
transactions (Preis et al., 2010).
Technology always had a strong impact on finan-
cial markets and it has favored the emergence of Bit-
coin, a digital currency created in 2008 by Satoshi
Nakamoto (Nakamoto, 2008). It has been created
for the purpose to replace cash, credit cards and
bank wire transactions. It is based on advancements
in peer-to-peer networks (Ron and Shamir, 2013)
and cryptographic protocols for security. Due to its
properties, Bitcoin is completely decentralized and
not managed by any governments or bank, ensur-
ing anonymity. It is based on a distributed register
known as ”block-chain” to save transactions carried
out by users. Like any other currency, a peculiar-
ity of Bitcoin is to facilitate transactions of services
and goods with vendors that accept Bitcoins as pay-
ment(Grinberg, 2012), attracting a large number of
users and a lot of media attention.
The Bitcoin represents an important new phe-
nomenon in financial markets. Mai et al. examine
predictive relationships between social media and Bit-
coin returns by considering the relative effect of dif-
ferent social media platforms (Internet forum vs. mi-
croblogging) and the dynamics of the resulting rela-
tionships using auto-regressive vector and error cor-
rection vector models (Mai et al., 2015).
Matta et al. examined the striking similarity be-
tween Bitcoin price and the number of queries regard-
ing Bitcoin recovered on Google search engine (Matta
et al., 2015). In their work, Garcia et al. (Garcia et al.,
2014) proved the interdependence between social sig-
nals and price in the Bitcoin economy, namely a social
feedback cycle based on word-of-mouth effect and a
user-driven adoption cycle. They provided evidence
that Bitcoins growing popularity causes an increasing
search volumes, which in turn result a higher social
media activity about Bitcoin. A growing interest in-
spires the purchase of Bitcoins by users, driving the
prices up, which eventually feeds back on the search
volumes.
There are several works that present predictive
relationships between social media and bitcoin vol-
ume
1
where the relative effects of different social me-
dia platforms (Internet forum vs. microblogging) and
the dynamics of the resulting relationships, are ana-
lyzed using cross-correlation (Constantinides et al.,
2009) or linear regression analysis (Bollen et al.,
2011) (Mittal and Goel, 2012). Social factors, that
are composed of interactions among market actors,
may strongly drive the dynamics of Bitcoin’s econ-
omy (Garcia et al., 2014).
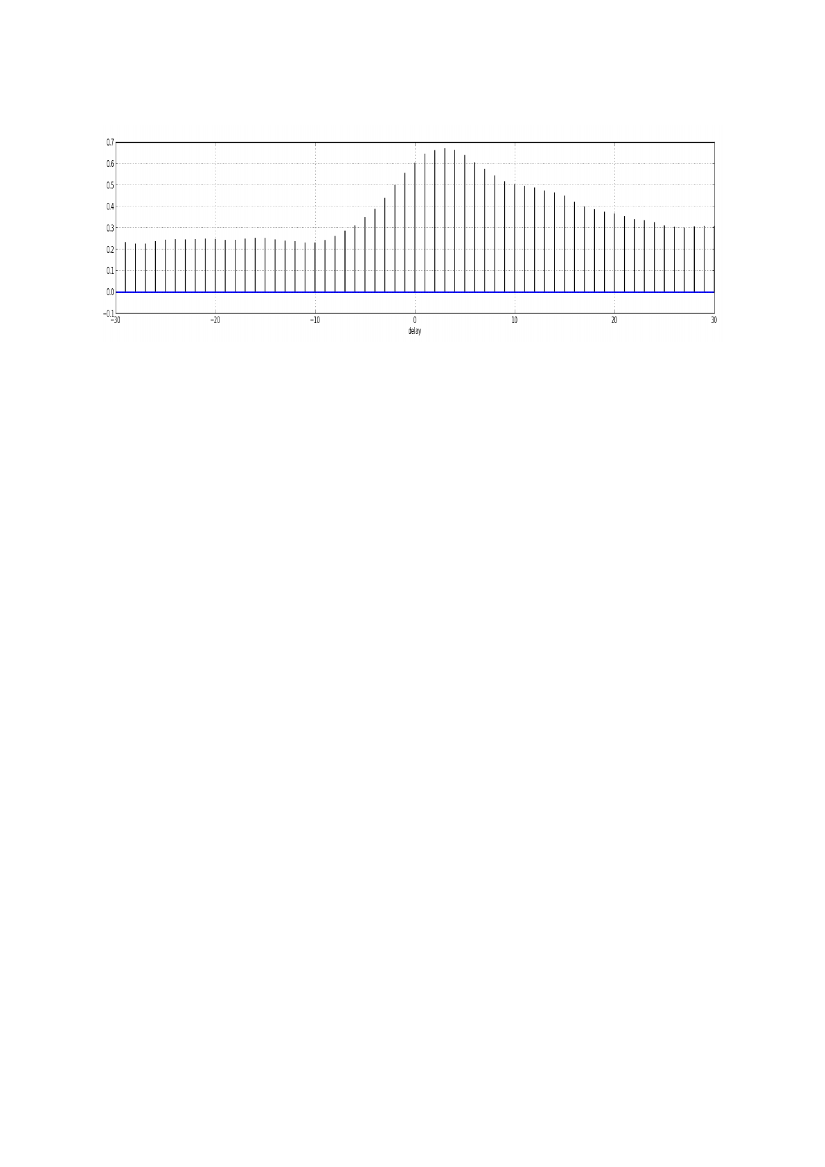
In this work we study the relationship that exists
between trading volumes of Bitcoin currency and the
1
https://markets.blockchain.info/
queries volumes of search engine. The frequency of
searches of terms about Bitcoin could be a good ex-
planatory power, so we decided to examine Google,
one of the most important search engine. We studied
whether web search media activity could be helpful
and used by investment professionals, analyzing the
search volumes power of anticipate trading volumes
of the Bitcoin currency.
We compared USD trade volumes about Bitcoin
with those in a media, namely, Google Trends. This
is a feature of Google search engine that illustrates
how frequently a fixed search term was looked for.
Following this kind of approach, we evaluated how
much bitcoin term, for the specific time interval, is
looked for using Google’s search engine.
The body of this paper is organized in five major
sections. Section 2, describes the research steps of
our study, section 3 summarizes and discusses our re-
sults and, finally, section 4 presents conclusions and
suggestions for future works.
2 METHODOLOGY
2.1 Google Trends
Google Trends
2
is a feature of Google Search engine
that illustrates how frequently a fixed term is looked
for. Through this, you can compare up to five topics
at one time to view their relative popularity, allow-
ing you to gain an understanding of the hottest search
trends of the moment, along with those developing in
popularity over time. The system provides a time se-
ries index of the volume of queries inserted by users
into Google.
Query index is based on the number of web
searches performed with a specific term compared to
the total amount of searches done over time. Abso-
lute search volumes are not illustrated, because the
data are normalized on a scale from 0 to 100.
Google classifies search queries into 27 categories
at the top level and 241 categories at the second level
through an automatic classification engine. Indeed,
queries are given out to fixed categories due to natural
language processing methods.
The query index data are available as a CSV file in
order to facilitate research purposes. Figure 1 depicts
an example from Google Trends for the query “Bit-
coin”. We downloaded data about how much the term
“Bitcoin” was referred to last year.
2
http://trends.google.com
The Predictor Impact of Web Search Media on Bitcoin Trading Volumes
621