior (Wooldridge,
2009). Nominal WfMS are typically passive,
executing a workflow according to a manually
determined plan (workflow schema). Because of the
expected scale in the number of possible
microservices, the required goal-oriented choices in
workflow modeling and planning, and the
autonomous goal-directed action required during
enactment, agent technology seems appropriate.
Specifically, we chose Belief-Desire-Intention (BDI)
agents (Bratman et al., 1988) for the client
realization, providing belief (knowledge), desire via
goals, and intention utilizing generated plans that are
the workflow.
Graph of microservices principle: microservices
are mapped to nodes in a graph and can be stored in
a graph database (see Figure 1). Nodes in the graph
are used to represent any workflow activity, such as
a microservice. Nodes are annotated with properties.
Directed edges depict the directed connections
(flows) between activities annotated via properties.
To reduce redundant resource usage via multiple
database instances, the graph database could be
shared by the clients as an additional microservice.
Microflow as graph path principle: a directed
graph of nodes corresponds to a workflow, a
sequence of operations on those microservices, and
is determined by an algorithm applied to the graph,
such as shortest path. The enactment of the
workflow involves the invocation of microservices,
with inputs and outputs retained in the client and
corresponding to the client state.
Declarative principle: any workflow
requirement specifications take the form of
declarative goal and constraint modelling
statements, such as the starting microservice type,
end microservice type, and constraints such as
sequencing or branch logic constraints. As shown
under Models in Figure 1, these specifications may
be (automatically) extracted from an existing BPM
should one exist, or (partially) discovered via
process execution log mining.
Microservice discovery service principle
(optional): we assume a microservice landscape to
be much more dynamic with microservices coming
and going in contrast to more heavyweight services.
Abstract
Semantic
Microservices
Discovery
Meta
Services
Graph DB
Agent
Client
BPMN
Goal +
Constraints
Microflows: Enabling Agile Business Process Modeling to Orchestrate Semantically-Annotated Microservices
21
A microservice registry and discovery service (a
type of Meta Service in Figure 1) can be utilized to
manage this and could be deployed in various ways,
including centralized, distributed, client-embedded,
with voluntary microservice-triggered registration or
multicast-triggered mechanisms. For security
purposes, there may be a desire to avoid discovery
(of undocumented microservices) and thus maintain
a whitelist. Clients thus may or may not have a priori
knowledge of a particular microservice.
Abstract microservices principle (optional):
microservices with similar functionality (search,
hotel booking, flight booking, etc.) can be grouped
behind an abstract microservice (a type of Meta
Service in Figure 1). This simplifies constraints,
allowing them to be based on a group rather than
having to be individually based. It also provides an
optional level of hierarchy to allow concrete
microservices to only provide a client with a link to
the logical next abstract microservice(s) without
having to know the actual concrete ones, since the
actual concrete microservice followers can be
numerous and rapidly change, while determining
exactly which ones are appropriate can perhaps best
be decided by the client in conjunction with the
abstract microservice.
Path weighting principle (optional): any follower
of a service, be it abstract or concrete, can be
weighted with a potentially dynamic cost that helps
in quantifying and comparing one path with another
in the form of relative cost. This also permits the
navigation from one to another to be dynamically
adjusted should that path incur issues such as
frequent errors or slow responses. The planning
agent can determine a minimal cost path.
Logic principle (optional): if the path weighting
is insufficient and more complex logic is desired for
assessing branching or error conditions, these can be
provided in the form of constraints referencing
scripts that contain the logic needed to determine the
branch choice.
Note that the Data Repository and Graph
Database could readily be shared as a common
service, and need not be confined to the Client.
3.2 Microflow Lifecycle
The Microflow lifecycle involves five stages as
shown in Figure 2.
Figure 2: Microflow lifecycle.
For the Microflow Modeling stage, goal and
constraint specifications are modeled (currently in
JSON) or extracted via tools from existing business
process models such as BPMN or process mining of
process (or Microflow) execution logs.
The Microservice Discovery stage involves
utilizing a microservice discovery service to build a
graph of nodes containing the properties of the
microservices and links (followers) to other
microservices, analogous to mapping the landscape.
In the Microflow Planning stage, an agent takes
the goal and other constraints and creates a plan
known as a Microflow, finding an appropriate start
and end node and using an algorithm such as
shortest path to determine a directed path.
In our opinion, a completely dynamic enactment
without any planning (no schema) could readily lead
to dead-end or circular paths causing a waste of
unnecessary invocations that do not lead to the
desired goal and can potentially not be undone. This
is analogous to following hyperlinks without a plan,
which do not lead to the goal and require
backtracking. Alternatively, replanning after each
microservice invocation involves planning resource
overhead (CPU, memory, network), and since this is
unlikely to dynamically change between the start
and end timepoints of this enactment lifecycle, we
chose the pragmatic and hopefully more lightweight
approach from the resource utilization perspective:
plan once and then enact until an exception occurs,
at which point a necessary replanning is triggered.
Further advantages of our approach in contrast to a
thoroughly adhoc approach is that the client is
assured that there is at least one path to the goal
before starting, and validation of various structural,
semantic, and syntactic aspects can be readily
performed.
In the Microflow Enactment stage, the Microflow
is executed by invoking each microservice in the
order of the plan, typically sequentially but it could
involve parallel invocations. A replanning of the
remaining Microflow can be performed if an
exception occurs or if notified by the discovery
service of changes to the set of microservices. A
client should retain the Microflow model (plan) and
be able to utilize the service interfaces and thus have
sufficient semantic knowledge for enactment.
The Microflow Analysis stage involves the
monitoring, analysis, and mining of execution logs
in order to improve future planning. This could be
local, in a trusted environment, or this could be
distributed. Thus, if invocation of a microservice has
often resulted in exceptions, future planning for this
client or other clients could avoid this troublesome
Seventh International Symposium on Business Modeling and Software Design
22
microservice. Furthermore, the actual latency
incurred for usage of a microservice could be
tracked and shared between agents and taken into
account as a type of cost in the graph algorithm.
4 REALIZATION
Figure 3 shows our realization of the Microflow
solution concept with a mapping of primary
technology choices in our prototype. As various
details of our Microflow realization and lifecycle
were previously detailed in (Oberhauser, 2016) and
(Oberhauser, 2017), a short summary is provided
and the rest of this section details the new
extensions.
Figure 3: Microflow prototype realization.
Implementations of microservices are assumed to
be REST compliant using JSON-LD and Hydra
descriptions. For our prototype testing, REST
(REpresentational State Transfer) and HATEOAS
support (Fielding, 2000) was integrated with Spring-
boot-starter-web v. 1.2.4, which includes Spring
boot 1.2.4, Spring-core and Spring-web v. 4.1.6,
Embedded Tomcat v. 8.0.23; Hydra-spring v. 0.2.0-
beta3; and Spring-hateoas v. 0.16 are integrated. For
JSON (de)serialization Gson v. 2.6.1 is used. Unirest
v. 1.3.0 is used to send HTTP requests. As a REST-
based discovery service, Netflix’s open source
Eureka (Eureka, 2016) v. 1.1.147 is used.
The microservice clients uses the BDI agent
framework Jadex v. 3.0-SNAPSHOT (Pokahr et al.,
2005). Jadex's BDI nomenclature consists of Goals
(Desires), Plans (Intentions), and Beliefs. Beliefs can
be represented by attributes like lists and maps.
Three agents were created: the DataAgent is
responsible for providing for and maintaining data
repository, the PlanningAgent generates a path
through the graph as a Microflow, while the
ExecutionAgent communicates directly with
microservices to invoke them according to the
Microflow. Neo4j and Neo4j-Server v. 2.3.2 is used
as a client Data Repository.
Microflow goals and constraints are referred to
as PathParameters and consist of the
startServiceType, endServiceType, and constraint
tuples. Each constraint tuple consists of the target of
the constraint (the service type affected), the
constraint, and a constraint type (required,
beforeNode, afterNode). For instance, target =
"Book Hotel", constraint = "Search Hotel", and
constraint type = "afterNode" would be read as:
"BookHotel" is after node "Search Hotel", implying
the microflow sequencing must ensure that "Search
Hotel" precedes "Book Hotel" (but does not require
that it must be directly before it).
During Microflow Planning, constraint tuples are
analyzed, whereby any AfterNode is converted to a
BeforeNode by swapping target and constraint,
RequiredNode constraints are also converted to
BeforeNode constraints, and redundant constraints
are removed and the constraints are then ordered.
4.1 BPMN Transformation
A BPMN-Microflow transformation tool (B2J in
Figure 3) was implemented in Java that parses
BPMN 2.0 files, automatically extracting the start
and end node (goal) and any constraints, generating
a Microflow JSON file. The java libraries camunda-
bpmn-model and camunda-xml-model version 7.6.0
were utilized for parsing.
It includes support for the following BPMN
elements: activities, events, gateways, and
connections. Currently unsupported in the
implementation for automated extraction are
swimlanes, artifacts, and event subprocesses
(throwing, catching, and interrupting events).
4.2 Microflow Constraint Mining
A MicroflowLog-BPMN mining tool (represented
by Mining in Figure 3) was implemented in Java that
automatically parses our Microflow execution log
file and generates a BPMN 2.0 file. Since it
generates a direct sequence of the actual path taken,
it results in a simple sequence of tasks. However,
this can be helpful in providing a graphical depiction
for human analysis and comparison, determining
issues, debugging constraints, and as a reference or
starting point for models having greater complexity.
4.3 Microflow Error Recovery
To support enactment error recovery, the Microflow
client now supports data versioning of its state,
Spring
Abstract
Semanti c
Microservices
Eureka
Meta
Services
Neo4J
Jadex Agents
Data
Repository
Data
Execution
Planning
Client
BP MN
JSON
Goal +
Constraints
B2J
Models
Mining
Microflows: Enabling Agile Business Process Modeling to Orchestrate Semantically-Annotated Microservices
23
integrating the javersion data versioning toolkit v.
0.14. The algorithm is shown in Figure 4 and
referred to by line. At each abstract node, the current
client state (JSON data outputs from microservices)
is committed (Line 11). If the execution of a
microservice is not successful, the transition is
penalized by adding to its cost so that any replanning
does not necessarily continue to include a
microservice with constant issues (Line 22); the
node index is set to the last node where a commit
was performed (Line 24) (ultimately the start node if
none) and its state at that node restored (analogous
to a rollback); and a replanning is initiated (Line 25)
from that node.
Figure 4: Microflow execution algorithm.
Thus, Microflow clients support an automated
recovery and replanning mechanism. This is in
contrast to standard BPMS whereby an unhandled
exception typically results in the process
terminating. In contrast to basic HATEOAS client
implementations, the client state can be rolled back
to the last known good service and a replanning
enables the client to seek an alternative to reach its
goal. This error recovery technique can be used to
support the Microflow equivalent of BPMN
subprocess transactions.
5 EVALUATION
A case study is used to evaluate the solution, first
considering the extraction of constraints from
BPMN models, the mining of BPMN models from a
Microflow execution log, and then error recovery.
5.1 BPMN Transformation
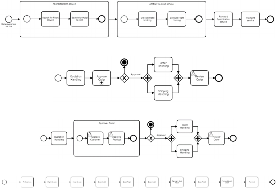
As an illustrative example, we created our own
travel booking process shown in Figure 5, whereby
both a hotel and flight should be found, whereafter a
booking (reservation) of each is performed, and then
payment is collected. Virtual microservices are used
during enactment that differentiate themselves
semantically but provide no real invocation
functionality. The equivalent BPMN model (Figure
7) generated an XML file using Camunda Modeler
consisting of 209 lines and 11372 characters. In
contrast, the Microflow constraint JSON file
generated from this model by our BPMN-Microflow
transformation tool contains 14 lines and 460
characters (Figure 5).
Figure 5: Travel booking example Microflow constraints.
Figure 6: SubProcess BPMN extracted constraints.
Seventh International Symposium on Business Modeling and Software Design
24
Figure 7: Travel booking example as BPMN.
Figure 8: Collapsed SubProcess BPMN model.
Figure 9: Expanded SubProcess BPMN model.
Figure 10: BPMN process mined from Microflow execution log containing a recovery case.
To determine to what extent the spectrum of
BPMN 2.0 is supported and if any issues are a result
of the approach or limitations of the implementation,
the BPMN files from OMG BPMN Examples
(OMG, 2010) were tested. Both the collapsed
SubProcess as well as the Expanded SubProcess
BPMN models shown in Figure 8 and 9 respectively
consist of 222 lines and 13996 characters of BPMN
XML and were automatically transformed to
constraint files of 19 lines and 622 characters in
Microflow JSON as shown in Figure 6. Both BPMN
files contain the subprocess information which is
hidden in the graphical representation in Figure 8.
Assessing the subset of BPMN transformations
of the OMG BPMN examples that were
unsuccessful, which included portions of Incident
Management, Nobel Prize Process, Procurement
Process With Error Handling, Travel Booking, Pizza
Order Process, Hardware Retailer, Email Voting, we
identified the following issues:
Multiple start events: this implies multiple
processes are enacted concurrently, resulting in
issues with planning and merging state and
potential race conditions. These issues, however,
are due to limitations with our prototype
implementation, not of the approach. Future
work will consider concurrent enactment and
synchronization.
Multiple end or terminate events: in this case, the
planner cannot identify the goal node for the
Microflow. One current implementation
workaround is to create an abstract final node or
a final common end node, which can be inserted
into our internal graph with the appropriate
additional relations.
Missing start and end events: these are optional
in BPMN and result in no clear start and end goal
for the planner. One workaround for our
implementation is to assume these are implied
based on activities having no predecessor or no
successor.
Event subprocess: the prototype does not
automatically map exception areas, yet it would
be feasible by adding a constraint to each
contained node with a conditional before
whereby a new path is then dynamically
replanned from this relation on error.
Swim lanes: currently only isolated swim lanes
are supported, but future work will consider a
mapping to abstract nodes and possible
Microflows: Enabling Agile Business Process Modeling to Orchestrate Semantically-Annotated Microservices
25
communication and synchronization support.
Artifacts: our implementation cannot map
BPMN inputs since in these models they lack
sufficient semantic detail. One workaround
would be to provide a manually created map of
BPMN types to JSON-LD types.
5.2 Microflow Constraint Mining
Our MicroflowLog-BPMN mining tool was used to
extract a BPMN file from our execution log (Figure
11) based on the Figure 5 and Figure 7 example that
included an automated error recovery condition.
Figure 10 shows the graphical BPMN representation
and Figure 13 an extract from its BPMN file. As
explained in Section 4.2, this can assist human
analysis or serve as a starting point for a model.
Figure 11: Log file output (highlighting recovery in bold).
Figure 12: Constraints from Travel Booking BPMN.
Figure 13: BPMN from Travel Booking log file with error.
Though not necessarily useful, this extracted
BPMN was then converted to Microflow constraints
as shown in Figure 12 to demonstrate that a full
cycle back to a Microflow specification from an
execution log is feasible. These constraints could,
for example, then be reduced by a human to only
those required and adjusted for requisite sequencing
in order to utilize the dynamic planning capability.
5.3 Microflow Error Recovery
To demonstrate the automated error recovery
capability, the Flight Booking service was modified
to return an HTTP 500 status code and a Recovery
for Flight Booking microservice (which could for
example attempt to restart the failing service) was
added as a microservice with a path cost higher than
that of the normal Flight Booking just to
Seventh International Symposium on Business Modeling and Software Design
26
demonstrate the ability for replanning to adjust and
take a different path after receiving an error. It does
not imply that recovery microservices are needed.
Figure 14: Travel Booking example as Neo4J graph (error
recovery shown in green).
Figure 15: Output of client state in JSON.
Figure 14 includes a recovery microservice
(green). In the execution log file of Figure 11, after
receiving an error the execution returns to Abstract
Booking Service. The client state (shown in Figure
15) is restored to that which it was at the last
commit, leaving ItemList, Hotel, and Flight (Lines
5-10) and discarding LodgingReservation and
FlightReservation (Lines 1-4). The relation between
Abstract Booking and Flight Booking is penalized,
resulting in a replanning from Abstract Booking that
now includes Recovery for Flight Booking since it is
the path with the least cost. This is seen in Figure 11
with the difference in the planning sequence from
[CAN_CALL,9] to
[CAN_CALL,12]-->(10)-->[CAN_CALL,13].
6 CONCLUSIONS
In this paper, we described business process
modeling integration with Microflows, an automatic
lightweight declarative approach for the workflow-
centric orchestration of semantically-annotated
microservices using agent-based clients, graph-based
methods, and lightweight semantic vocabularies.
The solution principles of the Microflow approach
and its lifecycle were elucidated. The evaluation
showed that Microflow constraints can be
automatically extracted from existing BPMN files,
that Microflow execution log file process mining can
be used to extract BPMN models, and that certain
types of client error recovery can be automated with
client state rollback, path cost penalization, and
dynamic replanning during enactment. The
Microflow constraint specification files were found
to be quite smaller than the equivalent BPMN files.
With the Microflow approach, only the essential
rigidity is specified via constraints, permitting a
greater degree of agility in the business process
models since the remaining unspecified areas of the
workflow are automatically determined and planned
(and thus remain dynamically adaptable). This
significantly reduces business process modeling
labor and permits a higher degree of reuse in a
dynamic microservice world, reducing the total cost
of ownership. Since the workflow (or plan) is not
completely adhoc and dynamic, validation and
verification checks can be performed before
execution begins, and one is assured that the
workflow is executable as planned. However,
enhanced support for verification and validation of
the correctness of the microflow is still required for
users to entrust the automatic planning.
Future work includes expanded support for
BPMN 2.0 elements in our implementation,
integrating advanced verification and validation
techniques, integrating semantic support in the
discovery service, supporting compensation and
long-running processes, enhancing the declarative
and semantic support and capabilities, and an
empirical and industrial usage.
ACKNOWLEDGEMENTS
The authors thank Florian Sorg and Tobias Maas for
their assistance with the design, implementation, and
evaluation.
Microflows: Enabling Agile Business Process Modeling to Orchestrate Semantically-Annotated Microservices
27
REFERENCES
Alpers, S., Becker, C., Oberweis, A. and Schuster, T.
(2015). Microservice based tool support for business
process modelling. In Enterprise Distributed Object
Computing Workshop (EDOCW), 2015 IEEE 19th
International (pp. 71-78). IEEE.
Anderson, C., Suarez, I., Xu, Y., & David, K. (2015). An
Ontology-Based Reasoning Framework for Context-
Aware Applications. In Modeling and Using Context
(pp. 471-476). Springer International Publishing.
Bouguettaya, A., Sheng, Q.Z. and Daniel, F. (2014). Web
services foundations. Springer.
Bratman, M.E., Israel, D.J. and Pollack, M.E. (1988).
Plans and resourcebounded practical reasoning.
Computational intelligence, 4(3), pp.349-355.
Eureka (2016). Retrieved May 7, 2017 from:
https://github.com/Netflix/eureka/wiki
Fielding, R. T. (2000). Architectural Styles and the Design
of Network-based Software Architectures. Doctoral
dissertation, University of California, Irvine.
Florio, L. (2015). Decentralized self-adaptation in large-
scale distributed systems. In Proceedings of the 2015
10th Joint Meeting on Foundations of Software
Engineering (pp. 1022-1025). ACM.
Fowler, M. & Lewis, J. (2014). Microservices a
definition of this new architectural term.
Retrieved May 7, 2017 from:
http://martinfowler.com/articles/microservices.htm
Gartner (2015). Gartner Says Spending on Business
Process Management Suites to Reach $2.7 Billion in
2015 as Organizations Digitalize Processes. Press
release. Retrieved May 7, 2017 from:
https://www.gartner.com/newsroom/id/3064717
Heitmann, B., Cyganiak, R., Hayes, C. & Decker, S.
(2012). An empirically grounded conceptual
architecture for applications on the web of data.
Systems, Man, and Cybernetics, Part C: Applications
and Reviews, IEEE Transactions on, 42(1), 51-60.
IBM (2015). IBM Business Process Manager V8.5.6
documentation. Retrieved May 7, 2017 from:
http://www.ibm.com/support/knowledgecenter/SSFPJ
S_8.5.6/com.ibm.wbpm.wid.bpel.doc/topics/cprocess_
transaction_micro.html
Karagiannis, G. et al. (2014). Mobile cloud networking:
Virtualisation of cellular networks. In 21st
International Conference on Telecommunications
(ICT) (pp. 410-415). IEEE.
Lanthaler, M. (2013). Creating 3rd generation web APIs
with hydra. In Proceedings of the 22nd international
conference on World Wide Web companion.
International World Wide Web Conferences Steering
Committee, pp. 35-38.
Lanthaler, M., & Gütl, C. (2012). On using JSON-LD to
create evolvable RESTful services. In Proceedings of
the Third International Workshop on RESTful Design
(pp. 25-32). ACM.
Lanthaler, M. and Gütl, C. (2013). Hydra: A Vocabulary
for Hypermedia-Driven Web APIs. In Proceedings of
the 6th Workshop on Linked Data on the Web
(LDOW2013) at the 22nd International World Wide
Web Conference (WWW2013), vol. 996.
Martin, D. et al. (2004). OWL-S: Semantic markup for web
services. W3C member submission, 22, pp.2007-04.
OMG (2010). BPMN 2.0 by Example Version 1.0. OMG.
OMG (2011). Business Process Model and Notation
(BPMN) Version 2.0. OMG.
Oberhauser, R. (2016). Microflows: Lightweight
Automated Planning and Enactment of Workflows
Comprising Semantically-Annotated Microservices. In
Proceedings of the Sixth International Symposium on
Business Modeling and Software Design (BMSD
2016) (pp. 134-143). SCITEPRESS.
Oberhauser, R. (2017). Microflows: Automated Planning
and Enactment of Dynamic Workflows Comprising
Semantically-Annotated Microservices. In 6th
International Symposium on Business Modeling and
Software Design (BMSD 2016), Revised Selected
Papers, B. Shishkov (Ed.). LNBIP, Vol. 275 (pp. 183-
199). Springer International Publishing.
Pesic, M., Schonenberg, H., & van der Aalst, W. M.
(2007). Declare: Full support for loosely-structured
processes. In 11th IEEE International Enterprise
Distributed Object Computing Conference (EDOC
2007) (pp. 287-287). IEEE.
Pokahr, A., Braubach, L., & Lamersdorf, W. (2005).
Jadex: A BDI reasoning engine. In Multi-agent
programming (pp. 149-174). Springer US.
Rajasekar, A., Wan, M., Moore, R., & Schroeder, W.
(2012). Micro-Services: A Service-Oriented Paradigm
for. Data Intensive Distributed Computing. In
Challenges and Solutions for Large-scale Information
Management (pp. 74-93). IGI Global.
Rao, J. and Su, X. (2004). A survey of automated web
service composition methods. In Semantic Web
Services and Web Process Composition (pp. 43-54).
Springer Berlin Heidelberg.
Sheng, Q. Z. et al. (2014). Web services composition: A
decade’s overview. Information Sciences, 280, 218-
238.
Singer, R. (2016). Agent-Based Business Process
Modeling and Execution: Steps Towards a Compiler-
Virtual Machine Architecture. In Proceedings of the
8th International Conference on Subject-oriented
Business Process Management (p. 8). ACM.
Toffetti, G., Brunner, S., Blöchlinger, M., Dudouet, F., &
Edmonds, A. (2015). An architecture for self-
managing microservices. In Proceedings of the 1st
International Workshop on Automated Incident
Management in Cloud (pp. 19-24). ACM.
WfMC (1999). Workflow Management Coalition:
Terminology & Glossary. WFMC-TC-1011, Issue 3.0.
Wooldridge, M. (2009). An introduction to multiagent
systems. John Wiley & Sons.
Seventh International Symposium on Business Modeling and Software Design
28