Speeding up Skills for Improving Japan's Elite Female
Cross-country Skiers' Double Poling Skills to an Internationally
Competitive Level
Shintaro Kanno
1
, Junichi Igawa
2
, Tsukasa Suzuki
1
and Fumio Mizuochi
3
1
School of Dentistry at Matsudo, Nihon University, Chiba, Japan
2
Graduate School of Literature and Social Sciences, Nihon University, Tokyo, Japan
3
College of Humanities and Sciences, Nihon University, Tokyo, Japan
1 OBJECTIVES
As a strategy to improve the double-poling skills of
female cross-country skiers and enable them to
become internationally competitive level, we have
identified the importance of rapid elbow joint
extension during the poling phase and hip joint
extension during the gliding phase, as well as
overcoming the trade-off between cycle length and
cycle rate. To keep up with the faster speeds seen in
competition in recent years, it will be necessary to
improve the timing skills entailed in coordinating the
movements of the main parts of the body involved in
the gliding movement. It is believed that this will
contribute in overcoming the trade-off (Yoshimoto
and Suzuki, 2013).
The female athletes who participated in this
study include some who have won a prize in
international competitions. The short cut to raising
their level to the point at which they can consistently
be in contention for medals is the presentation of a
motion model that allows them to acquire the main
timing skills involved in the gliding movement,
which have enabled elite male skiers to increase
their speed. In this study, we have attempted to
create a motion model regarding the timing skills
that female skiers need to acquire, based on image
analysis data of double poling movements by elite
Japanese male and female skiers.
2 METHODS
2.1 Experimental Participants
One elite female Japanese skier and fourteen elite
male Japanese skiers participated in this experiment.
They were classified into a high-rank group of six
skiers whose gliding speed in a set measurement
zone was faster than the mean of all of the skiers.
Male B with the fastest gliding speed was extracted,
and the male athletes, female A, male B were
compared with each other.
2.2 Experimental Task
The task was a maximum effort double-poling on a
straight, 8-m ascending (5% incline) course. Two
high-speed cameras (300 f/s) were set up in front of
and beside the subjects, and recorded their double
poling gliding motions.
2.3 Measurement Items
Motion analysis software (Frame-DIAS IV, made by
DKH) was used to find three-dimensional coordinate
values of different parts of the body by direct linear
transformation (DLT) from the resulting video. Part
of one cycle of their gliding motion, from the ground
contact of the poles to take-off from the ground, was
understood to be the poling phase (Phase P), and the
part from take-off from the ground to the next
ground contact was understood to be the gliding
phase (Phase G). (See fig. 1 for measurement items
and definitions of angles)
Figure 1: Measurement items and definitions of angles.
6.0
5.5
5.0
4.5
4.0
800
400
-400
-800
0
0.0 0.2
0.4 0.6
0.8 s
Mean velocity
Maximum extension
angular velocity
of the elbow joint
Maximum
extension
angular velocity
of the hip joint
Maximum flexion angular
velocity of the hip joint
Phase P
Phase G
Maximum
flexion
angular
velocity
of the
elbow
joint
Maximum flexion angular
velocity of the shoulder joint
Velocity of CGm/s
Angular velocity of elbow joint deg/s
Angular velocity of hip joint deg/s
Angular velocity of Shoulder joint deg/s
Minimum velocity
Maximum velocity
①:Time points for maximum flexion angular
velocity of the elbow joint to time point
maximum flexion angular velocity of hip joint
②:Time points for extension start point of the
elbow joint to time point maximum flexion
angular velocity of shoulder joint
③:Time points for maximum extension angular
velocity of the elbow joint to time points to
maximum extension angular velocity of hip joint
a
b
c
CG
a
Elbow joint angle
b
Shoulder joint angle
c
Hip joint angle
CG
Body center of gravity
Kanno, S., Igawa, J., Suzuki, T. and Mizuochi, F..
Speeding up Skills for Improving Japan’s Elite Female Cross-country Skiers’ Double Poling Skills to an Internationally Competitive Level.
Copyright
c
2015 by SCITEPRESS Science and Technology Publications, Lda. All rights reserved
3 RESULTS
3.1 Gliding Velocity, and Minimum
Velocity Relative to the Maximum
Velocity to the Slowdown Late
Figure 2: Gliding velocity of each phase, and the
deceleration rate of the minimum velocity to the maximum
velocity.
Female athlete A, mean velocity of each phase
islower than male athletes. The deceleration rate of
the minimum velocity to the maximum velocity was
equal to or less than 10% in male athlete group and
male athlete B, but it was about 12% in female
athlete A.
3.2 Angular Velocity Changes of the
Upper Limb Joints, and the Time
Relationship between Elbow Joint
Extension and Shoulder Joint
Flexion
Figure 3: In phase P, Time relationship between elbow and
shoulder joint motions, male B's angular velocity changes.
Maximum flexion angular velocity of the shoulder
joint relative to the elbow joint extension start point
was high in the male athletes group, and low in the
female athlete A. But both time points coincided
formale B (fig. 3 ).
In the time from the Nagano Olympics (1998) to
the Turin Olympics (2006), skiers at an
internationally competitive level have had
coinciding time points for maximum flexion angular
velocity of the shoulder joint and elbow joint
(Suzuki et al, 2002). However, currently the time
point for the maximum flexion angular velocity of
the elbow joint has, appearing at about the same
time as ground contact of the poles, as is the case
with male athletes group and male B (fig. 3 ).
3.3 Each Joint Flexion Angular
Velocityand Time Relationship
between Elbow Joint Flexion and
Hip Joint Flexion
Figure 4: In phase P, Maximum flexion angular velocity of
the elbow joint, hip joint, shoulder joint.
Figure 5: Time relationship between elbow and hip
motions, male B’s angular velocity changes.
In phase P, Female A’s maximum flexion angular
velocity of the elbow joint and hip joint was
substantially the same as the male B, and Compared
with male athletes group, lower elbow joint, but
higher in the hip joint.
Female A’s maximum flexion angular velocity of
0
2
4
6
8
10
12
14
Slowdownrate(%)
(%)
Maleathletesgroup MaleB FemaleA
0
100
200
300
400
500
600
700
Elbowjoint Hipjoint Shoulderjoint
Angularvelocity(deg/s )
Maleathletesgroup MaleB FemaleA
0.03
0.00
0.08
0.10 0.05 0.00 0.05 0.10
Time(s)
FemaleA
MaleB
Maleathletes
group
Timepointsformaximumflexionangular
velocity
oftheelbowjoint
7.5
7.0
6.5
6.0
5.5
800
400
-400
-800
0
0.0 0.2
0.4 0.6
0.8 s
VelocityofCGm/s
Male B
Angularvelocity ofelbowjointdeg/s
Angularvelocityofhipjointdeg/s
the shoulder joint, relative to male B and male
athletes group, was the lowest.
The time point of maximum flexion angular
velocity of the hip joint, relative to the time point of
maximum flexion angular velocity of the elbow joint,
female A is the largest, then was a male athletes
group. Both time points coincided for male B (fig. 5
).
3.4 Each Joint Extension Angular
Velocity and Time Relationship
between Elbow Joint Extension
and Hip Joint Extension
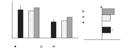
Figure 6: In phase G, elbow and hip Joint extension
angular velocity, and time relationship between elbow and
hip joints motions.
The maximum extension angular velocity of the
elbow joint and shoulder joint in phase G, female A
was the highest. The time point of maximum
extension angular velocity of the elbow joint,
relative to the time point of maximum flexion
angular velocity of the hip joint, male athletes group
and male B was within 0.2s, then female A was
slower about 0.28s.
4 DISCUSSION
Compared to male athletes, female A has a lower
gliding velocity and a higher slowdown rate of phase
G. However, the angular velocity of flexion and
extension of the main joint is not low, and the
muscle power exerted by each movement seems to
be sufficient. In contrast, flexion of the elbow joint
and hip joint in phase P, and the gap in the timing
between shoulder joint flexion and elbow joint
extension is different from that of male athletes. For
example, the timing of the flexural movement of the
elbow joint and hip joint of male B, it is considered
that support to the skill corresponding to the recent
velocity of gliding up. Suggests that female A
different from it timing to not mastered of the
velocity of gliding up. Flexion of shoulder joint is
final situation of the kinetic chain that each body
sites part to pushing the pole behind.
Female A has high angular velocity of flexion
and extension of the elbow joint and hip joint, but
power generated by these movements is not effective.
One of the causes is timing skills. Therefore, not
only increasing the muscle power to pushing the
pole behind, if power generate the timing skills, such
as to exert a male B, increases angular velocity of
flexion of shoulder joint is final situation of the
kinetic chain, it is expected to increase in the gliding
velocity.
Although the angular velocity of extension of the
elbow joint and hip joint is high in female A in
phase G, the timing of hip joint extension is delayed.
Correction of this timing skill, is supposed to
contribute to controlling the slowdown rate of phase
G.
From the above, the features of the motion model
which could make female athlete A acquire the main
skills of the gliding motion of a male athlete.
(1) Because the muscle power exerted by flexion
and extension of the elbow joint and hip joint is
efficient, the present joint angular velocity is
maintained.
(2) The timing is synchronized to let the elbow joint
extend in phase P with the time point for
maximum angular velocity of flexion of the
shoulder joint.
(3) The timing is synchronized to allow bending of
the elbow joint and hip joint in phase P. In other
words, flexion timing is hastened so that
maximum angular velocity of hip joint flexion
appears with pole grounding approximately at the
same time.
(4) The timing is hastened to let the hip joint extend
in phase G. About after 0.2s at the approximately
the time point for maximum angular velocity of
elbow joint extension.
REFERENCES
Tsukasa Suzuki et al, 2002. Feedback from a Video
Motion Analysis of Cross-country Skiers’ Movement.
Bulletin of Education and Research Nihon University
School of Dentistry at Matsudo 1(2):49-60.
Daiyu Yoshimoto and Tsukasa Suzuki, 2013. Strategy to
Increase the Double-Poling Skill of Women Cross
Country Skiers to an International level. 6th
International Congress on Science and Skiing 2013,
St. Christoph a. Arlberg-Austria: 125.
0
100
200
300
400
500
600
700
800
900
1000
Elbowjoint Hipjoint
Angularvelocity(deg/s)
Maleathletesgroup MaleB FemaleA
0.20
0.18
0.28
0.40 0.20 0.00 0.20 0.40
Time(s)
FemaleA
MaleB
Maleathletes
group
Time pointsformaximum
extentionangularvelocityofelbow
joint