Using the Cluster-based Tree Structure of k-Nearest Neighbor to Reduce
the Effort Required to Classify Unlabeled Large Datasets
Elias de Oliveira
1
, Howard Roatti
1
, Matheus de Araujo Nogueira
3
, Henrique Gomes Basoni
1
and Patrick Marques Ciarelli
2
1
Programa de P´os-Graduac¸ ˜ao em Inform´atica, Universidade Federal do Esp´ırito Santo,
Av. Fernando Ferrari, 514, Goiabeiras Vit´oria, ES 29075-910, Brazil
2
Programa de P´os-Graduac¸˜ao em Engenharia El´etrica, Universidade Federal do Esp´ırito Santo,
Av. Fernando Ferrari, 514, Goiabeiras Vit´oria, ES 29075-910, Brazil
3
Fundac¸˜ao de Assistˆencia e Educac¸˜ao FAESA, Av. Vit´oria, 2.220 - Monte Belo, 29053-360 Vit´oria, ES, Brazil
Keywords:
Text Classification, Social Network, Textmining.
Abstract:
The usual practice in the classification problem is to create a set of labeled data for training and then use it to
tune a classifier for predicting the classes of the remaining items in the dataset. However, labeled data demand
great human effort, and classification by specialists is normally expensive and consumes a large amount of
time. In this paper, we discuss how we can benefit from a cluster-based tree kNN structure to quickly build
a training dataset from scratch. We evaluated the proposed method on some classification datasets, and the
results are promising because we reduced the amount of labeling work by the specialists to 4% of the number
of documents in the evaluated datasets. Furthermore, we achieved an average accuracy of 72.19% on tested
datasets, versus 77.12% when using 90% of the dataset for training.
1 INTRODUCTION
The problem of data classification is pervasive, and
its importance increases in many ways as the amount
of available data abounds. For instance, the volume
of publicly available video, audio and text, as some
simple forms of data, is steadily growing in many free
reservoirs.
The common way of dealing with the data orga-
nization problem is to have a set of labeled data for
training and then to use this portion of data to pre-
dict the classes for the remaining items of the data
set (Baeza-Yates and Ribeiro-Neto, 2011). However,
the creation of this labeled subset of data is costly
and time-consuming (Cai et al., 2013). In some real-
world situations, data arrive on a streaming basis, and
experts are asked to organize it on the fly for their
current needs and interests. Therefore, a tool to help
them semantically group the data according to their
organization design while simultaneously minimizing
their effort in carrying out this task is needed (Saito
et al., 2014; Costa et al., 2013; Cai et al., 2013; Hoi
et al., 2009).
This problem is frequent in areas such as social
media (Lo et al., 2015), librarianship (Li et al., 2007),
document organization (Malo et al., 2011), and eco-
nomic activity classification (Ciarelli et al., 2009). In
particular, social media have recently presented us
with many users’ information worthwhile for market
analysis, event planning, and product monitoring. For
instance, Twitter is one of the most popular social net-
works (Portal, 2015). To capture data from Twitter,
the most common approach is to collect a number of
tweets from Twitter’s Application Programming In-
terface (API) based on some given keywords or previ-
ously known hashtags (Bruns and Liang, 2012; Gun-
decha and Liu, 2012). We chose the hashtags, or key-
words, that encompass the subjects in which we are
interested in studying. Nevertheless, using only these
tools to find and understand the messages conveyed
by the goal masses is not sufficient due to hashtag hi-
jacking actions (Hadgu et al., 2013), the variety of
viewpoints within a community, and other problems.
Hence, conventional subject text classification plays
an important role in organizing this type of short doc-
ument. In fact, the huge number of small documents
to be organized into subjects challenges the resources
and techniques that have previously been used (Se-
bastiani, 2002; Berry, 2003).
In the case of one who is listening to what people
Oliveira, E., Roatti, H., Nogueira, M., Basoni, H. and Ciarelli, P..
Using the Cluster-based Tree Structure of k-Nearest Neighbor to Reduce the Effort Required to Classify Unlabeled Large Datasets.
In Proceedings of the 7th International Joint Conference on Knowledge Discovery, Knowledge Engineering and Knowledge Management (IC3K 2015) - Volume 1: KDIR, pages 567-576
ISBN: 978-989-758-158-8
Copyright
c
2015 by SCITEPRESS Science and Technology Publications, Lda. All rights reserved
567
are saying through a social network channel, the anal-
ysis starts just after totally or partially collecting the
data (Oliveira et al., 2014). This is the point at which
the experts start to design the classes of messages that
they want to study and the messages that will be left
out because they are irrelevant to intended audience.
In this paper, we discuss an approach for the situ-
ation in which we do not have a training dataset from
the start. This is a common situation when addressing
social media streaming data but is not exclusiveto that
scenario. To prepare the data for the supervised classi-
fication procedure, our approach first creates a hierar-
chy structure from a cluster-based sequence by asking
the expert to label some documents in each formed
cluster.
The strategy applied here is similar but superior
to that proposed by Oliveira et al. (2014). Here,
we direct the formation of each cluster to conform
to the structure of the tree proposed by Zhang and
Srihari (2004). As a consequence, a) we are able
to build a very small training dataset from scratch,
which is less than 4% on average of the total datasets;
b) we can achieve an average level of accuracy bet-
ter than 71.65%, versus 77.12%, when using 90% of
the dataset for training; and c) with our approach, the
testing time decreases by an average order of 10.
This work is organized as follows. We present the
general problem and its context in Section 2. In Sec-
tion 3, some related works are briefly reviewed. In-
spired by the work presented by Zhang and Srihari
(2004), in Section 4, we describe the structure used
for building our training dataset to save user work-
load and improve the overall quality of classification
metrics. In Section 5, we describe the methods and
results of the experiments. Conclusions are presented
in Section 7.
2 THE PROBLEM DESCRIPTION
The number of tweets, instant messages, photos,
videos and other forms of communication that are
transmitted in social media is large. The volume of
data to be processed by analysts of information is thus
a great challenge (Bastos et al., 2015).
In events such as those in which a multitude of
people are constantly expressing their opinions, in-
tentions and dislikes (Wolfsfeld et al., 2013; Bastos
et al., 2012), analysts have difficulty in organizing
all of the conveyed information into themes of in-
terest. Oliveira et al. (2014) reported on a typical
analysis performed on the Brazilian national discus-
sion regarding the Marco Civil on the Internet. The
dataset was formed from the exchange of ordinary
people’s messages through Twitter channels tagged
by the hashtag
#MarcoCivil
and
@MarcoCivil
. The
data were collected in the period from August 2012
to December 2013. In addition to hashtags, the au-
thors sought the twitter data stream using the keyword
"marco civil"
and any hashtag that contained the
sub-string
marcocivil
to create a dataset with 2080
tweets that we henceforth call MarcoCivil.
Similarly, in many other disputes of interest, peo-
ple have several opinions about a particular theme.
Therefore, to better address the social problem, the
government and politicians must understand each
class of demands to determine the social consensus.
We claim that the first step is to organize the opinions
into classes such that each class can be addressed ac-
cordingly based on their needs and possibilities.
This problem is not at all simple, because each
group of analysts can have their own objectives and
perspectives and can thus label the same opinions
within a dataset differently. We argue that although
one can use predefined classes to classify tweets (Sri-
ram et al., 2010), such strategies are not always ac-
curate with regard to the user’s needs. Moreover,
the great volume of data to be processed demands
improvements in conventional methods for machine
learning techniques so that they should incrementally
adjust themselves according to users’ needs.
In this work, we propose the use of a methodology
that reduces human effort and optimizes the computa-
tional cost of an automatic classification system when
performing data organization in groups.
3 RELATED WORKS
Currently, the large amount of data to be analyzed,
categorized and organized makes it increasingly un-
feasible to use manual procedures to process it with
sufficient speed. To overcome this problem, an in-
creasingly common approach is to use supervised ma-
chine learning techniques to assist humans in process-
ing large datasets. A significant advantage of this ap-
proach is that a task can be completed quickly, contin-
uously and uninterruptedly. The literature has shown
that this approach is effectivein many areas (Lin et al.,
2012; Cruz and Wishart, 2007; Blanzieri and Bryl,
2008).
However, supervised machine learning techniques
achieve relevant results only when they are trained
with datasets that were properly labeled by experts.
The great problem is that labeled datasets are not al-
ways available, or that the amount of labeled data may
be quite limited. Moreover, in many situations, it is
not easy to obtain labeled data because the task of cat-
SSTM 2015 - Special Session on Text Mining
568
egorizing data is expensive, is time consuming, must
be performed by experts, and involves subjectivity
(people may place the same sample in different cat-
egories). Further, some experts do not collaborate be-
cause they are afraid of being replaced by machines.
Some attempts to facilitate the task of labeling
large datasets have been proposed in the literature.
One of the methods explored by some researchers
(Vens et al., 2013; Duarte et al., 2013; Zeng et al.,
2003) is based on clustering, which is anunsupervised
method in which the experts label only a small dataset
(usually selected by algorithms). Using these data, the
method labels the remaining unseen data based on the
groups created by the previous clustering procedure.
Among the supervised approaches, the kNN al-
gorithm (Cover and Hart, 1968) has been extensively
used as a powerful non-parametric technique for pat-
tern recognition. The easy implementation and the
relevant results of kNN have encouraged many re-
searchers to use it as one of the first algorithms to
treat a classification task. Moreover, the fact that it
has only one parameter to be adjusted makes it easy
to fine-tune to a variety of situations. However, it re-
quires intensive dissimilarity computations and mem-
ory usage, mainly for large training sets. In many ap-
plications, the computational cost of finding the near-
est neighbors imposes practical limits on the training
set size and the acceptable time to return an output.
Therefore, speeding up the kNN search is an essential
step to make kNN more useful in the classification of
huge datasets.
Algorithms for speeding up the kNN search em-
ploy one or more criteria to avoid using all of the sam-
ples in an available training set when trying to find
probable labels of a new unclassified pattern. These
algorithms can fall into one of two categories (Zhang
and Srihari, 2004): template condensation and tem-
plate reorganization. Template condensation removes
redundant patterns, such that the training set size is re-
duced and the search is made faster (Angiulli, 2007,
2005). The second category includes those that re-
organize good patterns for a training set such that
the kNN search can be more efficient (Kim and Park,
1986). A third category is a hybrid of template con-
densation and template reorganization (Brown,1995).
In this work, we use an algorithm of template re-
organization proposed by Zhang and Srihari (2004)
because this type of algorithm is more efficient than
template condensation algorithms are.
To sum up, we propose an approach with two steps
to perform the categorization of some large datasets.
In the first step, a procedure is used to cluster the
datasets, and some specific samples are selected to
be categorized by experts. This procedure automat-
ically labels the samples in the most trivial cases of
clustering. Nevertheless, it is possible that not all of
the samples will be labeled at this stage. Then, the
next step is conducted, in which the data labeled in
the previous step are used to train a kNN algorithm,
such that it can be employed to classify the remaining
data.
In the next section, we show some of the results
of our strategy applied over some well-known litera-
ture datasets. We discuss the results with and with-
out the use of the clustering phase, and later with the
clustering phase as a process to form a training set
for the following classification phase using the con-
ventional kNN and cluster-based tree kNN (kNN++)
algorithms.
4 THE ALGORITHM
Unlike Zhang and Srihari (2004), we address the
problem of text classification from the point at which
we do not yet have a labeled dataset. Therefore,
we preprocess our entire dataset to form this training
data. Only then do we follow the idea proposed by
Zhang and Srihari (2004).
4.1 Building the Training Dataset
Initially, we consider D to be the whole dataset of
|D| documents. The first step is to cluster the whole
dataset into = {S
1
,S
2
,...,S
p
}, S
i
D, where i =
1,2,... , p. We start this process either by fixing the
number p of clusters to be formed or by arbitrarily
choosing a value for ρ, which is the average internal
similarities of documents within each cluster. Note
that every document d
i
S
l
is preprocessed and rep-
resented by a vector space of features.
Hence, each d
i
is a vector such that d
i
=
(x
1
,x
2
,x
3
,...,x
|d
i
|
) is composed of a set of |d
i
| terms
and the variable x
q
0 (q = 1,2,3, .. .,|d
i
|) repre-
sents the weight of the term t
q
in the vector d
i
. For
the Marco Civil dataset, (described ahead in Section
5) these variables were formed by the product of term
frequency and inverse document frequency (Baeza-
Yates and Ribeiro-Neto, 2011). The other datasets are
already represented in vector space model.
At this point, each S
l
= {. .. ,d
i
,..., d
|S
l
|
} is a sub-
set of the samples contained in the dataset. Subse-
quently, we sort the members of each S set such that
{d
1
,d
2
,..., d
t2
,d
t1
,d
t
= d
|S
l
|
} are in increasing or-
der of dissimilarities. Then, we start a process in
which experts are asked to assign labels to some items
of each S
l
D until they feel satisfied with the ho-
mogeneous characteristics within each of the clusters.
Using the Cluster-based Tree Structure of k-Nearest Neighbor to Reduce the Effort Required to Classify Unlabeled Large Datasets
569
A dissimilarity measure d(.,.) is used to choose the
most dissimilar member of each S
l
D cluster. In
this paper, we use the cosine measure for the experi-
ments.
When the experts assign the same label to both of
the most dissimilar members of a cluster d
1
and d
t
,
for instance, we assume that the whole cluster is sim-
ilarly labeled with the previously given label. This
is called labeling by level 0 of the decision (LD
0
).
Even when given the same label for both of the far-
thest documents, we may further ask the experts to
check whether d
t1
still receives the same label. This
is called labeling by level 1 of the decision (LD
1
).
This is a narrower level of decision than the previous
one. Similarly, if the pair of labels given at this level
are the same, we assume that the whole cluster must
be labeled with the previously given labels.
Whenever the most dissimilar members of a clus-
ter S
l
are not assigned the same label by the ex-
perts, we conclude that the documents grouped into
this cluster must be left out of the training set. This
decision can be made at any level of LD
i
, where
i = 1,2,. .. ,|S
l
|. The pseudo algorithm is illustrated
by the Algorithm 1.
Algorithm 1: The training dataset building algorithm.
1: procedure CLUSTER(D) = {S
1
,S
2
,..., S
p
}
2: Sort each S
l
D
3: result: S
l
= {d
1
,d
2
,..., d
t1
,d
t
}
4: for l 1
To
p do
5:
Ask the experts to assign
6:
labels for
d
1
,d
t
S
l
7: if
labels are identical
then
8:
set
d
i
S
l
the same label
9: else
10:
set
= \S
l
11: end if
12: end for
13: end procedure
At the end of this process, we will have m = ||
documents, which will be used as templates for the
bottom level B of the cluster-based tree structure pro-
posed by Zhang and Srihari (2004) (see Section 4.2).
4.2 Cluster-based Tree Generation
The cluster-based tree kNN proposed by Zhang
and Srihari (2004) is based on hierarchical class-
conditional clustering over || samples. In this work,
we build the bottom level B by using the samples la-
beled in the previous section. Another level, called
hyperlevel H , is generated by pulling up one of the
most dissimilar members, d
1
, for instance, of each
S
l
at the end of the procedure described in Sec-
tion 4.1. These members are removed from the bot-
tom level B.
Thus, the properties of each sample d are com-
puted: a) γ(d), the dissimilarity between d and its
nearest neighbor with a different class label; b) ψ(d),
a set of all neighbors that have the same class label as
d and are less than γ(d) away from d; and c) (d), the
size of the set ψ(d).
Therefore, our cluster tree is built as follows
(Zhang and Srihari, 2004):
Step 1. Initialize the bottom level of the cluster tree
with all template documents that are labeled
during the process described in Section 4.1.
These templates constitute a single level B;
Step 2. S
l
, extract one of the most dissimilar
samples, for instance d
1
, and compute the lo-
cal properties of each sample d
1
= d: γ(d),
ψ(d) and (d). Then, rank all clusters S
l
in
descending order of (.);
Step 3. Take the sample d
1
with the biggest (.) as
a hypernode, and let all samples of ψ(d
1
) be
nodes at the bottom level of the tree, B. Then,
remove d
1
and all samples in ψ(d
1
) from the
original dataset, and set up a link between d
1
and each pattern of ψ(d
1
) in B;
Step 4. Repeat Step 2 and Step 3 until the set be-
comes empty. At this point, the cluster tree is
configured with a hyperlevel, H , and a bot-
tom level, B;
Step 5. Select a threshold η and cluster all templates
in H so that the radius of each cluster is less
than or equal to η. All cluster centers form
another level of the cluster tree, P ;
Step 6. Increase the threshold η and repeat Step 5 for
all nodes at the level P until a single node is
left in the resulting level.
At the level of hyperlevel H , all samples that are
connected belong to the same class. The levels above
are based on nearness among a set of nodes such that
samples of different classes can be grouped. The η
value is critical for generating a cluster tree; more-
over, its value must be increased as a function of the
number of iterations in Step 5. A simple solution
proposed by Zhang and Srihari (2004) is to compute
η(i) = µ
i
α
σ
i
1+i
, where α is a constant and µ
i
and σ
i
are the mean and standard deviation of the dissimilar-
ities between the nodes at iteration i, respectively.
In the next section, we show how to use this tree
to classify an unseen document into its most probable
class.
SSTM 2015 - Special Session on Text Mining
570
4.3 The Classification Test
After building the cluster tree, the next procedure is
to classify an unseen sample x. This procedure is per-
formed as follows (Zhang and Srihari, 2004):
Step 1. First, we compute the dissimilarity between x
and each node at the top level of the cluster
tree and choose the ς nearest nodes as a node
set L
x
;
Step 2. Compute the dissimilarity between x and
each subnode linked to the nodes in L
x
, and
again choose the ς nearest nodes, which are
used to update the node set L
x
;
Step 3. Repeat Step 2 until reaching the hyperlevel
in the tree. When the searching stops at the
hyperlevel, L
x
consists of ς hypernodes;
Step 4. Search L
x
for the hypernode: L
h
=
{Y|d(y,x) γ(d),y L
x
}. If all nodes in L
h
have the same class label, then this class is as-
sociated with x and the classification process
stops; otherwise, go to Step 5;
Step 5. Compute the dissimilarity between x and ev-
ery subnode linked to the nodes in L
x
, and
choose the k nearest samples. Then, take a
majority voting among the k nearest samples
to determine the class label for x.
At the level of hyperlevel,the class of a given sam-
ple x is decided only if all clusters (the elements in L
h
)
into which x falls have the same class level. The larger
the value of ς is, the higher the accuracy of recogni-
tion will be; however, the computational cost is also
higher.
5 EXPERIMENTS AND RESULTS
Our proposed method was evaluated using Iris and
TAE, which are available and described in detail at the
UCI Machine Learning Repository (Newman et al.,
1998)
1
; Reuters8, Reuters52, and WEBKB-4 avail-
able from Cardoso-Cachopo (2007); and the Marco
Civil dataset collected from Twitter, which was kindly
shared with us by its owners (Oliveira et al., 2014).
This latter dataset was classified using two distinct
groups of classes, so it was analyzed as two datasets:
Marco Civil I (MC-I) and Marco Civil II (MC-II).
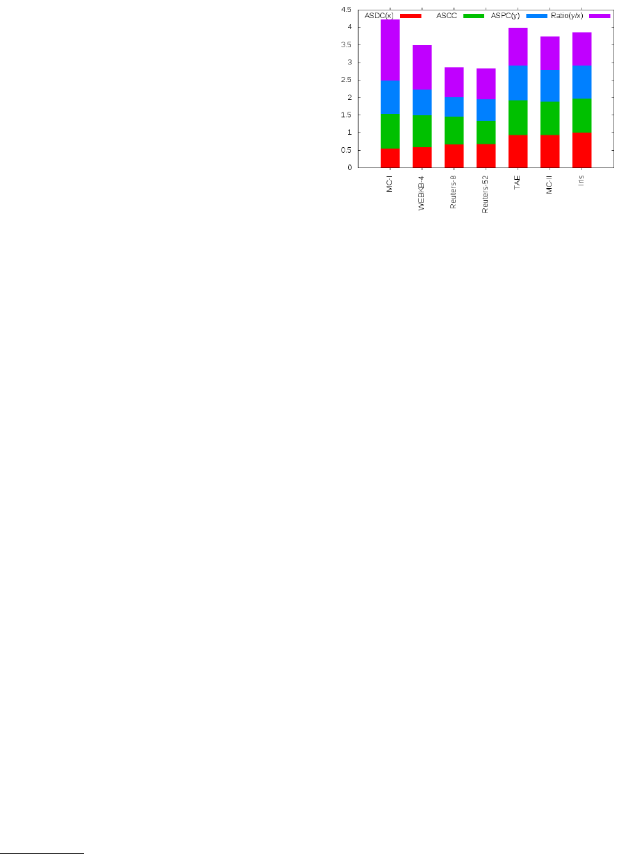
Figure 1 graphically represents the numbers that
describe the datasets. We ordered the list of datasets
by their ASDC(x), ASCC, ASPC(y) and ratio(y/x).
This figure shows that the TAE, MC-II and Iris
1
https://archive.ics.uci.edu/ml/datasets.html
Figure 1: Datasets feature-characterization histogram.
datasets are more similar to one another than to the
rest of the datasets.
In Table 2, we describe each of the datasets. Iris
has the fewest documents, only 150, followed by TAE
with 151 documents. In terms of classes, Reuters52
has the most classes, 52, but does not have the most
features. MC-II has the largest number of features,
4804, followed by MC-I, which also has one of the
smallest numbers of classes, only 3, along with Iris
and TAE.
Table 1 provides the geometric characterization of
the datasets used in this work. ASDC is the Aver-
age Similarity between every Document of a class and
their respective Centroid. On the one hand, the values
in Table 1 show that samples in the same class are
spatially well separated when the value of ASDC is
low. This is found the case of the MC-I samples in
the first column of the table. We can say that on aver-
age, classes in MC-I have their items more scattered
but that the items in Iris are the most concentrated,
followed by the items in MC-II.
On the other hand, ASCC is the Average Similar-
ity between the Centroids of Classes and the dataset
main Centroid. We can see that the dataset TAE has
all its classes very close to one another because its
ASCC value is high. An interesting situation is seen
in the MC-I dataset, which follows the TAE dataset
with an ASCC greater than 0.98. This is because its
ASDC has the lowest value; that is, this class is the
one with the most overlapped members.
ASPC is the Average Similarity between Pairs of
Centroids. The high value of ASPC indicates that the
classes are overlapping, thereby causing high rates of
y/x. In Figure 1 we have a different way of looking
at these numbers. Therefore, one can conclude that
the samples of MC-I, WEBKB-4, Reuters8, etc., rep-
resent the most tangled datasets. They have very scat-
tered elements in their classes, but their classes are
very close to each other. We thus claim that these fig-
Using the Cluster-based Tree Structure of k-Nearest Neighbor to Reduce the Effort Required to Classify Unlabeled Large Datasets
571
Table 1: Geometric characterization of the datasets used in the experiments.
Dataset ASDC (x) ASCC ASPC (y) Ratio (y/x)
Iris 0.998877 0.983528 0.936333 0.937385
MC-I 0.553464 0.986026 0.953384 1.722577
MC-II 0.937716 0.952153 0.894900 0.954340
Reuters-52 0.680510 0.676758 0.596804 0.876995
Reuters-8 0.672568 0.790993 0.557013 0.828188
TAE 0.936024 0.997729 0.990932 1.058661
WEBKB-4 0.592095 0.914236 0.734080 1.239801
Table 2: Characterization of the datasets.
Dataset #Doc #Class #Feature
Iris 150 3 4
MC-I 2044 3 4421
MC-II 2109 9 4804
Reuters 52 9100 52 3000
Reuters 8 7674 8 3000
TAE 151 3 5
WEB KB 4 4199 4 3000
ures have a great impact on the classification results.
The climax of the discussion on the Marco Civil
for the Internet by the Brazilian parliament occurred
between the end of 2009 and beginning of 2013, when
the parliament was discussing and working on pass-
ing a new law for the country regarding this mat-
ter. The discussions related to this theme were fur-
ther stimulated after the leak of documents by Edward
Snowden, a former employee of the National Secu-
rity Agency, who had obtained unauthorized confi-
dential information about some international govern-
ments from the U.S. government. From that point,
many people started expressing their opinions via
Twitter and other social media channels.
Oliveira et al. (2014) performed the following pre-
processing on the dataset from Twitter. First, iden-
tical tweets and some unreadable data due to some
problems during the collection process were removed
from the dataset.
In the Marco Civil I dataset, the tweets were clas-
sified using the theme of Political Positioning, which
aims to assig a tweet into one of 3 subclasses: Neutral,
Progressive, and Conservative comments. Tweets
which messages are unclear with regard to political
positioning were assigned to the Neutral class. The
messages that were clearly in favor of the broaden-
ing and deepening of the discussions were assigned to
the Progressive class. Finally, the messages that were
against any change of the current legislation were as-
signed to the Conservative class.
In contrast, the Marco Civil II dataset is composed
of tweets that were classified based on the theme of
Opinion. The goal now is to assign a tweet to one of 9
subclasses: Alert, Antagonism, Support, Compliance,
Explanation, Indignation, Information, Mobilization,
and Note.
Alert is a class that is used to aggregate all tweets
that draw attention to the evolution of the discussion
within the parliament. The Antagonism class gath-
ers the messages in opposition of the approval of the
Marco Civil project. The Support class represents
tweets in favor of both discussion and approval of the
Marco Civil project. Although the Compliance class
has messages showing sympathy towards the project,
they do not show open support to official legislation
of the matter.
Some people posted messages mainly to analyze
and comment on the evolution of the discussions
about the project. These messages were assigned to
the class Note. Although it is very similar to the pre-
vious class, the class Information aims at gathering
tweets that share with the community some sort of
news about the project, not a personal opinion. All
tweets that explain the Marco Civil project, the legis-
lation proposals and their consequences were grouped
within the class Explanation. The Indignation class
included users who are against the news press atti-
tude, the way the deputies postponed the voting in the
parliament, and essentially the lack of any type of leg-
islation about the use of the Internet in Brazil. Finally,
the class Mobilization gathers messages that attempt
to bring people to participation and engagement in the
movement. The following is a tweet that calls on peo-
ple to send a message to their deputies in the Marco
Civil Especial Committee in the parliament:
@idec Envie uma mensagem agora aos
deputados da Comiss˜ao Especial do Marco
Civil! http://t.co/kslJpTOh
Our focus is on MC-I and MC-II; thus, the other
datasets were also used here to show that our ap-
proach is as suitable as the widely known datasets in
the literature.
SSTM 2015 - Special Session on Text Mining
572
5.1 Analysis of the Results
The ρ value is critical. With a low value of ρ, the
clusters tend to be more homogeneous, but the user’s
workload increases. If the value is high, the number
of clusters is smaller, but they are less homogeneous
(Oliveira et al., 2014). We varied this value in the
range from 0.3 to 0.9. The best value on average was
0.6, which is the chosen value for the experiments re-
ported in this work.
Another important parameter is the value of k for
the kNN implementations. We also tested many val-
ues of k for all kNN algorithms tested in this work:
the conventional kNN (Cover and Hart, 1968; Duda
et al., 2001), the cluster-based tree kNN, and our pro-
posed method, which combines the creation of the
training dataset and the cluster-based tree kNN. Thus,
the value of k that achieved the highest average accu-
racy metric for the Marco Civil datasets was k = 3.
Thus, we arbitrarily chose this value to perform out
our experiments with the rest of the datasets.
Table 3: The algorithm accuracy performance.
kNN++
Data set kNN kNN++ LD
0
LD
1
Iris 98.12 92.07 79.71 79.71
MC-I 66.07 64.49 68.92 68.30
MC-II 82.29 81.57 82.80 81.79
Reuters 8 79.79 86.97 77.58 77.09
Reuters 52 96.75 96.90 96.80 96.77
TAE 62.02 60.94 57.31 56.81
WEB KB 4 61.03 64.94 64.57 64.57
77.12 74.77 72.19 71.65
Table 3 shows the results of three different ex-
periments we performed on the datasets. In the first
column, we list the datasets used to demonstrate our
claim. In the second column, we show the results of
a version of our conventional kNN algorithm. The
third column, represents our cluster-based tree algo-
rithm. As noted above, we chose k = 3 for all version
of kNN. In addition, all experiments were performed
by applying the 10-fold cross-evaluation; e.g., each
dataset was divided into 10-folds, and each algorithm
was run 10 times, with 9-folds for training and 1 for
testing. A different fold was used as a test each time.
The exception is made in the proposed method, where
we fixed the training set at that sample chosen by the
clustering phase described in Section 4.1 (see also Al-
gorithm 1). Table 3 shows the average results of these
runs.
In general, we may say that the reduction of the
training dataset impacts the quality of the results, as
also reported by Zhang and Srihari (2004). Nonethe-
less, we can see a consistent decay in quality on Iris
and TAE only. This steady decay is also observed
only on the average of the results on the datasets as a
whole.
A different group of results are those in which the
new kNN++ yielded improvements over the conven-
tional kNN. Considering the improvements between
the second and third columns in Table 3, we can see
that these are the cases of Reuters8, Reuters52, and
WEBKB 4.
WEBKB 4 had the minimum quality decay when
it was submitted to the clustering procedure in the
fourth and fifth columns. MC-I and MC-II are the
ones that benefitted the most from the proposed clus-
tering approaches. Both had some deterioration from
kNN to kNN++ but also exhibited some improve-
ments, surpassing the best results with kNN most of
the time.
We can see, from these results, that our proposed
method of creating a training dataset is in fact very
efficient. The results were slightly affected in some
cases, but not much on average. In some cases, the
proposed methodology worked on even boosting the
quality of the results.
Table 4: The algorithm time performance in minutes.
The proposed methods
kNN++
Dataset kNN kNN++ LD
0
LD
1
Iris 0.05 1.44 0.56 0.56
MC-I 14.41 9.39 1.28 1.36
MC-II 17.07 4.02 1.03 2.88
Reuters 52 50.79 39.45 3.79 3.88
Reuters 8 42.38 2.57 0.40 0.27
TAE 0.06 0.69 0.18 0.11
WEB KB 4 26.10 1.72 0.40 0.38
21.55 8.47 1.09 1.35
Another dimension of the analysis is to observe
the time performance of the new kNN++ and the
proposed clustering strategy. In Table 4, we show
the time in minutes for the classification of only the
test portion of the datasets.To normalize the size of
all datasets, these values refer to the average time to
classify 1000 samples.
In the first column of Table 4, we show the
datasets used to conduct the experiments, the sec-
ond column shows the results of the conventional
kNN. This is used for comparison among the other
approaches. We can see in the third column that
the time to classify the same amount of data by the
kNN++ is already inferior to the previous approach.
The speed advantage is 57.02% on average. In the
case of Reuters8, the speed advantage was evenbetter,
achieving a value of 93.93% when classifying 1000
samples.
Using the Cluster-based Tree Structure of k-Nearest Neighbor to Reduce the Effort Required to Classify Unlabeled Large Datasets
573
Figure 2: The reduction effort for building the training set.
These time figures havea further decrease with the
LD
0
and LD
1
approaches, which show that our strat-
egy has a good impact on the reduction of the struc-
ture of the algorithm so that it can better classify the
samples.
In addition to the large reduction of classification
time and the slight decrease in quality, our approach
provides the users with another advantage, which is
the possibility of forming their training dataset on the
fly with the classification of an unlabeled dataset. Fur-
thermore, our strategy drastically reduces the neces-
sary effort for the creation of the training labeled data,
as we can see in Figure 2.
The total number of documents among all datasets
is 25,427. On the one hand, to obtain the results
shown for kNN and the kNN++ in Table 3, we used
9-folds to form the respective training datasets, which
represents than 22,884 documents. On the other hand,
by applying our approach, kNN+ +/LD
{0,1}
, the num-
ber of documents labeled by experts used for train-
ing, totaled 587 for LD
0
and 778 for LD
1
. Therefore,
we achieve a reduction to 4% of the previous training
dataset. Note that there is still room for improvement
in our approach.
6 DISCUSSION
The original algorithm proposed by Zhang and Srihari
(2004) includes only one template at the hyperlevel
to represent the set of other documents at the bot-
tom level. In our previous experiments, we used the
d
1
S
l
to play this role (Step 3 in Section 4.2). The
results are shown in Table 3 and Table 4. However, we
noticed during the experiments that a slight modifica-
tion at this point on the original algorithm could bring
even more reduction to the time performance of the
classification time. Then, we changed the algorithm
to include not only one of the template to represent the
bottom level documents, but both the most dissimilar
members of the cluster. Therefore, this new version
of the algorithm includes {d
1
,d
t
} S
l
as member of
the hyperlevel to represent theirs group of documents
at the bottom level.
Table 5: The algorithm accuracy performance.
kNN++ kNN++
Hyperlevel only {d
1
} with {d
1
,d
t
}
Data set LD
0
LD
1
LD
0
LD
1
Iris 79.71 79.71 84.06 91.30
MC-I 68.92 68.30 63.90 44.70
MC-II 82.80 81.79 80.99 80.83
Reuters 8 77.58 77.09 82.73 82.24
Reuters 52 96.80 96.77 96.72 96.88
TAE 57.31 56.81 63.08 63.08
WEB KB 4 64.57 64.57 64.77 63.90
72.19 71.65 76.61 74.63
As a consequence of this modification is that, dur-
ing the classification phase, we can now consider also
the information of the second template to decide the
classes that will be assigned to the templates. The re-
sults are shown in Table 5. After the datasets column,
we show in the second and third columns the previous
results when using only {d
1
} to represent a group of
bottom levels documents. Again, we performed the
experiments using the LD
0
and LD 1 strategies, as
explained previously. In the fourth and fifth columns,
we present the results of the modified algorithm, with
{d
1
,d
t
} to represent a group of bottom levels docu-
ments. We can see that the quality of classification
for the majority of the datasets improved even further
when comparing to the strategy proposed by Zhang
and Srihari (2004) and nearly reproduced in the sec-
ond and third columns. The worst result was found
for the MC-I. An explanation for such results need a
deeper analysis.
In addition to the quality improvement, this mod-
ification also reduce even more the classification time
performance, as we can see in Table 6. Now, the clas-
sification can be made more often at the hyperlevel,
so that the algorithm does not need to consume time
processing documents at the bottom level.
7 CONCLUSIONS
In this paper, we proposed a strategy to address the
problem of building a training dataset from scratch for
a text classification problem. The goal was to reduce
the human effort required in manual classification so
SSTM 2015 - Special Session on Text Mining
574
Table 6: The algorithm time performance in minutes.
kNN++ kNN++
Hyperlevel only {d
1
} with {d
1
,d
t
}
Data set LD
0
LD
1
LD
0
LD
1
Iris 0.56 0.56 0.00 0.00
MC-I 1.28 1.36 0.22 0.24
MC-II 1.03 2.88 0.33 0.34
Reuters 52 3.79 3.88 1.72 1.85
Reuters 8 0.40 0.27 1.21 1.07
TAE 0.18 0.11 0.00 0.00
WEB KB 4 0.40 0.38 0.49 0.50
1.09 1.35 0.57 0.57
that the manual assignment of labels requires as small
a subset of the dataset as possible. Then, we used this
chosen training dataset to classify the remaining data.
We were inspired by the cluster-based trees kNN
algorithm presented by Zhang and Srihari (2004). We
used their strategy to construct the tree and, at the
same time, chose the items that formed our train-
ing dataset. These chosen items were submitted to
the evaluation of an expert, or experts, for labeling.
Therefore, while choosing these items, we interacted
with the expert to design each node and level of the
tree. At the end, the tree was built with the training
data, and the kNN was ready to be applied to the re-
maining dataset.
The comparison between the results obtained by
our strategy and those produced by an expert in all of
the tested datasets revealed that our approach is able
to imitate the expert up to 72.19% on average, with re-
gard to the accuracy metric while using less than 4%
of the dataset for training. We also applied this tech-
nique to some public datasets and showed that we can
greatly reduce the effort of the expert when construct-
ing the training data without losing much quality in
the classification.
We improved the proposed algorithm by Zhang
and Srihari (2004) changing the way the hyperlevel
is built, and the results are promising. We plan to fur-
ther investigate strategies to better form the training
dataset and increase the performance of the proposed
algorithm kNN+ +.
ACKNOWLEDGEMENTS
The first author would like to thanks CAPES for its
partial support on this research under the grant n
o
BEX-6128/12-2.
REFERENCES
Angiulli, F. (2005). FastCondensed Nearest Neighbor Rule.
pages 1–8. IEEE.
Angiulli, F. (2007). Fast Nearest Neighbor Condensation
for Large Data Sets Classification. IEEE Transactions
on Knowledge and Data Engineering, 9(11):1450–
1464.
Baeza-Yates, R. and Ribeiro-Neto, B. (2011). Modern In-
formation Retrieval. Addison-Wesley, New York, 2
edition.
Bastos, M., Travitzki, R., and Puschmann, C. (2012). What
Sticks With Whom Twitter Follower-Followee Net-
works and News Classification. In Proceedings of In-
ternational AAAI Conference on Weblogs and Social
Media.
Bastos, M. T., Mercea, D., and Charpentier, A. (2015).
Tents, Tweets, and Events: The Interplay Between
Ongoing Protests and Social Media. Journal of Com-
munication, 65(2):320–350.
Berry, M. W. (2003). Survey of Text Mining: Clustering,
Classification, and Retrieval. Springer-Verlag, New
York.
Blanzieri, E. and Bryl, A. (2008). A Survey of Learning-
Based Techniques of Email Spam Filtering. Artificial
Intelligence Review, 29(1):63–92.
Brown, R. L. (1995). Accelerated TemplateMatching Us-
ing Template Trees Grown by Condensation. IEEE
Transactions on Systems, Man and Cybernetics–Part
C: Applications and Reviews, 25(3):523–528.
Bruns, A. and Liang, Y. (2012). Tools and Methods for Cap-
turing Twitter Data During Natural Disasters. First
Monday, 17(4).
Cai, W., Zhang, Y., and Zhou, J. (2013). Maximizing Ex-
pected Model Change for Active Learning in Regres-
sion. In Data Mining (ICDM), 2013 IEEE 13th Inter-
national Conference on, pages 51–60.
Cardoso-Cachopo, A. (2007). Improving Methods for
Single-Label Text Categorization. PhD thesis, Insti-
tuto Superior T´ecnico, Universidade T´ecnica de Lis-
boa. http://ana.cachopo.org/publications.
Ciarelli, P. M., Krohling, A., and Oliveira, E. (2009). Parti-
cle Swarm Optimization Applied to Parameters Learn-
ing of Probabilistic Neural Networks for Classifica-
tion of Economic Activities. I-Tech Education and
Publishing, Viena, Austria.
Costa, J., Silva, C., Antunes, M., and Ribeiro, B. (2013).
Customized Crowds and Active Learning to Im-
prove Classification. Expert System and Applications,
40(18):7212–7219.
Cover, T. M. and Hart, P. E. (1968). Nearest Neighbor Pat-
tern Classification. IEEE Transactions on Information
Theory, pages 21–27.
Cruz, J. A. and Wishart, D. S. (2007). Applications of Ma-
chine Learning in Cancer Prediction and Prognosis.
Cancer informatics, 2:59–77.
Duarte, J. M. M., Fred, A. L. N., and Duarte, F. J. F. (2013).
A Constraint Acquisition Method for Data Cluster-
ing. Progress in Pattern Recognition, Image Analysis,
Computer Vision, and Applications, pages 108–116.
Using the Cluster-based Tree Structure of k-Nearest Neighbor to Reduce the Effort Required to Classify Unlabeled Large Datasets
575
Duda, R. O., Hart, P. E., and Stork, D. G. (2001). Pattern
Classification. Wiley-Interscience, New York, 2 edi-
tion.
Gundecha, P. and Liu, H. (2012). Mining Social Media: A
Brief Introduction. Tutorials in Operations Research,
1(4).
Hadgu, A. T., Garimella, K., and Weber, I. (2013). Po-
litical Hashtag Hijacking in the U.S. In Proceed-
ings of the 22Nd International Conference on World
Wide Web Companion, WWW ’13 Companion, pages
55–56, Republic and Canton of Geneva, Switzerland.
International World Wide Web Conferences Steering
Committee.
Hoi, S., Jin, R., and Lyu, M. (2009). Batch Mode Active
Learning with Applications toText Categorization and
Image Retrieval. IEEE Transactions on Knowledge
and Data Engineering, 21(9):1233–1248.
Kim, B. S. and Park, S. B. (1986). A Fast k Nearest Neigh-
bor Finding Algorithm Based on the Ordered Parti-
tion. IEEE Transactions on Pattern Analysis and Ma-
chine Intelligence, pages 761–766.
Li, X., Chen, H., Zhang, Z., and Li, J. (2007). Automatic
Patent Classification using Citation Network Infor-
mation: an Experimental Study in Nanotechnology.
In JCDL ’07: Proceedings of the 2007 Conference
on Digital libraries, pages 419–427, New York, NY,
USA. ACM.
Lin, W.-Y., Hu, Y.-H., and Tsai, C.-F. (2012). Machine
Learning in Financial Crisis Prediction: A Survey.
IEEE Transactions on Systems, Man, and Cybernet-
ics, Part C: Applications and Reviews, 42(4):421–436.
Lo, S. L., Chiong, R., and Cornforth, D. (2015). Using Sup-
port Vector Machine Ensembles for Target Audience
Classification on Twitter. Plos One, 10(4):1–20.
Malo, P., Sinha, A., Wallenius, J., and Korhonen, P.
(2011). Concept-Based Document Classification Us-
ing Wikipedia and Value Function. Journal of the
American Society for Information Science and Tech-
nology, pages 2496–2511.
Newman, D. J., Hettich, S., Blake, C. L., and Merz,
C. J. (1998). UCI Repository of Machine Learn-
ing Databases. http://www.ics.uci.edu/mlearn/
MLRepository.html.
Oliveira, E., Basoni, H. G., Sa´ude, M. R., and Ciarelli,
P. M. (2014). Combining Clustering and Classifi-
cation Approaches for Reducing the Effort of Auto-
matic Tweets Classification. In 6th International Joint
Conference on Knowledge Discovery, Knowledge En-
gineering and Knowledge Management, Rome, Italy.
IC3K.
Portal, S. T. S. (2015). Leading Social Networks Worldwide
as of March 2015, Ranked by Number of Active Users
(in millions).
Saito, P. T., de Rezende, P. J., Falco, A. X., Suzuki,
C. T., and Gomes, J. F. (2014). An Active Learn-
ing Paradigm Based on a Priori Data Reduction
and Organization. Expert System and Applications,
41(14):6086–6097.
Sebastiani, F. (2002). Machine Learning in Automated Text
Categorization. ACMComputing Surveys, 34(1):1–47.
Sriram, B., Fuhry, D., Demir, E., Ferhatosmanoglu, H., and
Demirbas, M. (2010). Short Text Classification in
Twitter to Improve Information Filtering. In 33rd In-
ternational ACM SIGIR Conference on Research and
Development in Information Retrieval, SIGIR ’10,
pages 841–842, New York, NY, USA. ACM.
Vens, C., Verstrynge, B., and Blockeel, H. (2013). Semi-
supervised Clustering with Examples Cluster. 5th In-
ternational Conference on Knowledge Discovery and
Information Retrieval, pages 1–7.
Wolfsfeld, G., Segev, E., and Sheafer, T. (2013). Social Me-
dia and the Arab Spring: Politics Comes First. The In-
ternational Journal of Press/Politics, 18(2):115–137.
Zeng, H.-J., Wang, X.-H., Chen, Z., Lu, H., and Ma, W.-
Y. (2003). CBC: Clustering Based Text Classification
Requiring Minimal Labeled Data. Third IEEE Inter-
national Conference on Data Mining, pages 443–450.
Zhang, B. and Srihari, S. N. (2004). Fast k-Nearest Neigh-
bor Classification Using Cluster-Based Trees. IEEE
Trans. Pattern Anal. Mach. Intell., 26(4):525–528.
SSTM 2015 - Special Session on Text Mining
576