Observational Learning
Self-observation Can Be Detrimental to Learning
Luc Proteau and Mathieu Andrieux
Département de Kinésiologie, Université de Montréal, 2100 Édouard-Montpetit, Montréal, Canada
1 OBJECTIVES
Observation of a model who is performing a motor
skill improves naïve observers’ learning of that skill
(for a recent review see Ste-Marie et al. 2012).
Research has indicated that action observation and
action production share a common neural network,
which is activated when individuals perform a given
motor task and when they observe others performing
that same motor task (Buccino et al. 2001; Cross et
al. 2009). Recent research has shown that optimal
observational learning occurs with the observation
of both novice and expert models rather than either a
novice or an expert model alone (Andrieux and
Proteau, 2013; Rohbanfard and Proteau, 2011). The
aim of the present study was to determine whether
self-observation or a combination of expert and self-
observation would promote learning better than
observation of an expert model and a “generic”
novice model. Such a scenario could be the case
because self-observation would underline errors that
are specific to oneself, whereas the combination of
expert and self-observation would have the
additional benefit of allowing the learner to
determine what to do to improve his or her
performance.
The task that we chose required that the
participants change the relative timing pattern that
naturally emerged from the task constraints to a new
imposed pattern of relative timing. This is similar to
changing one’s tempo when executing a serve in
tennis or a drive in golf.
2 METHODS
One hundred right-handed university undergraduate
students (55 males and 45 females; mean age = 21.2
years; SD = 1.8 years) participated in the
experiment. The participants had no prior experience
with the task. The participants completed and signed
an individual consent form before participation.
The apparatus was similar to that used by
Rohbanfard and Proteau (2011). The task consisted
of successively hitting four barriers of equal size in a
clockwise motion. The distances between each
barrier were 15, 32, 18, and 29 cm. The participants
were required to complete each of the four segments
of the task in an intermediate time (IT) of exactly
300 ms for a total movement time (TMT) of 1200
ms. All of the participants performed four
experimental phases over a period of three
consecutive days.
On day 1 and before the first experimental phase,
all of the participants received verbal instructions
regarding the TMT and IT goals. The first
experimental phase was a preparatory phase, in
which the participants performed 40 trials with
knowledge of the results (KR) of their TMT but not
their ITs. The participants were filmed during this
first experimental phase. At the end of day 1, the
participants were randomly assigned to one of five
groups: control (C), physical practice (PP), expert
and “generic” novice observation (EGO), expert and
self-observation (ESO), and self-observation (SO).
Day 2 began with a pre-test in which all of the
participants performed 20 trials without knowledge
of the results (KR) of their TMT and ITs. The pre-
test was followed by an acquisition phase. In this
phase, the participants in the PP group physically
practiced the experimental task for 40 trials. The
participants in the EGO group individually watched
a video presentation of two models (an expert and a
“generic” novice model) performing 20 trials each.
The films recorded in the preparatory phase were
edited and used in the acquisition phase of the study
for the ESO and SO groups. The ESO group
observed 20 trials performed by an expert model and
20 randomly chosen trials of their own performance
filmed during the preparatory phase (EGO). For both
the EGO and ESO groups, the model was alternated
every 5 trials (i.e., expert model 1: trials 1–5 and
generic novice or oneself: trials 6–10 and so on).
The participants in the SO group observed the 40
trials of their own performance that were filmed
during the preparatory phase. For the PP, EGO, ESO
Proteau, L. and Andrieux, M..
Observational Learning - Self-observation Can Be Detrimental to Learning.
Copyright
c
2015 by SCITEPRESS Science and Technology Publications, Lda. All rights reserved
and SO groups, KR of both the TMT and ITs was
provided in ms after each of the physically
performed (PP group) or observed (EGO, ESO, and
SO groups) trials. The participants in the control
group did not take part in the observation or physical
practice protocol but rather read a provided
magazine for the same duration as the observation
phase for the other groups. All of the participants
completed the third and fourth experimental phases:
10-min and 24-hour retention phases that were
similar in all points to the pre-test. The retention
tests were performed on day 2 and day 3.
For each trial, we computed a root mean square
error (RMSE) of relative timing, which indicates in a
single score how much each participant deviated
from the prescribed relative timing pattern. For each
trial,
RMSE =
Segment 4
Segment1
ITi-target
²
4
(1)
where ITi represents the intermediate time for
segment “i”, and the target represents the goal
movement time for each segment of the task (i.e.,
300 ms).
A preliminary analysis of the individual data
revealed two patterns of results depending on the
initial level of performance of the participants in the
pre-test. To better understand how the initial level of
performance influenced the learning of the new
relative timing pattern, we rank ordered the
participants as a function of their initial performance
and made two subgroups that included the 40
participants that had a “better” initial performance
and the 40 participants that had a “poorer” initial
performance. The data of each subgroup were
individually subjected to an ANOVA comparing
five groups (PP, EGO, ESO, SO and C) × three
phases (pretest, 10-min retention, and 24-hour
retention) × four blocks of trials (1-5, 6-10, 11-15,
and 16-20), with repeated measures for the last two
factors.
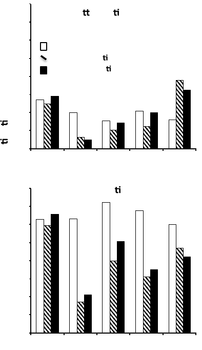
3 RESULTS
For the participants who had a “better” initial
performance, (Figure 1, top panel) the ANOVA
revealed a significant group × phase interaction (F
[8, 70] = 4.06, p = 0.001). The breakdown of this
interaction did not reveal any difference in RMSE
proceeding from the pre-test to both the 10-min and
the 24-hour retention tests for the C, EGO, and ESO
groups (F [2, 34] = 0.38, 1.20, and 1.10, p > 0.25,
respectively). However, although we noted a
significant decrease in RMSE for the PP group
proceeding from the pre-test to either retention tests
(F [2, 34] = 5.27, p = 0.01), we noted a significant
increase in RMSE for the SO group (F [2, 34] =
6.12, p = 0.005). For the participants who had a
“poorer” initial performance (Figure 1, bottom
panel), the ANOVA revealed a significant group ×
phase interaction (F [8, 70] = 4.67, p < 0.001). The
breakdown of this interaction did not reveal any
difference in RMSE proceeding from the pre-test to
both the 10-min and the 24-hour retention tests for
the C group (F [2, 34] < 1). However, for the EGO,
ESO, SO and PP groups, there was a significant
decrease in RMSE proceeding from the pre-test to
either retention tests (F [2, 34] = 8.71, 4.67, 24.16,
and 3.62, p < 0.05, respectively).
4 DISCUSSION
The live or video observation (Rohbanfard and
Proteau, 2012) of a model practicing a motor skill
favors the learning of that skill by the observers.
One goal of our laboratory is to determine the
conditions of observation that would optimize
learning.
The results of the present study confirm previous
findings indicating that one can learn a new relative
timing pattern through observation (Andrieux and
Proteau, 2013; Rohbanfard and Proteau, 2011).
However, although physical practice resulted in a
significant reduction in the RMSE of relative timing
regardless of the initial level of performance, this
was not the case for the observation groups. In this
regard, our results indicate that if physical practice is
not possible (e.g., because of lack of material or
injury) or not advisable (e.g., when there is an
element of danger), observation is a powerful
learning tool with novices whose performance
largely departs from the desired relative timing
pattern. Our results also suggest that mixed
observation of either oneself or a generic novice
model combined with that of an expert model
provides better learning than self-observation. We
suggest that the comparison of expert and novice
performance in a mixed observation protocol helps
the observer to both detect his or her errors and to
develop a good representation of what to do.
Figure 1: The root mean square error of relative timing as
a function of the initial performance, the experimental
phases and the experimental groups.
However, when a novice’s initial performance is
relatively good, our results indicate that self-
observation could be detrimental to learning a new
relative timing pattern. We suggest that this could be
the case because self-observation (a) does not
underline the technical aspect on which to focus
and/or (b) encourages the learner to try to correct
errors that are beyond his or her actual level of
performance (or to perform maladaptive corrections,
as previously termed by Schmidt and Bjork [1992]).
A mixed observation protocol apparently alleviates
these problems, which should encourage the
practitioner to use an EGO or an ESO protocol
rather than only self-observation.
In conclusion, observation is a powerful learning
tool that is available to anyone with a minimal
equipment requirement. Self-observation does not
appear to be optimal for the learning of new relative
timing patterns and could even be detrimental in
some cases. Therefore, it appears that a mixed
protocol of observation, which allows one to
compare and contrast the performance of a novice to
that of an expert, should be favored.
ACKNOWLEDGEMENTS
This research was supported by a Discovery Grant
provided by the Natural Sciences and Engineering
Research Council of Canada.
REFERENCES
Andrieux, M., Proteau, L., 2013. Observation learning of a
motor task: who and when? Experimental Brain
Research, vol. 229, pp. 125-137.
Buccino, G., Binkofski, F., Fink, G.R., et al., 2001. Action
observation activates premotor and parietal areas in a
somatotopic manner: an fMRI study. European
Journal of Neuroscience, vol. 13, pp. 400-404.
Cross, E.S., Kraemer, D.J.M., Hamilton, A.F.D., Kelley,
W.M., Grafton, S.T., 2009. Sensitivity of the action
observation network to physical and observational
learning. Cerebral Cortex, vol. 19, pp. 315-326.
Rohbanfard, H., Proteau, L., 2011. Learning through
observation: a combination of expert and novice
models favors learning. Experimental Brain Research,
vol. 215, pp. 183-197.
Rohbanfard, H., Proteau, L., 2012. Live vs. video
presentation techniques in the observational learning
of motor skills. Trends in Neuroscience and
Education, vol. 2, pp. 27-32.
Schmidt, R.A., Bjork, R.A., 1992. New conceptualizations
of practice: common principle in three paradigms
suggest new concepts for training. Psychological
Science, vol. 3, pp. 207-217.
Ste-Marie, D.M., Law, B., Rymal, A.M., Jenny, O., Hall,
C., McCullagh, P., 2012. Observation interventions
for motor skill learning and performance: an applied
model for the use of observation. International
Review of Sport and Exercise Psychology, vol. 5, pp.
145-176.
40#
50#
60#
70#
80#
90#
100#
110#
12
0
#
Pre$test'
10$min'
24$hour'
40#
50#
60#
70#
80#
90#
100#
110#
12
0
#
CTRL# PP# ESO# EGO# SO#
Pre$test'
10$min'
24$hour'
Pre-test
10-min
reten on
24-hour
reten on
Root
mean
square
error
of
rela ve
ming
(m s)
Experimental
groups
Be er
ini al
performance
Poorer
ini al
performance