Case based Reasoning as a Tool to Improve Microcredit
Mohammed Jamal Uddin, Giuseppe Vizzari and Stefania Bandini
Complex Systems and Artificial Intelligence Research Center, University of Milano-Bicocca,
Viale Sarca 336/14, 20126, Milan, Italy
Keywords: Microcredit, Case-based Reasoning, Knowledge Artifacts.
Abstract: This paper will discuss the possibility to adopt the Case-Based Reasoning approach to improve microcredit
initiatives. In particular, we will consider the Kiva microcredit system, which provides a characterisation
(rating) of the risk associated to the field partner supporting the loan, but not of the specific borrower which
would benefit from it. We will discuss how the combination of available historical data on loans and their
outcomes (structured as a case base) and available knowledge on how to evaluate the risk associated to a
loan request (exploited to actually rate past cases and therefore bootstrap the CBR system), can be used to
provide the end-users with an indication of the risk rating associated to a loan request based on similar past
situations. From this perspective, the case-base and the codified knowledge about how to evaluate risks
associated to a loan represent two examples of knowledge IT artifacts.
1 INTRODUCTION
Microfinance and microcredit represent innovative
and effective poverty alleviation instruments,
recently conceived and implemented to support the
creation of income-generating and sustainable
activities in developing countries. Although these
initiatives often require basic and relatively trivial
interventions of digitization and automation of
activities, the new scenario represents an interesting
area of research for disciplines like economics but
also for computer science. In particular, this paper
discusses the possibility to adopt the Case-Based
Reasoning approach (Aamodt and Plaza, 1994) to
improve microcredit initiatives. More precisely, we
will consider the Kiva microcredit system, which
provides a characterisation (rating) of the risk
associated to the field partner supporting the loan,
but not of the specific borrower which would benefit
from it. We will discuss how the combination of
available historical data on loans and their outcomes
(structured as a case base) and available knowledge
on how to evaluate the risk associated to a loan
request (exploited to actually rate past cases and
therefore bootstrap the CBR system), can be used to
provide the end-users with an indication of the risk
rating associated to a loan request based on similar
past situations. From this perspective, the case-base
and the codified knowledge about how to evaluate
risks associated to a loan represent two examples of
knowledge IT artifacts (Cabitza and Locoro, 2015);
(Salazar et al., 2008). The paper breaks down as
follows: the following sections will present a state of
the art in microfinance and microcredit sectors, then
Section 3 will introduce Kiva and its workflow,
highlighting where and how the proposed system
can be set. Section 4, finally, will describe the
overall approach and the current state of
development of the proposed system. Conclusions
and future developments will end the paper.
2 MICROFINANCE
Microfinance is regarded as an innovative and
effective poverty-alleviation tool to help the
unbanked poor people, especially in developing
countries, aiming to create income-generating
activities (Milana and Ashta, 2012); (Hamada,
2010); (Amin, 2008). In developing countries,
economic managers have been challenged by and
continue to challenge issues like employment
generation, poverty reduction and sustainable
development that microfinance is dedicated to
deliver. It still works as a critical approach against
poverty and financial exclusion even facing some of
its recent crises and the resulting criticism (Isa et al.,
2011). Microfinance provides the underserved poor
466
Uddin, M., Vizzari, G. and Bandini, S..
Case based Reasoning as a Tool to Improve Microcredit.
In Proceedings of the 7th International Joint Conference on Knowledge Discovery, Knowledge Engineering and Knowledge Management (IC3K 2015) - Volume 3: KMIS, pages 466-473
ISBN: 978-989-758-158-8
Copyright
c
2015 by SCITEPRESS Science and Technology Publications, Lda. All rights reserved
access to financial services that help alleviate
poverty through encouraging income-generating
activities, empowering, and enhancing security
which are the priority programs of World Bank
proposed in a set of strategies for fighting against
poverty in 2000 (World Attacking Development,
2000).
Since its beginning in the early 1970s,
microfinance has remarkable performance with
strong growth for which it has been positively
acknowledged by the stakeholders from all corners
of the world, and especially by the award in 2006 of
the Nobel Peace Prize to Muhammad Yunus, the
founder of microcredit modeled as Grameen Bank
(Pompa et al., 2012). Traditionally, the need, small
amount of loan without collateral, of the poor people
is not served by the formal financial institutions.
Also, such services are out of their reach due to the
complicated application procedure, high interest
rates, and long admission processing. Making the
poor people access to financial services, especially
microcredit, and sustaining the good repayment rate
without collateral by designing an appropriate
institutions are the significant contributions of
microfinance. Some of the successful models of
microcredit are Grameen Bank, BRAC, ASA in
Bangladesh, SKS Microfinance Ltd. in India, Bank
Rakyat Indonesia (BRI) in Indonesia. Current
statistics of Grameen Bank (October 2014) show
that it has 8.6 million borrowers, of which 97% are
women for cumulative loan portfolio of $16.1 billion
with outstanding balance for $1.1 billion and total
deposit of $2.0 billion, of which 62% is borrower's
deposit through 2,568 branches in 81,379 villages
(2011), covering more than 97% of the total villages
in Bangladesh employing 21,851 (2013) existing
employees. Its repayment rate is 97.83%. Among
over 3,500 Microfinance Institutions (MFIs) across
the world, the latest data from the 1,252 financial
services providers listed on MIX Market shows that,
as of December 2012, they reached 91.4 million low
income clients for an $81.5 billion portfolio.
However, with 2.5 billion ‘unbanked’ people
through greater financial inclusion -a new direction,
the challenge of financial access remains.
Microfinance, in broader sense, is a provision of
basic financial services accessible to poor people
who are usually denied by traditional banking
system. Such services are small loans, savings,
insurance, and money transfer facilities (Wrenn,
2007); (Elahi and Rahman 2006). Self-help Group
(SHG) and Joint Liability Group (Grameen model
and its variants) are two common credit delivery
models in microfinance (Nayak, 2010). Recently,
MFIs have been providing loans to individuals who
need a larger size loan and who does not match with
the other members in a group (Milana and Ashta,
2012); (Hamada, 2010). Such loans are provided
especially for business and /or development
purposes based on the personal creditworthiness and
the capacity to produce any guarantee (like personal
guarantor from friends/relatives, post-dated cheques,
collateral security) of the microcredit borrower. In
addition, MFIs also consider the borrower's technical
skills in business and his/her reputation in peers and
society. It is like conventional (quasi) lending but
with flexible terms (Islam et al., 2012); (Nayak,
2010).
Microcredit in the early 1970s was the first
revolution of microfinance targeted the unbanked
rural people accessible to small loans without
collateral. Such tiny amount of $100 loans was
provided to the poor, especially women in the
village who were denied by the traditional banking
system. In this microcredit, the borrower's capacity
and will to make regular savings and repay the loan
with interest in a short time were the core issues to
be successful. Non-profit based NGOs were the
microcredit providers who argued that poverty is not
a creation of any individual or social choices, but is
the unwanted result of government or market
failures depriving the poor of their rights to access
financial services. The initial development was from
the viewpoint of microcredit bank (supplier/lender's
perspective) targeting reach out and searching for
operational cases. Satisfactory repayment rate of
microcredit program was very crucial to make it
successful and sustainable. The important
requirement of collateral was replaced by ‘group
formation’ and ‘mandatory savings’ that worked as
guarantee against default (Milana and Ashta, 2012).
Eventually, such innovation became 'product-
centered' services, rather than the required services
centered on the real needs of the microcredit
borrowers. Group lending with joint liability
positively impacts on screening, monitoring, and
state verification (Hermes and Lensink, 2007). It
also helps reduce the problem of asymmetric
information in borrower selection, loan monitoring,
auditing, and enforcement (Ghatak and Guinnane,
1999); (Paal and Wiseman, 2011). Repayment in
group lending is influenced by religious intensity (Al
Azzam et al., 2012) as well as trust coming from
social conformity and reciprocity (Attanasio et al.,
2012). In addition to joint liability of the group
lending model, there are some other good aspects
like peer monitoring, auditing, and sequential
lending which make this model elegant (Chowdhury,
Case based Reasoning as a Tool to Improve Microcredit
467
2005). However, group lending works better than
individual lending only if peer monitoring costs are
lower than those of lender monitoring (Cason et al.,
2012). Moreover, as individual members within the
group grow at different rates and is penalized for
default members, the one-size-fits-all standard loan
will not work any longer, and individual lending will
need to replace group lending (Besley and Coate,
1995). Such quasi conventional lending- individual
lending with flexible terms are emerging in the
direction of peer-to-peer online lending platform. In
customer-centered finance, it has to start from
financial services that customers really need. Such
services like the provision of capital, credit, and
insurance making a series of social intermediations
create an organized social voice rendering demands
to public institutions and policy makers, building
self-confidence (Elahi and Rahman, 2006).
Capturing the whole movement of recent
developments in microfinance is beyond the scope
of this study, but our study tries to focus on the new
direction of microfinance, web-based peer-to-peer
microcredit (P2P microcredit model).
3 MICROCREDIT
One of the trends of today's microfinance operations
is the adaptation and transformation of their business
models from paper-based to digital or automation
due to the continuous competitive pressure to
balance between outreach and operational
sustainability. Such trend is connecting the
developed world to the developing countries in
different dimensions making some parts of
microfinance business easy and globally accessible
in one hand, but throwing some challenges to the
same market on the other hand. Peer-to-Peer (P2P)
platforms are emerging with such challenges to them
who are still employing paper-based workflows, but
with the opportunities through web-based or the
Internet models making this line of business more
accessible and comfortable to all including
individual lenders. Many P2P platforms have
developed to spread the microcredit to individual
lenders in the developed world aiming to link
Western investors to the sector. Among the leading
P2P platforms some of the most relevant are Kiva,
MYC4, Zidisha, myELEN, Opportunity
International, and the Microloan Foundation.
Another web-based microlending model with unique
features is United Prosperity that is non-profit
platform uses its lending money to provide
guarantee to local banks that provide microloans to
micro-entrepreneurs. Such guarantee from United
Prosperity enables the banks greater leverage
(usually loan amount is double of the guarantee)
than traditional micro-credit. Also, this model unlike
others facilitates the micro-credit borrowers to
develop a relationship or a credit history with local
banks by which the borrowers become independent
in the long term. The prime advantages of these P2P
models are lower operational costs, affordable
interest burden to borrowers, easy access of Western
individual lenders/investors who made the source of
lending fund's portfolio well diversified, globally
accessible platforms which are accessible by any
poor borrowers specially from most of the
developing countries. In 2009, US-based Zidisha
became the first P2P microlending model to connect
lenders and borrowers directly worldwide without
local intermediaries. Based on wider coverage of
both borrowers as well as lenders another US-based
P2P model, Kiva has significant lending for more
than $643 million from 1.2 million plus lenders in
84 different countries across the world. Although it
is already mentioned about the benefits of such web-
based models in microfinance activities, these P2P
models have some problems like disclosure
regarding borrower's or applicant's information, risk
rating in borrower selection, methodologies for
providing loans through local partners/
intermediaries and interest rate computation (use of
flat rates), recovery of loans in case of default etc.
Among them, the problem with the borrower/ loan
applicant's information is critical to the web-based
lenders to remain active in such platforms and to
sustain them in the long term in the promotion of
noble goal, reducing global poverty. Moreover, it is
serious because no individual credit risk rating is
provided directly or indirectly by the field partners
or by such lending platforms resulting bearing the
default risk lies absolutely with the lenders who
ultimately refinance the field partners. To address
this problem, we have chosen the leading model,
Kiva to represent the borrower / loan applicant's
profile in a scientific manner which is not only solve
the problem of borrower's information in Kiva but
also in other models that have the same problem in
this sector.
4 Kiva AND ITS WORKFLOW
Kiva, founded in 2005, is a non-profit organization
with the mission to connect people through lending
to alleviate poverty. Its lending mechanism is
different (Internet-based) from traditional lending
KITA 2015 - 1st International Workshop on the design, development and use of Knowledge IT Artifacts in professional communities and
aggregations
468
technology (group based brick-and-mortar model)
and even from other web-based lending models in
microfinance sector. It acts as an intermediary
(online platform) to provide people with the
opportunity to lend interest-free small amounts of
money to underprivileged entrepreneurs via the
Internet to microfinance organizations in the
developing world. Kiva allows its users (lenders) to
lend the money to borrowers (entrepreneurs) through
its field partners (Microfinance Institutions-MFIs).
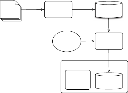
Figure 1: Overall Kiva workflow.
It follows, Figure 1, the following steps: (1a) the
borrower meets with the Field Partner and requests a
loan. The Field Partner, if certain criteria are met,
disburses a loan to the borrower (1b). After loan
disbursement, the Field Partner uploads the loan
request to Kiva (2a), it's reviewed by a team of
volunteer editors and translators and then published
on Kiva.org (2b). Kiva lenders fund the loan request
(2c), and Kiva sends the funds to the Field Partner
(2d). The borrower, later on, makes repayments (3a)
and the Field Partner sends funds owed to Kiva (3b).
Kiva repays the principal amount to its lenders (3c).
The lenders can make another loan, donate to Kiva,
or withdraw the money to their PayPal account.
Such loan can be made individually or in teams by
the lenders (one to one, many to one, and many to
many) (Choo et al., 2014).
As briefly discussed before, the users viewing
loan request descriptions have an indication of the
risk rating associated to the Field Partner, based on
historical data of loans managed by that
organization. However, no indication on the risk
associated to the specific loan request is provided, as
shown in Figure 2. Selecting a borrower is a
challenging task to online microcredit lenders as
individual borrowers’ profiles do not provide any
risk rating on the site/platform except the
microfinance intermediaries’ aggregate risk
indicators (depicted on the right bottom corner in
Fig.2) based on the actual repayment of previous
borrowers managed by the same field partner. This
information can surely suggest good assessment and
management capabilities of the field partner, but it is
essentially unrelated to the current borrow request.
Figure 2: An example of Kiva loan request description.
Moreover, the sites merely keep typical advices
for lenders/end users to diversify their portfolios
through lending to more than one borrower via
different field partners as well as in different
countries and/or sectors. However, an indication of
the borrower’s risk, which is missing on the models
(indicated in Fig.2), remains critical to the aggregate
or individual lenders in the sites.
5 CBR FOR LOAN RISK RATING
IN Kiva
The Case–Based Reasoning approach is based on the
reasoning by analogy method (i.e. similar problems
have similar solutions), summarized in the well
known 4R’s cycle by Aamodt and Plaza (1994)
described in Figure 3: a description of the new
problem is given, then it is compared to the
description of similar problems already solved and
Case based Reasoning as a Tool to Improve Microcredit
469
stored in the case base according to a similarity
algorithm. The most similar problem description is
then retrieved and its solution is reused as a first
attempt to solve the new problem without starting
from scratch. If the reused solution doesn’t fit the
problem a revise step can be applied to adapt it.
Finally, the new problem description and its
(possibly revised) solution are retained in the case
base. Of course this approach requires the definition
of (i) a case structure, comprising a description of
the situation, an adopted solution and an outcome,
and (ii) a proper similarity metric supporting the
retrieval of cases that are relevant to the one at hand.
This problem solving paradigm is suitable to deal
with domains whose problem solving methods have
not been fully understood and modelled, but in
which experiential and episodic knowledge is
instead present. In fact, within this paradigm it is not
necessary to elicit and represent the knowledge
required to construct a solution from the description
of the current problem, but it is rather necessary to
have an idea of how to compare two situations, two
cases, and rate their degree of similarity.
Figure 3: CBR Cycle.
Provided that the number of past cases is
sufficiently covering the range of possibilities, it is
plausible to think that the solution to a past situation
sufficiently similar to the one at hand will be a
useful support to the definition of a line of work for
the current problem. Knowledge elicitation and
representation phases in the definition, design and
implementation of a CBR system are therefore
focused on the definition of a proper structure for the
case description (as suggested above, composed of a
description, solution and outcome parts) and also of
a proper similarity metric. The most knowledge
intensive phase of the CBR cycle is about the
adaptation of the past case solution to the present
situation (Manzoni et al., 2007): it is not unusual that
this phase is actually delegated to the human expert
(the so-called null adaptation approach) due to the
lack of sufficient knowledge to systematically
perform this kind of activity.
The main issue with the application of this
approach to the present problem is certainly not the
lack of data. In fact, Kiva makes available all the
information associated to past loan requests and to
the actual repayments made by the borrowers. All
the information necessary to define a case
description is available (for sake of space we just
report an ER diagram of the defined schema in
Figure 4: it contains information about the borrower,
her location, the planned activity to be funded and
the field partner), and also the final outcome is
known. In particular, the information about the
planned and actual repayments and their timing are
present, where the comparison among the two types
of records (planned and actual payment) provides
useful indication on the fact that the borrower paid
back in time (or even early), or he/she rather had
problems in respecting the planned schedule. Of
course no actual risk rating is present and therefore
all cases would be missing the solution part. To
solve this cold boot problem, we decided to adopt a
strategy depicted in Figure 5: we chose to select a
reasonable number of past loans that are sufficiently
representative of all the countries, economical
sectors for the funded activities, kind of borrowers,
and actually rate them (filling thus the solution part
of the case) employing expert rules for rating the
risk associated to loan requests in developing
countries, coded into a spreadsheet. This activity
cannot, as of this moment, be completely automated
due to the need to interpret elements of the borrower
description written in natural language and not
structured in fields of a database. Moreover, the
above mentioned rules are not completely
formalized and the experts sometimes actually
manually modify the results of their direct
application to define the risk rating. Expert rules are
based on their opinion regarding objective assess-
ment assessment of subjective judgement in order to
arrive at the credit risk score for rating of borrower's
risk. The obtained credit risk score will be required
to be validated in holdout sample.
The knowledge elicitation activity carried out in
order to define these rules was characterised by
several interviews with experts in risk assessing in
the microcredit context. These experts are actually
proficient in the usage of spreadsheets and the
interviewer was actually able to involve them in the
creation of this support tool. From this perspective,
this spreadsheet can be considered as a form of
socially situated ITKA (Cabitza and Locoro, 2015),
KITA 2015 - 1st International Workshop on the design, development and use of Knowledge IT Artifacts in professional communities and
aggregations
470
Figure 4: ER diagram of information related to a loan request as extracted by the Kiva XML data.
since it is aimed at providing a form of decision sup
port but in the present form it is more an agile way
to share and discuss rules and points of views on
how to perform the risk-rating activities.
As a result of this activity, a proper case base is
achieved and the actual CBR system can be used.
The loan similarity metric was actually defined also
exploiting the above mentioned rules for risk rating,
that highlight what parts of a loan request
description are most significant in determining the
overall risk and that therefore are also more relevant
for deciding about the similarity of cases. The
similarity metric has been designed on the basis of
profiling/characterizing attributes of borrower’s
success or failure in loan delinquency or not. This
will be identified through the use of multiple
discriminant analysis, which will allow to
discriminate between success and failure or loan
delinquency and not as far as possible minimizing
the error of misspecification. Whereas the
spreadsheet supporting manual risk-rating can be
considered as a socially situated ITKA, the CBR
system, in its final form, will instead be a typical
example of representational ITKA (Cabitza and
Locoro, 2015), since the knowledge structure,
resulting from a careful information and knowledge
modelling phase, will be mostly fixed, although the
system will be provided with a form of incremental
learning, inherited by the CBR approach. Although
the system is characterised by a certain degree of
flexibility, for instance in the weights and even the
form of the similarity metric, changing the structure
of the case would represent a problem for a potential
inclusion of this system in Kiva’s workflow. The
experts involved in this study actually suggested that
having the possibility to manage in a structured way
information generally stored as text within the
borrower description field would be actually useful
for having a more refined similarity metric, but for
the time being we decided to preserve the actual data
structure adopted by Kiva’s database and evaluate
the achieved result before proposing such a
problematic change.
Finally, it must be emphasized that the case base
and even just the database of past loans actually
represent objects of interest for researchers still
involved in the study of microcredit but also in the
perception of risk associated to loans. From this
perspective, this does not represent an ITKA per se,
but we are involved in research collaborations that
might lead to the creation of a proper form of ITKA
enclosing this database for collaborative research
activities, in a socially situated ITKA perspective.
Case based Reasoning as a Tool to Improve Microcredit
471
CBR system
Kiva XML
data
XQuery
processing
Past loans
DB
Knowledge-
Based Risk
Rating
Past loan
cases
Expert
Rules for
Risk Rating
Loan
request
similarity
metric
Figure 5: workflow for setting up the CBR system from
initial Kiva data.
6 CONCLUSIONS
The paper has presented a CBR tool for improving
microcredit system (Kiva), in particular for
providing a loan request risk rating based on past
loans that are most similar to the new one to be
published on the microcredit web site. The system
has been developed and a strategy to solve the cold
boot problem has been devised and implemented: as
of this moment, the case base is being populated to
better cover the variety of the potential loan
requests, and then we will proceed with a
quantitative evaluation of the CBR system
effectiveness.
This tool can be deployed to filed partners (1a in
Fig.1) or alternatively to Kiva Systems (2b in Fig.1).
The field partners can use this tool to assess/rate the
new applicants (who will make loan requests to the
field partners) and based on the rating they can also
provide suggestions to the applicants for how to
make their businesses more appealing, competitive
for the loans and also, hopefully, more successful. In
case of Kiva Systems, they can adopt/align this tool
in their existing systems and thereby incorporate the
rating in borrower’s description space. Such kind of
incorporation will definitely help the end
users/lenders understand the risk category of the
borrowers. As a result, the lenders will be able to
diversify the lending risk of their lending portfolios.
ACKNOWLEDGEMENTS
The authors would like to thank Andrea Sedini for
his support in the development of the CBR system
and on the conversion from Kiva’s XML format to
the adopted database system. Moreover, the authors
also thank Dr. Kazi Ahmed Nabi, Professor of
Finance and Banking, University of Chittagong,
Professor Dr. M. A. Baqui Khalily, Executive
Director of Institute of Microfinance (InM), Dr.
Mahmood Osman Imam, Professor of Finance,
University of Dhaka, and Professor Dr. M. Jahangir
Alam Chowdhury, Professor of Finance & Executive
Director of Center for Microfinance and
Development, University of Dhaka for their
contributions in defining the risk rating rules, Mr.
Md. Fazlul Kader, Deputy Managing Director of
Palli Karma-Sahayak Foundation (PKSF) and Mr.
Md. Shahid Ullah, Executive Director of
Development Initiative for Social Advancement
(DISA) in understanding the current practices of
borrower’s risk assessment.
REFERENCES
Aamodt, A., Plaza, E. (1994). Case-based reasoning:
Foundational issues, methodological variations, and
system approaches. AI Communications (7) 39–59
Al-Azzam Md, Hill R.C, Sarangi S. (2012). Repayment
performance in group lending: evidence from Jordan.
Journal of Development Economics 97: 404–414.
Attanasio O, Barr A, Cardenas JC, Genicot G, Meghir C.
(2012). Risk pooling, risk preferences, and social
networks. American Economic Journal: Applied
Economics 4(2): 134–167.
Amin, N. (2008). Enabling the Expansion of Microfinance
Using Information and Communication Technologies,
3658–3680
Besley, T., & Coate, S. (1995). Group lending, repayment
incentives and social collateral. Journal of
Development Economics, 46, 1–18.
Cabitza, F., & Locoro, A. (2015). “Made with
Knowledge”: disentangling the IT Knowledge Artifact
by a qualitative literature review. In Knowledge
Discovery, Knowledge Engineering and Knowledge
Management 5th International Joint Conference, IC3K
2014, Roma, Italy, October 21-24, 2014. (Vol.
Forthcoming, pp. 6475). Springer.
Cason, T. N., Gangadharan, L., & Maitra, P. (2012).
Moral hazard and peer monitoring in a laboratory
microfinance experiment. Journal of Economic
Behavior and Organization, 82(1), 192–209.
Choo, J., Lee, C., Lee, D., & Park, H. (2014).
Understanding and Promoting Micro-Finance
Activities in Kiva. org.
Chowdhury, P. R. (2005). Group-lending: Sequential
financing, lender monitoring and joint liability.
Journal of Development Economics, 77, 415–439.
doi:10.1016/j.jdeveco.2004.05.005
Elahi K.Q, Rahman M.L. (2006). Micro-credit and micro-
finance: functional and conceptual differences.
Development in Practice 16(5): 476–483.
KITA 2015 - 1st International Workshop on the design, development and use of Knowledge IT Artifacts in professional communities and
aggregations
472
Ghatak, M., & Guinnane, T. W. (1999). The economics of
lending with joint liability: Theory and practice.
Journal of Development Economics, 60(May), 195–
228. doi:10.1016/S0304-3878(99)00041-3
Hamada, M. (2010). Financial Services to the Poor: an
Introduction to the Special Issue on Microfinance. The
Developing Economies, 48(1), 1–14.
Hermes, N., & Lensink, R. (2007). The empirics of
microfinance: What do we know? Economic Journal,
117, 1–10.
Isa, Q. A., Ashfaq, Y., & Haq, A. (2011). What Makes a
Microfinance Apex Work?
Islam, J. N., Sciences, P., Mohajan, H. K., & Datta, R.
(2012). Aspects of Microfinance System of Grameen
Bank of Bangladesh, International Journal of
Economic Research, (August), 76–96.
Manzoni, S., Sartori, F., Vizzari, G. (2007). Substitutional
Adaptation in Case-Based Reasoning: A General
Framework Applied to P-Truck Curing. Applied
Artificial Intelligence 21(4&5): 427-442 (2007)
Milana, C., & Ashta, A. (2012). Developing microfinance:
A survey of the literature. Strategic Change, 21(7-8),
299–330.
Nayak Abhay. (2010). Credit Delivery Methodologies
used by Microfinance Institutions, India.
Paal, B., & Wiseman, T. (2011). Group insurance and
lending with endogenous social collateral. Journal of
Development Economics, 94(1), 30–40.
Pompa, A., Daley-harris, S., Asia, S., & Bn, E. U. R.
(2012). Microfinance Barometer 2012 individual
lending.
Salazar-Torres, G., Colombo, E., Da Silva, F. C., Noriega,
C. A., & Bandini, S. (2008). Design issues for
knowledge artifacts. Knowledge-based systems, 21(8),
856-867.
World Attacking Development. (2000).
Wrenn, E. (2007). Perceptions of the Impact of
Microfinance on Livelihood Security. Research and
Perspectives on Development Practice. Dublin,
Ireland.
Case based Reasoning as a Tool to Improve Microcredit
473