Markov Chain based Method for In-Domain and Cross-Domain
Sentiment Classification
Giacomo Domeniconi, Gianluca Moro, Andrea Pagliarani and Roberto Pasolini
DISI, Universit
`
a degli Studi di Bologna, Via Venezia 52, Cesena, Italy
Keywords:
Transfer Learning, Sentiment Classification, Markov Chain, Parameter Tuning, Language Independence,
Opinion Mining.
Abstract:
Sentiment classification of textual opinions in positive, negative or neutral polarity, is a method to understand
people thoughts about products, services, persons, organisations, and so on. Interpreting and labelling oppor-
tunely text data polarity is a costly activity if performed by human experts. To cut this labelling cost, new
cross domain approaches have been developed where the goal is to automatically classify the polarity of an
unlabelled target text set of a given domain, for example movie reviews, from a labelled source text set of
another domain, such as book reviews. Language heterogeneity between source and target domain is the trick-
iest issue in cross-domain setting so that a preliminary transfer learning phase is generally required. The best
performing techniques addressing this point are generally complex and require onerous parameter tuning each
time a new source-target couple is involved. This paper introduces a simpler method based on the Markov
chain theory to accomplish both transfer learning and sentiment classification tasks. In fact, this straightfor-
ward technique requires a lower parameter calibration effort. Experiments on popular text sets show that our
approach achieves performance comparable with other works.
1 INTRODUCTION
Text classification copes with the problem of automat-
ically organising a corpus of documents into a prede-
fined set of categories or classes, which usually are
the document topics, like for instance sport, politics,
cinema and so on. Differently, sentiment classifica-
tion is a particular text classification task that organ-
ises documents according to their polarity, such as
positive, negative and possibly neutral.
Any supervised approach learns a classification
model from a training set of documents, labelled ac-
cording to their topics, in order to classify new un-
labelled documents into the same set of topics. The
more new documents reflect the peculiarity of train-
ing set, the more the classification is accurate. The
accuracy of the classification model is evaluated by
applying the model to a labelled test set. Generally
new and possibly better classification models of the
test set are extracted from the training set by varying
the parameters of the learning algorithm adopted. The
classical approach of sentiment classification assumes
This work was partially supported by the project “Gen-
Data 2020”, funded by the Italian MIUR.
that both training set and test set deal with the same
topic. This modus operandi, known as in-domain sen-
timent classification results in optimal effectiveness,
being training set and test set lexically and semanti-
cally similar.
However this approach is inapplicable when the
text set we want to classify is completely unlabelled,
which is the most frequent real case, such as with
tweets, blog opinions or with comments in social net-
works. Therefore, having a document set treating
a certain topic, for instance book reviews with each
review labelled according to its polarity, it is desir-
able to extract from this document set a classification
model capable of classifying the polarity of new doc-
ument sets whatever kind of topic they deal with, for
instance electrical appliance reviews: this approach
is called cross-domain sentiment classification. Since
classification is typically driven by terms, the most
critical issue in cross-domain setting is language het-
erogeneity, whereas just the classes are usually the
same (i.e. positive, negative or neutral). For instance,
if we consider two different domains like books and
electrical appliances, we may notice that a book can
be interesting, boring, funny, but the same attributes
are meaningless in describing electrical appliances.
Domeniconi, G., Moro, G., Pagliarani, A. and Pasolini, R..
Markov Chain based Method for In-Domain and Cross-Domain Sentiment Classification.
In Proceedings of the 7th International Joint Conference on Knowledge Discovery, Knowledge Engineering and Knowledge Management (IC3K 2015) - Volume 1: KDIR, pages 127-137
ISBN: 978-989-758-158-8
Copyright
c
2015 by SCITEPRESS – Science and Technology Publications, Lda. All rights reserved
127
On the other hand, an electrical appliance can be ef-
ficient, noisy, clean, but again these attributes are not
the most relevant in book reviews.
Transfer learning approaches are employed in
cross-domain setting to overcome the lexical gap be-
tween source and target text sets. In literature, several
methods have been proposed with the aim of either
adapting the representation of source domain to fit
the target domain or mapping both domains in a com-
mon latent space (Dai et al., 2007; Xue et al., 2008;
Li et al., 2012). Among them, the most popular are
clustering algorithms and approaches that make use
of feature expansion and external, sometimes hierar-
chical, knowledge bases. These techniques, employed
in conjunction with standard text classification algo-
rithms, lead to good results in sentiment classifica-
tion (Tan et al., 2008; Qiu et al., 2009; Melville et al.,
2009). Nevertheless, a heavy parameter tuning, which
is needed to achieve accurate performance, is a bottle-
neck each time a new text set has to be classified, in
fact the parameter values that yield optimal accuracy
for a text set, usually do not produce analogous best
results with different corpora. Therefore, defining al-
gorithms that are not affected (or slightly affected) by
the parameter tuning problem represents an open re-
search challenge. (Domeniconi et al., 2014) propose
a novel method to solve this issue in the text classifi-
cation context; however sentiment classification is not
taken into account in the study.
In this paper we introduce a novel method for
in-domain and cross-domain sentiment classification
based on Markov chain theory that performs both
transfer learning from a source domain to a target
domain and sentiment classification over target do-
main. The basic idea is to model semantic informa-
tion looking at term distribution within a corpus. To
accomplish this task, we represent the document cor-
pus as a graph characterised by a node for each dif-
ferent term and a link between co-occurrent terms. In
this way, we mold a semantic network where informa-
tion can flow allowing transfer learning from source
specific terms to target specific ones. Similarly, we
also add categories to graph nodes in order to model
semantic information between source specific terms
and classes.
The semantic graph is implemented by using a
Markov chain, whose states represent both terms and
classes, modelling state transitions as a function of
term(-class) co-occurrences in documents. In partic-
ular, Markov chain terms belong either to source do-
main or to target domain, whereas connections with
class states are available only starting from terms that
occur in source domain. This mathematical model is
appropriate to spread semantic information through-
out the network by performing steps (i.e. state tran-
sitions) in the Markov chain. The simultaneous exis-
tence of terms belonging to source domain, terms be-
longing to target domain and categories in the Markov
chain ensures both the transfer learning capability and
the classification capability, as will be argued in sec-
tion 3. To the best of our knowledge, it is the first
time that a Markov chain is used as a classifier in a
sentiment classification task rather than for a support
task such as part-of-speech (POS) tagging. More-
over, considering categories as Markov chain states is
a novelty with reference to text classification as well,
where the most common approach consists in build-
ing different Markov chains (i.e. one for each cate-
gory) and evaluating the probability that a test docu-
ment is being generated by each of them.
We performed experiments on publicly available
benchmark text sets considering just 2 classes (i.e.
positive and negative) and we tested performance
in both in-domain and cross-domain sentiment clas-
sification, achieving an accuracy comparable with
the best methods in literature. This means that our
Markov chain based method succeeds in classifying
document polarity. Moreover, we notice that less bur-
densome parameter tuning is required with respect to
the state of the art. This peculiarity makes the ap-
proach particularly appealing in real contexts where
both reduced computational costs and accuracy are
essential.
The rest of the paper is organised as follows. Sec-
tion 2 outlines the state of the art approaches about in-
domain and cross-domain sentiment classification and
Markov chains. Section 3 describes the novel method
based on Markov chain theory. Section 4 illustrates
the performed experiments, discusses the outcome
and the comparison with other works. Lastly, section
5 summarises results and possible future works.
2 RELATED WORK
In cross-domain setting, transfer learning approaches
are required to map a source domain to a tar-
get domain. More specifically, two transfer modes
can be identified: instance-transfer and feature-
representation-transfer (Pan and Yang, 2010). The
former aims to bridge the inter-domain gap by ad-
justing instances from source to target. Vice versa,
the latter pursues the same goal by mapping features
of both source and target in a different space. In the
text categorisation context, transfer learning has been
fulfilled in some ways, for example by clustering to-
gether documents and words (Dai et al., 2007), by
extending probabilistic latent semantic analysis also
KDIR 2015 - 7th International Conference on Knowledge Discovery and Information Retrieval
128
to unlabelled instances (Xue et al., 2008), by extract-
ing latent words and topics, both common and domain
specific (Li et al., 2012), by iteratively refining target
categories representation without a burdensome pa-
rameter tuning (Domeniconi et al., 2014; Domeniconi
et al., 2015b).
Apart from the aforementioned, a number of dif-
ferent techniques have been developed solely for sen-
timent classification. For example, (Dave et al., 2003)
draw on information retrieval methods for feature
extraction and to build a scoring function based on
words found in positive and negative reviews. In (Tan
et al., 2008; Qiu et al., 2009), a dictionary contain-
ing commonly used words in expressing sentiment is
employed to label a portion of informative examples
from a given domain in order to reduce the labelling
effort and to use the labelled documents as training
set for a supervised classifier. Further, lexical infor-
mation about associations between words and classes
can be exploited and refined for specific domains
by means of training examples to enhance accuracy
(Melville et al., 2009). Finally, term weighting could
foster sentiment classification as well, just like it hap-
pens in other mining tasks, from the general informa-
tion retrieval to specific contexts, such as prediction
of gene function annotations in biology (Domeniconi
et al., 2015a). For this purpose, some researchers pro-
pose different term weighting schemes: a variant of
the well-known tf-idf (Paltoglou and Thelwall, 2010),
a supervised scheme based on both the importance of
a term in a document and the importance of a term in
expressing sentiment (Deng et al., 2014), regularised
entropy in combination with singular term cutting and
bias term in order to reduce the over-weighting issue
(Wu and Gu, 2014).
With reference to cross-domain setting, a bunch of
methods have been attempted to address the transfer
learning issue.
Following works are based on some kind of su-
pervision. In (Aue and Gamon, 2005), some ap-
proaches are tried in order to customise a classifier
to a new target domain: training on a mixture of la-
belled data from other domains where such data are
available, possibly considering just the features ob-
served in target domain; using multiple classifiers
trained on labelled data from diverse domains; in-
cluding a small amount of labelled data from target.
(Bollegala et al., 2013) suggest the adoption of a the-
saurus containing labelled data from source domain
and unlabelled data from both source and target do-
mains. (Blitzer et al., 2007) discover a measure of do-
main similarity contributing to a better domain adap-
tation. (Pan et al., 2010) advance a spectral feature
alignment algorithm which aims to align words be-
longing to different domains into same clusters, by
means of domain-independent terms. These clusters
form a latent space which can be used to improve sen-
timent classification accuracy of target domain. (He
et al., 2011) extend the joint sentiment-topic model by
adding prior words sentiment, thanks to the modifica-
tion of the topic-word Dirichlet priors. Feature and
document expansion are performed through adding
polarity-bearing topics to align domains.
On the other hand, document sentiment classifica-
tion may be performed by using unsupervised meth-
ods as well. In this case, most features are words com-
monly used in expressing sentiment. For instance,
an algorithm is introduced to basically evaluate mu-
tual information between the given sentence and two
words taken as reference: excellent and poor (Turney,
2002). Furthermore, in another work not only a dic-
tionary of words annotated with both their semantic
polarity and their weights is built, but it also includes
intensification and negation (Taboada et al., 2011).
Markov chain theory, whose a brief overview can
be found in section 3, has been successfully applied
in several text mining contexts, such as information
retrieval, sentiment analysis, text classification.
Markov chains are particularly suitable for mod-
elling hypertexts, which in turn can be seen as graphs,
where pages or paragraphs represent states and links
represent state transitions. This helps in some infor-
mation retrieval tasks, because it allows discovering
the possible presence of patterns when humans search
for information in hypertexts (Qiu, 1993), performing
link prediction and path analysis (Sarukkai, 2000) or,
even, defining a ranking of Web pages just dealing
with their hypertext structure, regardless information
about page content (Page et al., 1999).
Markov chains, in particular hidden Markov
chains, have been also employed to build informa-
tion retrieval systems where firstly query, document
or both are expanded and secondly the most rele-
vant documents with respect to a given query are re-
trieved (Mittendorf and Sch
¨
auble, 1994; Miller et al.,
1999), possibly in a spoken document retrieval con-
text (Pan et al., 2012) or in the cross-lingual area
(Xu and Weischedel, 2000). Anyhow, to fulfil these
purposes, Markov chains are exploited to model term
relationships. Specifically, they are used either in a
single-stage or in a multi-stage fashion, the latter just
in case indirect word relationships need to be mod-
elled as well (Cao et al., 2007).
The idea of modelling word dependencies by
means of Markov chains is also pursued for sentiment
analysis. In practice, hidden Markov models (HMMs)
aim to find out opinion words (i.e. words expressing
sentiment) (Li et al., 2010), possibly trying to corre-
Markov Chain based Method for In-Domain and Cross-Domain Sentiment Classification
129
late them with particular topics (Mei et al., 2007; Jo
and Oh, 2011). Typically, transition probabilities and
output probabilities between states are estimated by
using the Baum-Welch algorithm, whereas the most
likely sequence of topics and related sentiments is
computed through the Viterbi algorithm. The latter
algorithm also helps in Part-of-speech (POS) tagging,
where Markov chain states not only model terms but
also tags (Jin et al., 2009; Nasukawa and Yi, 2003).
In fact, when a tagging for a sequence of words is de-
manded, the goal is to find the most likely sequence
of tags for that sequence of words.
Following works are focused on text classifica-
tion, where the most widespread approach based on
Markov models consists in building a HMM for each
different category. The idea is, for each given docu-
ment, to evaluate the probability of being generated
by each HMM, finally assigning to that document
the class corresponding to the HMM maximizing this
probability (Yi and Beheshti, 2008; Xu et al., 2006;
Vieira et al., ; Yi and Beheshti, 2013). Beyond di-
rectly using HMMs to perform text categorisation,
they can also be exploited to model inter-cluster as-
sociations. For instance, words in documents can be
clustered for dimensionality reduction purposes and
each cluster can be mapped to a different Markov
chain state (Li and Dong, 2013). Another interesting
application is the classification of multi-page docu-
ments where, modelling each page as a different bag-
of-words, a HMM can be exploited to mine correla-
tion between documents to be classified (i.e. pages)
by linking concepts in different pages (Frasconi et al.,
2002).
3 METHOD DESCRIPTION
In this section, our novel method based on Markov
chain for in-domain and cross-domain sentiment clas-
sification is introduced.
First of all, we would like to remind that a Markov
chain is a mathematical model that is subject to transi-
tions from one state to another in a states space S . In
particular, it is a stochastic process characterised by
the so called Markov property, namely, future state
only depends on current state, whereas it is indepen-
dent from past states.
Before talking about our method in detail, no-
tice that the entire algorithm can be split into three
main stages, namely, the text pre-processing phase,
the learning phase and the classification phase. We
argue that the learning phase and the classification
phase are the most innovative parts of the whole al-
gorithm, because they accomplish both transfer learn-
ing and sentiment classification by means of only one
abstraction, that is, the Markov chain.
3.1 Text Pre-processing Phase
The first stage of the algorithm is text pre-processing.
Starting from a corpus of documents written in natu-
ral language, the goal is to transform them in a more
manageable, structured format.
Initially, standard techniques are applied to the
plain text, such as word tokenisation, punctuation
removal, number removal, case folding, stopwords
removal and the Porter stemming algorithm (Porter,
1980). Notice that stemming definitely helps the sen-
timent classification process, because words having
the same morphological root are likely to be semanti-
cally similar.
The representation used for documents is the com-
mon bag-of-words, that is, a term-document matrix
where each document d is seen as a multiset (i.e. bag)
of words (or terms). Let T = {t
1
,t
2
,...,t
k
}, where k
is the cardinality of T , be the dictionary of terms to
be considered, which is typically composed of every
term appearing in any document in the corpus to be
analysed. In each document d, each word t is associ-
ated to a weight w
d
t
, usually independent from its po-
sition inside d. More precisely, w
d
t
only depends on
term frequency f (t, d), that is, the number of occur-
rences of t in document d, and in particular, represents
relative frequency r f (t, d), computed as follows:
w
d
t
= r f (t,d) =
f (t,d)
τT
f (τ,d)
(1)
After having built the bags of words, a feature se-
lection process is performed to limit the curse of di-
mensionality. On the one hand, feature selection al-
lows selecting only the most profitable terms for the
classification process. On the other hand, being k
higher the more the dataset to be analysed is large,
selecting only a small subset of the whole terms cuts
down the computational burden required to perform
both the learning phase and the classification phase.
Feature selection is an essential task, which could
considerably affect the effectiveness of the whole
classification method. Thus, it is critical to pick out
a feature set as good as possible to support the clas-
sification process. In this paper, we try to tackle this
issue by following some different feature selection ap-
proaches. Below, we briefly describe these methods,
while the performed experiments where they are com-
pared are presented in the next section.
KDIR 2015 - 7th International Conference on Knowledge Discovery and Information Retrieval
130
3.1.1 Feature Selection Variants
The first feature selection method we use for testing
is based on document frequency, d f (t), defined as:
d f (t) = |{d : t d}| (2)
Each term having a d f higher than an established
threshold is selected.
The second alternative consists in selecting only
the terms included in a list (i.e. opinion wordlist)
of commonly used words in expressing sentiment, re-
gardless of their frequency, their document frequency
or other aspects. These words simply are general
terms that are known to have a certain polarity. The
opinion wordlist used in this paper for English docu-
ments is that proposed in (Liu, 2012), containing 2003
positive words and 4780 negative words.
The previously presented feature selection meth-
ods are both unsupervised. On the contrary, we
present straight away another viable option to perform
the same task exploiting the knowledge of class la-
bels. First of all, we use a supervised scoring function
to find the most relevant features with respect to their
ability to characterize a certain category. This func-
tion is either information gain IG or chi-square χ
2
,
defined as in (Domeniconi et al., 2015c). The ranking
obtained as output is used on the one hand to select
the best n features and on the other hand to change
term weighting inside documents. In fact, this score
s(t) is a global value, stating the relevance of a cer-
tain word, whereas relative frequency, introduced by
equation 1, is a local value only measuring the rele-
vance of a word inside a particular document. There-
fore, these values can be combined into a novel, dif-
ferent term weighting to be used for the bag-of-words
representation, so that the weight w
d
t
comes to be
w
d
t
= r f (t,d) · s(t) (3)
Thus, according to the equation 3, both factors
(i.e. the global relevance and the local relevance) may
be taken into account.
3.2 Learning Phase
The learning phase is the second stage of our algo-
rithm. As in any categorisation problem, the primary
goal is to learn a model from a training set, so that
a test set can be accordingly classified. Though, the
mechanism should also allow transfer learning in case
of cross-domain setting.
The basic idea consists in modelling term co-
occurrences: the more words co-occur in docu-
ments the more their connection should be stronger.
We could represent this scenario as a graph whose
nodes represent words and whose edges represent the
strength of the connections between them. Consid-
ering a document corpus D = {d
1
,d
2
,..., d
N
} and a
dictionary T = {t
1
,t
2
,...,t
k
}, A = {a
i j
} is the set of
connection weights between the term t
i
and the term
t
j
and each a
i j
can be computed as follows:
a
i j
= a
ji
=
N
d=1
w
d
t
i
· w
d
t
j
(4)
The same strategy could be followed to find the
polarity of a certain word, unless having an external
knowledge base which states that a word is intrinsi-
cally positive, negative or neutral. Co-occurrences
between words and classes are modelled for each doc-
ument whose polarity is given. Again, a graph whose
nodes are either terms or classes and whose edges rep-
resent the strength of the connections between them
is suitable to represent this relationship. In particular,
given that C = {c
1
,c
2
,..., c
M
} is the set of categories
and B = {b
i j
} is the set of edges between a term t
i
and
a class c
j
, the strength of the relationship between a
term t
i
and a class c
j
is augmented if t
i
occurs in doc-
uments belonging to the set D
j
= {d D : c
d
= c
j
}.
b
i j
=
dD
j
w
d
t
i
(5)
Careful readers may have noticed that the graph
representing both term co-occurrences and term-class
co-occurrences can be easily interpreted as a Markov
chain. In fact, graph vertices are simply mapped to
Markov chain nodes and graph edges are split into two
directed edges (i.e. the edge linking states t
i
and t
j
is
split into one directed edge from t
i
to t
j
and another
directed edge from t
j
to t
i
). Moreover, for each state
a normalisation step of all outgoing arcs is enough
to satisfy the probability unitarity property. Finally,
Markov property surely holds because each state only
depends on directly linked states, since we evaluate
co-occurrences considering just two terms (or a term
and a class) at a time.
Now that we have introduced the basic idea behind
our method, we explain how the learning phase is per-
formed. We rely on the assumption that there exist a
subset of common terms between source and target
domain that can act as a bridge between domain spe-
cific terms, allowing and supporting transfer learning.
So, these common terms are the key to let informa-
tion about classes flow from source specific terms to
target specific terms, exploiting term co-occurrences,
as shown in Figure 1.
We would like to point out that the just described
transfer learning process is not an additional step to be
added in cross-domain problems; on the contrary, it is
implicit in the Markov chain mechanism and, as such,
Markov Chain based Method for In-Domain and Cross-Domain Sentiment Classification
131
Figure 1: Transfer learning from a book specific term like
boring to an electrical appliance specific term like noisy
through a common term like bad.
it is performed in in-domain problems as well. Obvi-
ously, if both training set and test set are extracted
from the same domain, it is likely that most of the
terms in test set documents already have a polarity.
Apart from transfer learning, the Markov chain we
propose also fulfils the primary goal of the learning
phase, that is, to build a model that can be subse-
quently used in the classification phase. Markov chain
can be represented as a transition matrix (MCTM),
composed of four logically distinct submatrices, as
shown in Table 1. It is a (k + M) × (k + M) ma-
trix, having current states as rows and future states
as columns. Each entry represents a transition prob-
ability, which is computed differently depending on
the type of current and future states (term or class), as
described below.
Table 1: This table shows the structure of MCTM. It is com-
posed of four submatrices, representing transition probabil-
ity that, starting from a current state (i.e. row), a future
state (i.e. column) is reached. Both current states and fu-
ture states can be either terms or classes.
t
1
,..., t
k
c
1
,..., c
M
t
1
,..., t
k
A
0
B
0
c
1
,..., c
M
E F
Let D
train
and D
test
be the subsets of document
corpus D chosen as training set and test set respec-
tively. The set A, whose each entry is defined by equa-
tion 4, is rewritten as
a
i j
= a
ji
=
0, i = j
dD
train
D
test
w
d
t
i
· w
d
t
j
, i 6= j
(6)
and the set B, whose each entry is defined by equation
5, is rewritten as
b
i j
=
dD
j
train
w
d
t
i
(7)
where D
j
train
= {d D
train
: c
d
= c
j
}. The submatri-
ces A
0
and B
0
are the normalised forms of equations
6 and 7, computed so that each row of the Markov
chain satisfies the probability unitarity property. In-
stead, each entry of the submatrices E and F looks
like as follows:
e
i j
= 0 (8)
f
i j
=
(
1, i = j
0, i 6= j
(9)
Notice that E and F deal with the assumption that
classes are absorbing states, which can never be left
once reached.
3.3 Classification Phase
The last step of the algorithm is the classification
phase. The aim is classifying test set documents by
using the model learnt in the previous step. Accord-
ing to the bag-of-words representation, a document
d
t
D
test
to be classified can be expressed as follows:
d
t
= (w
d
t
t
1
,..., w
d
t
t
k
,c
1
,..., c
M
) (10)
w
d
t
t
1
,..., w
d
t
t
k
is the probability distribution representing
the initial state of the Markov chain transition matrix,
whereas c
1
,..., c
M
are trivially set to 0. We initially
hypothesize to be in many different states (i.e. ev-
ery state t
i
so that w
d
t
t
i
> 0) at the same time. Then,
simulating a single step inside the Markov chain tran-
sition matrix, we obtain a posterior probability distri-
bution not only over terms, but also over classes. In
such a way, estimating the posterior probability that
d
t
belongs to a certain class c
i
, we could assign to d
t
the most likely label c
i
C . The posterior probabil-
ity distribution after one step in the transition matrix,
starting from document d
t
, is:
d
t
= (w
d
t
t
1
,..., w
d
t
t
k
,c
1
,..., c
M
) = d
t
× MCT M (11)
where d
t
is a column vector having size (k + M) and
MCT M is the Markov chain transition matrix, whose
size is (k + M) × (k + M). At this point, the category
that will be assigned to d
t
is computed as follows:
c
d
t
= argmax
iC
c
i
(12)
where C
= {c
1
,..., c
M
} is the posterior probability
distribution over classes.
3.4 Computational Complexity
The computational complexity of our method is the
time required to perform both the learning phase
and the classification phase. Regarding the learning
phase, the computational complexity overlaps with
KDIR 2015 - 7th International Conference on Knowledge Discovery and Information Retrieval
132
the time needed to build the Markov chain transition
matrix, say time(MCT M), which is
time(MCT M) = time(A) +time(B)+
+time(A
0
+ B
0
) + time(E) + time(F) (13)
Remember that A and B are the submatrices represent-
ing the state transitions having a term as current state.
Similarly, E and F are the submatrices representing
the state transitions having a class as current state.
time(A
0
+ B
0
) is the temporal length of the normali-
sation step, necessary in order to observe the proba-
bility unitarity property. On the other hand, E and F
are simply a null and an identity matrix, requiring no
computation. Thus, since time complexity depends
on these factors, all should be estimated.
The only assumption we can do is that in gen-
eral |T | >> |C |. The time needed to compute A is
O(
|T |
2
2
· (|D
train
| + |D
test
|)), which in turn is equal
to O(|T |
2
· (|D
train
| + |D
test
|)). Regarding transitions
from terms to classes, building the submatrix B re-
quires O(|T | · |C | · |D
train
|) time. In sentiment classi-
fication problems we could also assume that |D| >>
|C | and, as a consequence, the previous time becomes
O(|T | · |D
train
|). The normalisation step, which has
to be computed one time only for both A and B,
is O(|T | · (|T | + |C |) + |T | + |C |) = O((|T | + 1) ·
(|T | + |C |)), which can be written as O(|T |
2
) given
that |T | >> |C |. Further, building the submatrix
E requires O(|T |
2
) time, whereas for submatrix F
O(|T | · |C |) time is needed, which again can be writ-
ten as O(|T |) given that |T | >> |C |. Therefore, the
overall complexity of the learning phase is
time(MCT M) ' time(A) =
= O(|T |
2
· (|D
train
| + |D
test
|)) (14)
In the classification phase, two operations are
performed for each document to be categorised:
the matrix product in equation 11, which requires
time(MatProd), and the maximum computation in
equation 12, which requires time(Max). Hence, as
we can see below
time(CLASS) = time(MatProd) +time(Max) (15)
the classification phase requires a time that depends
on the previous mentioned factors. The matrix prod-
uct can be computed in O((|T | + |C |)
2
· |D
test
|) time,
which can be written as O(|T |
2
· |D
test
|) given that
|T | >> |C |. On the other hand, the maximum re-
quires O(|C | · |D
test
|) time. Since the assumption that
|T | >> |C | still holds, the complexity of the classifi-
cation phase can be approximated by the calculus of
the matrix product.
Lastly, the overall complexity of our algorithm,
say time(Algorithm), is as follows:
time(Algorithm) = time(MCT M) +time(CLASS) '
' time(MCT M) = O(|T |
2
· (|D
train
| + |D
test
|))
(16)
This complexity is comparable to those we have
estimated for the other methods, which are compared
in the upcoming experiments section.
4 EXPERIMENTS
The Markov chain based method has been imple-
mented in a framework entirely written in Java. Al-
gorithm performance has been evaluated through the
comparison with Spectral feature alignment (SFA) by
Pan et al. (Pan et al., 2010) and Joint sentiment-topic
model with polarity-bearing topics (PBT ) by He et al.
(He et al., 2011), which, to the best of our knowledge,
currently are the two best performing approaches.
We used a common benchmark dataset to be able
to compare results, namely, a collection of Amazon
1
reviews about four domains: Book (B), DVD (D),
Electronics (E) and Kitchen appliances (K). Each do-
main contains 1000 positive and 1000 negative re-
views written in English. The text pre-processing
phase described in 3.1 is applied to convert plain text
into the bag-of-words representation. Then, before
the learning phase and the classification phase intro-
duced in 3.2 and 3.3 respectively, we perform feature
selection in accordance with one of the alternatives
presented in 3.1.1. The goodness of results is mea-
sured by accuracy, averaged over 10 different source-
target splits.
Performances with every feature selection method
are shown below and compared with the state of the
art. Differently, the Kitchen domain is excluded from
both graphics and tables due to space reasons. Any-
way, accuracy values are aligned with the others, so
that considerations to be done do not change.
4.1 Setup and Results
The approaches we compare only differ in the applied
feature selection method: document frequency, opin-
ion wordlist and supervised feature selection tech-
nique with term ranking in the Markov chain.
In the first experiment we perform, as shown in
Figure 2, the only parameter to be set is the minimum
document frequency d f that a term must have in order
to be selected, varied from 25 to 100 with step length
1
www.amazon.com
Markov Chain based Method for In-Domain and Cross-Domain Sentiment Classification
133
25 50 75 100
60
65
70
75
80
85
df
Accuracy (%)
B D D B B E
E B D E E D
Average
Figure 2: Cross-domain classification by varying the mini-
mum d f to be used for feature selection.
25. In other words, setting the minimum d f equal to
n means that terms occurring in less than n documents
are ruled out from the analysis. Each line in Figure 2
represents the accuracy trend for a particular source-
target couple, namely, B D, D B, B E, E
B, D E, E D; further, an extra line is visible,
portraying the average trend.
We can see that accuracy decreases on average
when minimum document frequency increases. This
probably is due to the fact that document frequency
is an unsupervised technique; therefore, considering
smaller feature sets (i.e. higher d f values) comes out
not to be effective in classifying target documents.
Unsupervised methods do not guarantee that the se-
lected features help in discriminating among cate-
gories and, as such, a bigger dictionary could support
the learning phase. Further, accuracy is lower any-
time E is considered, because E is a completely dif-
ferent domain with respect to B and D, which instead
have more common words. Therefore, it is increas-
ingly important to select the best possible feature set
in order to help transfer learning.
An alternative to unsupervised methods consists
in choosing the Bing Liu wordlist as dictionary. In
this case, no parameter needs to be tuned but Porter
stemmer has to be applied to the wordlist so that terms
inside documents match those in the wordlist. Com-
paring the performance of our algorithm when using
opinion words as features with that achieved using
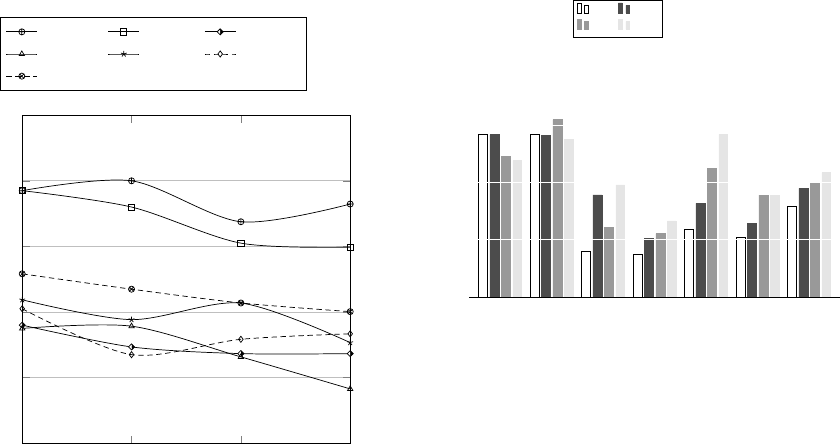
terms having minimum d f = 25 (Figure 3), we may
B D D B B E E B D E E D Average
65
70
75
80
85
79 79
69
69
71
70
73
79
79
74
70
73
71
75
77
81
71
71
76
74
75
77
79
75
72
79
74
76
Accuracy (%)
df 25
OW
IG
χ
2
Figure 3: Cross-domain classification by comparing some
feature selection methods, such as the unsupervised mini-
mum document frequency d f , the opinion wordlist and the
supervised information gain IG and chi-square χ
2
scoring
functions. Minimum d f = 25 is set regarding the unsuper-
vised method. Instead, the best 250 features are selected in
accordance with the supervised scoring functions.
notice that the former outperforms the latter on aver-
age. This outcome suggests that, when features have
a stronger polarity, inferred by the source domain,
transfer learning is eased and our algorithm achieves
better performance.
The Bing Liu wordlist only contains opinion
words, which are general terms having well-known
polarity. Nevertheless, there may be other words, pos-
sibly domain dependent, fostering the classification
process. For this purpose, supervised feature selec-
tion techniques can be exploited to build the dictio-
nary to be used. We would like to remark that, includ-
ing domain dependent terms, the transfer learning ca-
pability of our method is increasingly important to let
information about polarity flow from source domain
to target domain terms.
Below, two tests are presented with reference to
supervised feature selection techniques: in the for-
mer (Figure 4), features are selected by means of chi-
squared (χ
2
), varying the number of selected features
from 250 to 1000 with step length 250; in the latter
(Figure 3), the two supervised feature selection tech-
niques mentioned in 3.1.1 are compared. Figure 4 re-
veals that there are no relevant variations on average
in performance by increasing the number of features
to be selected. On the one hand, this means that 250
words are enough to effectively represent the source-
target couple, reminding that these are the best fea-
tures according to the supervised method used. On the
other hand, this proves that our algorithm produces
stable results by varying the number of features to be
selected.
Figure 3 shows that on average the usage of a su-
pervised feature selection technique is better than se-
KDIR 2015 - 7th International Conference on Knowledge Discovery and Information Retrieval
134
250 500 750 1,000
65
70
75
80
85
Features
Accuracy (%)
B D D B B E
E B D E E D
Average
Figure 4: Cross-domain classification by varying the num-
ber of features to be selected in a supervised way. χ
2
scoring
function is used in order to select features.
lecting just well-known opinion words. This confirms
the ability of our method in performing transfer learn-
ing. Further, the same configuration, where 250 fea-
tures are selected by using χ
2
scoring function, also
achieves better accuracy than using IG to perform the
feature selection process (Figure 3). Summing up, our
Markov chain based method achieves its best perfor-
mance in Amazon datasets by selecting the best 250
features by means of χ
2
scoring function in the text
pre-processing phase.
Table 2 displays a comparison between our new
method, referred as MC, and other works, namely
SFA and PBT . Accuracy values are comparable, de-
spite both SFA and PBT perform better on average.
On the other hand, we would like to put in evidence
that our algorithm only requires 250 features, whereas
PBT needs 2000 features and SFA more than 470000.
Therefore, growing the computational complexity of
the three approaches quadratically with the number
of features, the convergence of our algorithm is sup-
posed to be faster even if this hypothesis cannot be
proved without implementing the other methods.
Finally, in Table 3 we can see that similar consid-
erations can be done in an in-domain setting. Notice
that nothing needs to be changed in our method to
perform in-domain sentiment classification, whereas
other works use standard classifiers completely by-
passing the transfer learning phase.
Table 2: Results in cross-domain sentiment classification,
compared with other works. For each dataset, the best ac-
curacy is in bold.
MC SFA PBT
B D 76.92% 81.50% 81.00%
D B 78.79% 78.00% 79.00%
B E 74.80% 72.50% 78.00%
E B 71.65% 75.00% 73.50%
D E 79.21% 77.00% 79.00%
E D 73.91% 77.50% 76.00%
Average 75.88% 76.92% 77.75%
Table 3: Results in in-domain sentiment classification, com-
pared with other works. For each dataset, the best accuracy
is in bold.
MC SFA PBT
B B 76.77% 81.40% 79.96%
D D 83.50% 82.55% 81.32%
E E 80.90% 84.60% 83.61%
Average 80.39% 82.85% 81.63%
5 CONCLUSIONS
We introduced a novel method for in-domain and
cross-domain sentiment classification relying on
Markov chain theory. We proved that this new tech-
nique not only fulfils the categorisation task, but also
allows transfer learning from source domain to tar-
get domain in cross-domain setting. The algorithm
aims to build a Markov chain transition matrix, where
states represent either terms or classes, whose co-
occurrences in documents, in turn, are employed to
compute state transitions. Then, a single step in the
matrix is performed for the sake of classifying a test
document.
We compared our approach with other two works
and we showed that it achieves comparable perfor-
mance in term of effectiveness. On the other hand,
lower parameter tuning is required than previous
works, since only the pre-processing parameters need
to be calibrated. Finally, in spite of having a compara-
ble computational complexity, growing quadratically
with the number of features, much fewer terms are
demanded to obtain good accuracy.
Possible future works on the one side could aim
to extend its applicability to other text mining tasks,
such as for example text categorisation, and on the
other side could face the problem of improving the
algorithm effectiveness. In fact, our method is abso-
lutely general and could be applied as is to text cat-
egorisation. Moreover, so far we have assessed per-
formance only in 2-classes sentiment classification;
therefore, a 3-classes setting (i.e. adding the neutral
Markov Chain based Method for In-Domain and Cross-Domain Sentiment Classification
135
category) could be tested. Further, since our algo-
rithm only relies on term co-occurrences, its applica-
bility can be easily extended to other languages. In-
stead, to improve the algorithm effectiveness, transfer
learning needs to be strengthened: for this purpose, a
greater number of steps in the Markov chain transition
matrix during the classification phase could help.
REFERENCES
Aue, A. and Gamon, M. (2005). Customizing sentiment
classifiers to new domains: A case study. In Proceed-
ings of recent advances in natural language process-
ing (RANLP), volume 1, pages 2–1.
Blitzer, J., Dredze, M., Pereira, F., et al. (2007). Biogra-
phies, bollywood, boom-boxes and blenders: Domain
adaptation for sentiment classification. In ACL, vol-
ume 7, pages 440–447.
Bollegala, D., Weir, D., and Carroll, J. (2013). Cross-
domain sentiment classification using a sentiment sen-
sitive thesaurus. Knowledge and Data Engineering,
IEEE Transactions on, 25(8):1719–1731.
Cao, G., Nie, J.-Y., and Bai, J. (2007). Using markov chains
to exploit word relationships in information retrieval.
In Large Scale Semantic Access to Content (Text, Im-
age, Video, and Sound), pages 388–402. LE CEN-
TRE DE HAUTES ETUDES INTERNATIONALES
D’INFORMATIQUE DOCUMENTAIRE.
Dai, W., Xue, G.-R., Yang, Q., and Yu, Y. (2007). Co-
clustering based classification for out-of-domain doc-
uments. In Proceedings of the 13th ACM SIGKDD
international conference on Knowledge discovery and
data mining, pages 210–219. ACM.
Dave, K., Lawrence, S., and Pennock, D. M. (2003). Mining
the peanut gallery: Opinion extraction and semantic
classification of product reviews. In Proceedings of
the 12th international conference on World Wide Web,
pages 519–528. ACM.
Deng, Z.-H., Luo, K.-H., and Yu, H.-L. (2014). A study of
supervised term weighting scheme for sentiment anal-
ysis. Expert Systems with Applications, 41(7):3506–
3513.
Domeniconi, G., Masseroli, M., Moro, G., and Pinoli, P.
(2015a). Random perturbations and term weighting of
gene ontology annotations for unknown gene function
discovering. In Fred, A. et al. (eds.) IC3K 2014. CCIS,
volume 553. Springer.
Domeniconi, G., Moro, G., Pasolini, R., and Sartori, C.
(2014). Cross-domain text classification through it-
erative refining of target categories representations. In
Proceedings of the 6th International Conference on
Knowledge Discovery and Information Retrieval.
Domeniconi, G., Moro, G., Pasolini, R., and Sartori, C.
(2015b). Iterative refining of category profiles for
nearest centroid cross-domain text classification. In
Fred, A. et al. (eds.) IC3K 2014. CCIS, volume 553.
Springer.
Domeniconi, G., Moro, G., Pasolini, R., and Sartori, C.
(2015c). A study on term weighting for text catego-
rization: a novel supervised variant of tf.idf. In Pro-
ceedings of the 4th International Conference on Data
Management Technologies and Applications.
Frasconi, P., Soda, G., and Vullo, A. (2002). Hidden
markov models for text categorization in multi-page
documents. Journal of Intelligent Information Sys-
tems, 18(2-3):195–217.
He, Y., Lin, C., and Alani, H. (2011). Automatically ex-
tracting polarity-bearing topics for cross-domain sen-
timent classification. In Proceedings of the 49th An-
nual Meeting of the Association for Computational
Linguistics: Human Language Technologies-Volume
1, pages 123–131. Association for Computational Lin-
guistics.
Jin, W., Ho, H. H., and Srihari, R. K. (2009). Opinionminer:
a novel machine learning system for web opinion min-
ing and extraction. In Proceedings of the 15th ACM
SIGKDD international conference on Knowledge dis-
covery and data mining, pages 1195–1204. ACM.
Jo, Y. and Oh, A. H. (2011). Aspect and sentiment unifica-
tion model for online review analysis. In Proceedings
of the fourth ACM international conference on Web
search and data mining, pages 815–824. ACM.
Li, F. and Dong, T. (2013). Text categorization based on
semantic cluster-hidden markov models. In Advances
in Swarm Intelligence, pages 200–207. Springer.
Li, F., Huang, M., and Zhu, X. (2010). Sentiment analysis
with global topics and local dependency. In AAAI,
volume 10, pages 1371–1376.
Li, L., Jin, X., and Long, M. (2012). Topic correlation anal-
ysis for cross-domain text classification. In AAAI.
Liu, B. (2012). Sentiment analysis and opinion mining.
Synthesis Lectures on Human Language Technologies,
5(1):1–167.
Mei, Q., Ling, X., Wondra, M., Su, H., and Zhai, C. (2007).
Topic sentiment mixture: modeling facets and opin-
ions in weblogs. In Proceedings of the 16th interna-
tional conference on World Wide Web, pages 171–180.
ACM.
Melville, P., Gryc, W., and Lawrence, R. D. (2009). Senti-
ment analysis of blogs by combining lexical knowl-
edge with text classification. In Proceedings of
the 15th ACM SIGKDD international conference on
Knowledge discovery and data mining, pages 1275–
1284. ACM.
Miller, D. R., Leek, T., and Schwartz, R. M. (1999). A hid-
den markov model information retrieval system. In
Proceedings of the 22nd annual international ACM
SIGIR conference on Research and development in in-
formation retrieval, pages 214–221. ACM.
Mittendorf, E. and Sch
¨
auble, P. (1994). Document and pas-
sage retrieval based on hidden markov models. In SI-
GIR94, pages 318–327. Springer.
Nasukawa, T. and Yi, J. (2003). Sentiment analysis: Cap-
turing favorability using natural language processing.
In Proceedings of the 2nd international conference on
Knowledge capture, pages 70–77. ACM.
KDIR 2015 - 7th International Conference on Knowledge Discovery and Information Retrieval
136
Page, L., Brin, S., Motwani, R., and Winograd, T. (1999).
The pagerank citation ranking: bringing order to the
web.
Paltoglou, G. and Thelwall, M. (2010). A study of informa-
tion retrieval weighting schemes for sentiment anal-
ysis. In Proceedings of the 48th Annual Meeting of
the Association for Computational Linguistics, pages
1386–1395. Association for Computational Linguis-
tics.
Pan, S. J., Ni, X., Sun, J.-T., Yang, Q., and Chen, Z.
(2010). Cross-domain sentiment classification via
spectral feature alignment. In Proceedings of the 19th
international conference on World wide web, pages
751–760. ACM.
Pan, S. J. and Yang, Q. (2010). A survey on transfer learn-
ing. Knowledge and Data Engineering, IEEE Trans-
actions on, 22(10):1345–1359.
Pan, Y.-C., Lee, H.-Y., and Lee, L.-S. (2012). Interac-
tive spoken document retrieval with suggested key
terms ranked by a markov decision process. Audio,
Speech, and Language Processing, IEEE Transactions
on, 20(2):632–645.
Porter, M. F. (1980). An algorithm for suffix stripping. Pro-
gram, 14(3):130–137.
Qiu, L. (1993). Markov models of search state patterns in a
hypertext information retrieval system. Journal of the
American Society for Information Science, 44(7):413–
427.
Qiu, L., Zhang, W., Hu, C., and Zhao, K. (2009). Selc:
a self-supervised model for sentiment classification.
In Proceedings of the 18th ACM conference on Infor-
mation and knowledge management, pages 929–936.
ACM.
Sarukkai, R. R. (2000). Link prediction and path analysis
using markov chains. Computer Networks, 33(1):377–
386.
Taboada, M., Brooke, J., Tofiloski, M., Voll, K., and Stede,
M. (2011). Lexicon-based methods for sentiment
analysis. Computational linguistics, 37(2):267–307.
Tan, S., Wang, Y., and Cheng, X. (2008). Combining learn-
based and lexicon-based techniques for sentiment de-
tection without using labeled examples. In Proceed-
ings of the 31st annual international ACM SIGIR con-
ference on Research and development in information
retrieval, pages 743–744. ACM.
Turney, P. D. (2002). Thumbs up or thumbs down?: se-
mantic orientation applied to unsupervised classifica-
tion of reviews. In Proceedings of the 40th annual
meeting on association for computational linguistics,
pages 417–424. Association for Computational Lin-
guistics.
Vieira, A. S., Iglesias, E. L., and Diz, L. B. Study and
application of hidden markov models in scientific text
classification.
Wu, H. and Gu, X. (2014). Reducing over-weighting in su-
pervised term weighting for sentiment analysis. COL-
ING.
Xu, J. and Weischedel, R. (2000). Cross-lingual informa-
tion retrieval using hidden markov models. In Pro-
ceedings of the 2000 Joint SIGDAT conference on Em-
pirical methods in natural language processing and
very large corpora: held in conjunction with the 38th
Annual Meeting of the Association for Computational
Linguistics-Volume 13, pages 95–103. Association for
Computational Linguistics.
Xu, R., Supekar, K., Huang, Y., Das, A., and Garber,
A. (2006). Combining text classification and hidden
markov modeling techniques for structuring random-
ized clinical trial abstracts. In AMIA Annual Sympo-
sium Proceedings, volume 2006, page 824. American
Medical Informatics Association.
Xue, G.-R., Dai, W., Yang, Q., and Yu, Y. (2008). Topic-
bridged plsa for cross-domain text classification. In
Proceedings of the 31st annual international ACM SI-
GIR conference on Research and development in in-
formation retrieval, pages 627–634. ACM.
Yi, K. and Beheshti, J. (2008). A hidden markov model-
based text classification of medical documents. Jour-
nal of Information Science.
Yi, K. and Beheshti, J. (2013). A text categorization model
based on hidden markov models. In Proceedings of
the Annual Conference of CAIS/Actes du congr
`
es an-
nuel de l’ACSI.
Markov Chain based Method for In-Domain and Cross-Domain Sentiment Classification
137