Running Asymmetries during a 5-Km Time Trial and their Changes
over Time
Rahel Ammann
1,2
and Thomas Wyss
1
1
Swiss Federal Institute of Sport Magglingen SFISM, Magglingen, Switzerland
2
Department of Medicine, Movement and Sport Science, University of Fribourg, Fribourg, Switzerland
Keywords: Inertial Measurement Unit, Injury Risk Factor, Temporal Progress of Fatigue, Elite Runners, Field Condition.
Abstract: Gait Asymmetry during Running Was Proven to Be Inefficient, Uneconomical and a Possible Risk Factor for
injury. Research has either been conducted in laboratory settings or only discontinuous data were collected.
Hence, the present study evaluated gait asymmetries in elite runners by quantifying the differences between
ground contact times (GCT) of the right and left foot and their continuous changes over the course of a 5-km
time trial. Data of 25 female and male runners of the Swiss orienteering national team were obtained during
a 5-km competition on a 400-m outdoor track. By means of the inertial sensor PARTwear, GCT of every step
were assessed, divided into GCT of the left and right foot and averaged over 200-m sections. The results
revealed an overall asymmetry of 2.6%, significant (p < 0.01) longer GCT during left than right foot contacts
and no changes in asymmetry over the course. This is the first study presenting data on asymmetries in elite
athletes during a competitive time trial. In conclusion, low and consistent GCT asymmetries were observed.
The examined athletes had a balanced running style and showed no adverse asymmetry with emerging fatigue,
which in turn could affect acute performance and increase injury risk.
1 INTRODUCTION
There is an impressive number of studies conducted
on mechanics in running. Parameters of interest are
among others step length, step frequency, breaking
time, aerial time and ground contact time (Girard et
al., 2013; Murphy et al., 2003; Nummela et al., 2013).
Knowledge on these parameters is relevant for
athletes, coaches and researchers. The athlete and the
coach need objective information to improve running
technique and performance, whereas researchers need
those running parameters to gain new knowledge
about key performance indicators and injury risk
factors. One possible risk factor identified in the
literature is lower limb asymmetry, which has been
proven to impact the incidence of injuries and
possibly affect athletic performance (Croisier et al.,
2002). It is obvious that a certain asymmetry is
normal, as the running style is optimized over the
years of training. Yet, the threshold at which a deficit
becomes problematic is still to be defined. In terms of
limb asymmetry, a threshold of 15% has been stated
for return to sport after rehabilitation programs (Myer
et al., 2006). However, it is unclear how threshold
values were derived and findings from cross-sectional
studies have been inconclusive. Moreover, there is a
lack of evidence when data were obtained at maximal
speeds during middle- to long- distance runs. This
may be important, as with increasing intensity step
variability was shown to increase (Belli et al., 1995).
Additionally, no previous research investigated the
changes over time concerning running asymmetry.
Such information might provide an insight into the
onset and progression of the athlete’s fatigue and
potential adaptations in running style. Asymmetry
might not be evident during the start phase of a race,
but may arise with the development of muscular
fatigue.
It is difficult to determine most relevant
parameters to assess asymmetry. Running depends on
a variety of parameters but at the end it comes all
down to ground contact time (GCT), as it is the only
moment during running to generate propulsive force,
hence, to move on. The ability to produce and
transmit high amounts of muscular force to the
ground over a short period of time is a major
determinant of performance in running (Weyand et
al., 2000). It was reported that shorter GCT is faster
and more energy efficient than longer GCT
(Nummela et al., 2007). The less economical runners
Ammann, R. and Wyss, T..
Running Asymmetries during a 5-Km Time Trial and their Changes over Time.
In Proceedings of the 3rd International Congress on Sport Sciences Research and Technology Support (icSPORTS 2015), pages 161-164
ISBN: 978-989-758-159-5
Copyright
c
2015 by SCITEPRESS Science and Technology Publications, Lda. All rights reserved
161
have lower vertical leg stiffness, which leads to
enhanced braking time, and therefore, longer GCT.
Hence, measuring GCT may be of potential benefit to
investigate the presence of asymmetry and other
alterations as they occur during running. Previous
research showed 3.5% running asymmetries
regarding GCT in Australian Rules football players
while running on treadmill at their individual 80%
VO2max (Brughelli et al., 2010). Similar, Kong and
de Heer (2008) reported an average 3.6% asymmetry
between GCT of both feet in male Kenyan distance
runners. Six gait cycles each, obtained on treadmill at
five submaximal speeds, were analyzed in that study.
So far, the focus in the literature on mechanics in
running lies on constant velocity runs, mainly on
treadmill, or sprint protocols in the laboratory
(Brughelli et al., 2010; Kong and de Heer, 2008; Lee
et al., 2010; Rumpf et al., 2014). However,
technology applied is somewhat limited and restricted
to a specific place, which in turn might affect running
patterns. To seriously work on a specific parameter
and to investigate its variability over different phases
of a distance, the measurement system should be
applicable in field conditions and during entire trials.
By means of portable, light-weighted, and valid
inertial sensors the analysis of stride parameters, such
as GCT, is possible in the field over a whole time trial,
anywhere and anytime. So far, no studies have
evaluated the occurrence and change of asymmetries
in GCT during maximal running performance under
field conditions. Therefore, the aim of the present
study was to examine the asymmetries between GCT
of the right and left foot in elite runners and their
continuous changes over the course of a 5-km time
trial on an outdoor synthetic track.
2 METHODS
2.1 Subjects
A total of 10 female and 15 male (24.5 ±3.4 years,
174.8 ±9.0 cm, 63.0 ±8.1 kg) orienteers, competing at
international level, were recruited to participate in the
study. The local ethics committee approved the study
and all participants provided written informed
consent before testing. A medical questionnaire was
administered to exclude athletes with any known
lower limb injury in the past 6 months.
2.2 Procedure
The measurements took place during a competitive 5-
km running time trial of the Swiss orienteering
national team. The time trial was one part of selection
criterion for the participation in the upcoming world
championships. After an individual warm-up session
the runs were carried out on a 400-m outdoor
synthetic track. The male and female runners started
as a group, respectively, whereby the gender groups
were again split in half to avoid too many runners on
track at the same time. The athletes were free to
choose their own pace in order to realize the shortest
time possible over the 5-km. Additionally to their
own sport watch, split times were provided every
200-m including verbal encouragement. The time
trials were performed in sunny weather with no wind
and air temperature constant at 24 °C.
2.3 Data Collection
Before the start of the testing, each subject received
two PARTwear sensors (HuCE-microLab, University
of Applied Sciences, Biel, Switzerland). The sensors’
validity and reliability in terms of GCT was recently
demonstrated (Ammann et al., under revision). Two
sensors were attached, by means of customized
elastics, to the shoe laces of the left and right foot.
The PARTwear sensor (size: 3.8 x 3.7 x 0.8 cm;
weight: 13 g) consists of a 9-axis MotionTracking
TM
device MPU-9150 (InvenSense, Inc., San Jose, CA,
USA) that combines a 3-axial accelerometer, a 3-axis
gyroscope, and a 3-axis magnetometer.
Accelerometer data was recorded with a full-scale
range of ±16 g and a sampling rate of 1,000 Hz.
Sensor operation and data transmission was
established via Bluetooth and data processing took
place by the proprietary software. In order to assess
split times per 200-m for every athlete, two video
cameras (Handycam HDR-CX700VE, Sony
Corporation, Tokio, Japan) were placed on the track,
one on the 200-m line and one on the finishing line.
2.4 Statistical Analysis
Running velocity and GCT were averaged for each of
the 25 segments of 200-m. Relative asymmetry in
GCT between both feet was computed as in equation
1.
((right GCT– left GCT) / leftGCT 100)
= % (1)
Statistical analyses were performed by using SPSS
Statistics 22 and the level of significance was set at p
0.05. Data were expressed as overall means ±SD
and illustrated by means of boxplots. Asymmetry
between GCT of the left and right foot was calculated
by a paired samples t-test. The effect of running
distance on asymmetry was evaluated by a repeated
icSPORTS 2015 - International Congress on Sport Sciences Research and Technology Support
162
measures ANOVA.
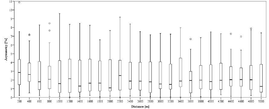
3 RESULTS
Mean 5-km performance time for both gender was 17
min 06 s ±1 min 39 s (ranging from 14 min 43 s to 20
min 21 s), resulting in an average speed of 4.92 ±0.48
m·s
-1
(Table 1). Men were running significantly (p <
0.01) faster than women and had shorter GCT.
Overall, the GCT of the left foot was significantly (p
< 0.01) longer compared to the GCT of the right foot
(194.4 vs 193.0 ms). The observed asymmetries
between GCT of the left and right foot were 2.57
±2.14% without gender differences. The applied
repeated measures ANOVA with a Greenhouse-
Geisser correction revealed no significant changes
over the 25 segments of 200-m (F
4.2, 100.7
= 1.645, p =
.166). Figure 1 illustrates the changes in asymmetries
over time.
4 DISCUSSION
The present study sought to examine gait
asymmetries during running and their changes over a
5-km time trial. Asymmetry was quantified by the
difference between the GCT of the left and right foot.
Overall, asymmetry in all elite orienteers was 2.6%.
This was noticeable lesser when compared to
Brughelli et al. (2010) and Kong and de Heer (2008)
who reported 3.5% and 3.6% asymmetry in GCT,
respectively. However, it is difficult to make direct
comparisons between studies as the applied
methodologies differed. The cited studies obtained
data of male subjects on treadmill at submaximal
speeds. Moreover, subjects were Australian Rules
football players demonstrating a different running
style compared to athletic running specialists
(Brughelli et al., 2010). Or else, data were measured
during six step cycles only, which was reported to be
very little, and therefore, less conclusive (Belli et al.,
1995; Kong and de Heer, 2008). The current 5-km
time trial was executed under field conditions that
automatically lead to greater variability in pacing.
This in turn could impact asymmetry even more.
However, it appeared that the present female and
male elite athletes had smaller asymmetries although
running at maximal velocity over approximately 17
min.
Interestingly, the athletes in the present study kept
gait asymmetries constant over the entire course of 5-
km because no 200-m segment could be detected as
Table 1: Subjects’ performance presented as means ±SD.
Overall Women Men
5-km time
[min:ss]
17:06
±01:39
18:54
±00:56
15:55
**
±00:35
Speed
[m·s
-1
]
4.92
±0.48
4.42
±0.26
5.24
**
±0.26
GCT
[ms]
193.7
±14.3
199.3
±13.9
190.0
**
±13.3
Asymmetry
[%]
2.57
±2.14
2.47
±1.79
2.65
±2.34
**
p
< 0.01 between gender.
being particularly different to the others (Figure 1).
Related literature is lacking, and therefore, in
previous research on sprint running it was
recommended to obtain data of longer distances than
30-m because asymmetries might differ during
different phases or at steady state running (Rumpf et
al., 2014). However, in the current study this
assumption could not be confirmed as no progression
in asymmetries over time was observed. Hence, our
elite athletes were able to consistently deal with the
emerging fatigue and they did not show potential
physical limitations in an uneconomical imbalanced
behavior, which in turn could have increased injury
risk.
Throughout the run, the GCT were significantly
longer during the left than the right foot contacts. One
could assume that the left leg is on the inside lane of
the 400-m synthetic track and that running the curve
would have an impact on GCT asymmetry. This
observation was in line with the study of Kong and de
Heer (2008) who also reported longer GCT with the
left foot. However, as their study was conducted on
treadmill the impact of the curve and inside line of the
track is questionable.
Noteworthy, individual asymmetry is masked
when data is averaged for a whole sample, like in the
present study. Therefore, in high performance
settings data should remain individualized when
assessing athlete’s strengths and weaknesses for
diagnostic and prognostic purposes. Furthermore,
obtaining long-term measurements could be useful, as
classifying one’s deficits after an injury is difficult
when individual baseline data are lacking. Having
long-term data at hand would be useful for athletes,
coaches, and medical staff to e.g., monitor return to
sport after a rehabilitation program. Also, the present
results might be important to bear in mind for young
talents that they should aim for symmetric running
patterns throughout time trials. Recently, due to
maturation substantial greater asymmetries in youths
regarding horizontal and vertical forces were reported
(Rumpf et al., 2014). Hence, it may be meaningful to
youth coaches to compare young talents to elite
Running Asymmetries during a 5-Km Time Trial and their Changes over Time
163
Figure 1: Relative differences in ground contact times between both feet at each 200-m segment during the 5-km time trial.
No significant asymmetry changes over time.
athletes in same settings.
The PARTwear sensor seems to be a device with
high practical application to regularly monitor and
evaluate gait asymmetries in running during entire
training sessions and competitions. The sensor is
light-weighted and does not hamper the athlete when
running. Additionally, data can be evaluated in real
time even for a group of athletes.
5 CONCLUSIONS
The present study showed very low and consistent
GCT asymmetries in elite orienteers over a 5-km
running time trail. The athletess appeared to have the
ability to compensate emerging fatigue in an efficient,
at least not adverse, manner, as no alteration in
asymmetry occurred over time. By means of the used
technology subsequent data will be obtained to
further investigate gait asymmetries in e.g., young
talents, different distances and speeds or inside versus
outside lane of the track.
REFERENCES
Ammann, R., Taube, W., & Wyss, T. (under revision)
Accuracy of PARTwear inertial sensor and Optojump
optical measurement system for measuring ground
contact time during running. J Strength Cond Res.
Belli, A., Lacour, J.R., Komi, P.V., Candau, R., & Denis,
C. (1995) Mechanical step variability during treadmill
running. Eur J Appl Physiol 70: 510-517.
Brughelli, M., Cronin, J., Mendiguchia, J., Kinsella, D., &
Nosaka, K. (2010) Contralateral leg deficits in kinetic
and kinematic variables during running in Australian
Rules football players with previous hamstring injuries.
J Strength Cond Res 24: 2539-2544.
Croisier, J.L., Forthomme, B., Namurois, M.H.,
Vanderthommen, M., & Crielaard, J.M. (2002)
Hamstring muscle strain recurrence and strength
performance disorders. Am J Sports Med 30: 199-203.
Girard, O., Millet, G.P., Slawinski, J., Racinais, S., &
Micallef, J.P. (2013) Changes in running mechanics
and spring-mass behaviour during a 5-km time trial. Int
J Sports Med 34: 832-840.
Kong, P.W., & de Heer, H. (2008) Antropometric, gait and
strength characteristics of Kenyan distance runners. J
Sports Sci Med 7: 499-504.
Lee, J.B., Sutter, K.J., Askew, C.D., & Burkett, B.J. (2010)
Identifying symmetry in running gait using a single
inertial sensor. J Sci Med Sport 13: 559-563.
Myer, G.D., Paterno, M.V., Ford, K.R., Quatman, C.E., &
Hewett, T.E. (2006) Rehabilitation after anterior
cruciate ligament reconstruction: Criteria-based
progression through the return-to-sport phase. J Orthop
Sports Phys Ther 36: 385-402.
Murphy, J.A., Robert, G.L., & Coutts, A.J. (2003)
Kinematic determinants of early acceleration in field
sport athletes. J Sports Sci Med 2: 144-150.
Nummela, A., Keranen, T., & Mikkelsson, L.O. (2007)
Factors related to top running speed and economy. Int J
Sports Med 28: 655-661.
Rumpf, M.C., Cronin, J.B., Mohamad, I.N., Mohamad, S.,
Oliver, J.O., & Hughes, M.G. (2014) Kinetic
asymmetries during running in male youth. Phys Ther
Sport 15: 53-57.
Weyand, P.G., Sternlight, D.B., Bellizzi, M.J., & Wright, S.
(2000) Faster top running speeds are achieved with
greater ground forces not more rapid leg movements. J
Appl Physiol 89: 1991-1999.
icSPORTS 2015 - International Congress on Sport Sciences Research and Technology Support
164