Domain-Specific Relation Extraction
Using Distant Supervision Machine Learning
Abduladem Aljamel, Taha Osman and Giovanni Acampora
School of Science and Technology, Nottingham Trent University, NG11 8NS, Nottingham, U.K.
Keywords: Information Extraction, Relation Extraction, Knowledge-Base, Supervised Machine Learning, Natural
Language Processing, Semantic Web.
Abstract: The increasing accessibility and availability of online data provides a valuable knowledge source for
information analysis and decision-making processes. In this paper we argue that extracting information from
this data is better guided by domain knowledge of the targeted use-case and investigate the integration of a
knowledge-driven approach with Machine Learning techniques in order to improve the quality of the Relation
Extraction process. Targeting the financial domain, we use Semantic Web Technologies to build the domain
Knowledgebase, which is in turn exploited to collect distant supervision training data from semantic linked
datasets such as DBPedia and Freebase. We conducted a serious of experiments that utilise the number of
Machine Learning algorithms to report on the favourable implementations/configuration for successful
Information Extraction for our targeted domain.
1 INTRODUCTION AND
MOTIVATION
In the current digital era, an increasing amount of data
is being made available online. This data can be
analysed to benefit the operation of a specific domain
service such as advising financial investors about a
potential business risk or informing the music
industry about an emerging consumer trend. The
majority of that data is unstructured and constructed
in natural human languages and therefore requires
further processing in order to be understandable by
machines and intelligently explored.
The process of extracting useful knowledge from
unstructured data sources is called Information
Extraction. It can be considered as a pipeline process
that starts with recognising the named entities in the
text, then identifying identity relation between named
entities by means of co-reference resolution, and
finally extracting the relation between the named
entities (Cunningham 2005, Farmakiotou, et al.
2000).
A study by Cunningham (2005) shows that the
complexity of the information to be extracted
influences the accuracy of the Information Extraction
techniques. The information complexity can vary
from simple items such as people names, to complex
items such as events that involve multiple
participants. The authors in Cunningham (2005)
conclude that the more complex the data to be
extracted, the more specific must be the domain of
data.
It is possible to argue therefore that specified
knowledge services that require Information
Extraction techniques to be able to search and extract
specific knowledge directly from unstructured text
should be guided by the domain knowledge that
details what type of knowledge is to be obtained and
for which exploration scenario. This scenario should
make the Information Extraction techniques mediate
between the domain text type and the requirements of
various types of users.
In this paper, we adopt a knowledge-driven approach
to Information Extraction that is based on
comprehensive analysis of the key concepts and
relations of the targeted domain in order to build a
knowledgebase that informs Information Extraction
processing. The knowledgebase will assist the
Natural Language Processing activities as well as
guide rule-based and Machine Learning techniques to
infer new and interesting facts from the sourced
domain data.
We argue that Semantic Web Technologies are best
placed to build such knowledgebase as they are
capable of organising and modelling the information
into a highly structured knowledge in order to assist
machines to understand information published on the
92
Aljamel, A., Osman, T. and Acampora, G..
Domain-Specific Relation Extraction - Using Distant Supervision Machine Learning.
In Proceedings of the 7th International Joint Conference on Knowledge Discovery, Knowledge Engineering and Knowledge Management (IC3K 2015) - Volume 1: KDIR, pages 92-103
ISBN: 978-989-758-158-8
Copyright
c
2015 by SCITEPRESS – Science and Technology Publications, Lda. All rights reserved
Web. They describe and combine the corresponding
relation between the concepts’ instances from
different sources and infer more information about
these concepts in different contexts.
The research reported in this paper focuses on the
Relation Extraction phase of Information Extraction
and investigates the integration of a knowledge-
driven approach with Machine Learning techniques
in order to improve the quality of extracted relations
from online unstructured data.
We targeted the financial domain as a use-case for
implementing and evaluating our Information
Extraction contribution. In recent years, analysis of
published financial information has become
increasingly popular to optimise business processes,
inform financial trading, and reveal hidden
correlations that predict relevant economic indicators
(Radzimski, et al. 2012, Costantino, et al. 1997). For
these financial analysis, extracting relation between
domain entities is critical for the identification and
correlations of the domain’s key events.
The main contributions of the this work include
adopting a Semantic Web based approach for
constructing the Information Extraction
knowledgebase, implementing and evaluating
different ML classifiers for Relation Extraction, and
presenting a comprehensive methodology for
integrating domain knowledge with Machine
Learning techniques in the Information Extraction
process, which was supported by experimental
analysis that presented valuable insights into a
favourable configuration for training data
compilation and learning algorithms setup.
The rest of this paper is organised as follows. The
next section surveys the current Relation Extraction
approaches and related works. The third section
details the implementation of our distant supervision
Relation Extraction method. Section four analyses the
results of the conducted experiments. Lastly, our
conclusions and plans for further works are presented
in section five.
2 RELATED WORKS
There are two main approaches in Relation
Extraction, rule-based and supervised Machine
Learning based. The main idea of rule-based
approaches is transforming the linguistic features
space into lexical and syntactic patterns to be applied
on natural language texts in order to extract relations.
However, the relations extractors in these approaches
depend on the similarity of the texts and a closed set
of relations. Also, the patterns are manually crafted
and a small variations in these patterns, can prevent
finding appropriate relations. These patterns also are
not straightforwardly applied on other domains
(Garcia and Gamallo 2011, Konstantinova 2014).
According to Konstantinova (2014), rule-based
approaches could provide an acceptable results if the
main aim is to quickly extract relations in a well
linguistic defined domains. An example for this kind
of approaches is a work of Akbik and Broß (2009).
Their procedure uses linguistic patterns that are
defined by them over the dependency grammar of
sentences.
Supervised Machine Learning (ML) based
approaches have been used for Information
Extraction with considerable results. They could be
adopted to solve problems with unstructured data; for
instance, recognising named entity, classifying text
and extracting relations. In general, supervised
Machine Learning is about making predictions on
problem solving based on information about the same
problem; nonetheless, it does not require linguistics
skills to be applied. An example of this kind of
approaches is a study conducted by Hong (2005). He
presented a Relation Extraction approach by using
supervised Support Vector Machine algorithm. The
classifier model created by using Automatic Content
Extraction (ACE) training dataset.
The key elements of supervised Machine Learning
algorithms are features vector and training datasets.
The quality of these elements impacts the accuracy of
algorithms’ results (Daelemans and Hoste 2002,
Farkas 2009, Lehmann and Völker , Jiang, et al.
2012). However, we believe that these elements could
be improved if they are informed by domain
knowledge.
Compilation of labelled training datasets for
supervised Machine Learning classification in
general and relation classification in specific is a
time-consuming and cumbersome task to undertake
manually; moreover, the resultant dataset is often not
sufficient to solve a classification problem. Instead,
there is another approach that employs existing
datasets as source of supervision; it is called distant
supervision or distant learning (Konstantinova 2014).
Distant Supervision Machine Learning approach has
emerged for training relation classification without
using manually labelled data, which reduces human
efforts for relation extraction (Min, et al. 2013). This
approach automatically collects training examples by
labelling the relations mentioned in the distant
supervision sources according to the assumption that
if any two entities appear in one sentence and they
have a mentioned relation in at least one semantic
dataset, these entities could express that relation.
Domain-Specific Relation Extraction - Using Distant Supervision Machine Learning
93
Figure 1: Overview of the main tasks of our Relation Extraction methodology by using distant supervision ML approach and
informed by domain knowledge.
The research work published by Mintz, et al. (2009)
adopts a distant supervision approach that utilises a
Freebase dataset as a distant supervision source. The
Freebase’s data representation was converted into
binary relations. They collected 116 million instances
of 7300 relations between 9 million entities. The
experiments were conducted to explore each pair of
entities that appears in any Freebase ground fact.
Then, finding all sentences containing those entities
in the unlabelled unstructured data and extracting the
linguistic features to learn a relation classifier. The
source of unstructured data is a dump of the full text
of all Wikipedia articles. It consists of around 1.8
million articles. The ML classifier used in this
research is a multi-classification logistic classifier
optimised using Limited-memory Broyden–Fletcher–
Goldfarb–Shanno (L-BFGS) with Gaussian
regularisation. L-BFGS is an optimization algorithm
uses limited amount of computer memory for
parameter estimation in ML (Andrew and Gao 2007).
According to Mintz, et al. (2009), the algorithm
combines the advantages of supervised ML and
unsupervised ML. Also, they analyse feature
performance, which shows that syntactic parse
features are particularly beneficial for relation
classification. Their overall results showed that the
distant supervision approach has the capability of
extracting a high precision (67.6%) for a considerable
number of relations (10000 instances of 102
relations).
Although relation classification by using distant
supervision approach has been considerably studied,
we believe that the aspect of integrating the
knowledge-based approach in relation classification
has been not extensively investigated. This work
makes the following contribution to the body of the
work on distant supervision relation extraction:
We adopt Semantic Web based approach for
constructing the Information Extraction
Knowledgebase and utilise two semantic datasets
as distant supervision sources, DBPedia and
Freebase.
We implement and evaluate three different ML
classifiers for Relation Extraction, Support Vector
Machine (SVM), Perceptron Algorithm Uneven
Margin (PAUM) and K-Nearest Neighbour
(KNN), in order to select the best ML model
performance.
We present a comprehensive methodology for
integrating domain knowledge with ML
techniques in the Information Extraction process.
3 RELATION EXTRACTION
METHODOLOGY
The research effort reported in this paper claims that
domain knowledge can significantly contribute to the
activities of Information Extraction from
unstructured data, and in this section we present a
comprehensive, semantic-driven methodology for
utilising that knowledge to improve the Machine
Learning techniques employed in Relation
Extraction.
Figure 1 illustrates the main tasks of the relation
extraction methodology, which are summarised
below and detailed in the following subsections.
1- Analysing the domain and construction of the
knowledge map.
2- Retrieving unstructured data and content
detection.
3- Applying Natural Language Pre-Processing
tasks for:
a. Recognising the named entities.
b. Extracting the relation instances.
4- Adding ML features vector to relation
instances.
Linked
Open Data
Sources
Retrieving
Unstructured Data
& Content Detected
Recognising NE,
Relation Instances &
Adding ML Features
Extracting
Relations
between NEs
Collecting ML
Training
Datasets
RSS
Feeds
Gazettee
r
Lists
Ground
Facts
Semantic
Kn
ow
l
edgebase
Building ML
Relation
Classifiers
KDIR 2015 - 7th International Conference on Knowledge Discovery and Information Retrieval
94
5- Collecting the training datasets from structured
datasets.
6- Building ML relation classification models.
7- Extracting Relations from the unstructured data
by using the classification models.
3.1 Domain Analysis and Constructing
the Knowledge Map/Ontology
In this research we analysed the use case domain and
designing the knowledge map by using knowledge-
driven approach. In this process we gathered
knowledge in terms of what concepts to exist in a
particular domain and understandable by the domain
experts. Then, we translated the knowledge map into
an ontology by using Semantic Web Technologies.
The knowledge map assisted in analysis of our use
case domain, which was key in encoding the
identified entities and their interactions in a formal
ontology language. When we built the ontology, we
consider the reuse of publically available ontologies,
particularly that in the finance domain. There are
efforts to build a comprehensive taxonomies for
finance domain such as a finance ontology from
Fadyart (fadyart.com 2014).
For the purpose of implementation and evaluation of
Relation Extraction methodology, in this paper we
focused on the domain key concepts of organisations,
people, and locations. The relations between the
concepts are represented by the following facts:
Person is a key person in Organisation.
Person is a founder of Organisation.
Organisation is an employer of Person.
Person has location Location.
Person has a birthplace Location.
Person has a death place Location.
Location is a location of Organisation.
Person has a nationality Location.
3.2 Retrieving Unstructured Data and
Content Detection
The unstructured data source is the online financial
news articles. They are retrieved by using the Rich
Site Summary (RSS) feeds. RSS is an XML file that
links to news or other information sources in the web
(Ruiz-Martínez, Valencia-García and García-
Sánchez 2012). The number of documents that have
been retrieved from online financial news sources is
7193 documents including the BBC, Reuters and
Yahoo Finance RSS Feeds.
In addition to the actual news contents, the online
news web pages consist of navigational elements,
templates, and advertisements. These boilerplate
texts are not related to the news contents and they may
reduce the information extraction quality. As a result,
they should be detected and removed properly
(Kohlschütter, Fankhauser and Nejdl 2010). To
achieve this task, this work employs an open source
Java API library, boilerpipe from Google code
(boilerpipe 2014). It provides algorithms to detect and
remove the undesirable text around the main textual
content of a web page. After retrieving and cleansing
the online news, we store these news documents in
GATE’s xml format. GATE is a Natural Processing
Language (NLP) tool from Cunningham, Maynard
and Bontcheva (2011).
3.3 Natural Language Processing
Tasks
The fundamental NLP tasks were implemented using
the GATE tool. GATE is an infrastructure for
developing and deploying software components that
process human language texts. The aim of the NLP
tasks is to produce a number of linguistic features
from documents. Each document is first processed
using the open source ANNIE (Nearly-New
Information Extraction) system and Stanford parser,
which are part of the GATE NLP tool. The NLP tasks
include tokenising, sentence splitter, gazetteer lists
tagging, part of speech tagging, morphological
analyser, co-references resolution and dependency
path tree tagging. The results of these tasks will be
used for recognising the named entities and the input
features vector to the ML relation classifier.
Table 1: The number of targeted named entities.
Annotation Sets Type Entities
Organization 79545
Person 85792
Location 95134
3.3.1 Named Entity Recognition
The Named Entities are recognised by utilising
ANNIE’s rule-based entity recognition system,
ANNIE which uses Java Annotation Patterns Engine
(JAPE) rules to recognise regular expressions in
annotations on documents. The ANNIE rules can be
modified and extended to facilitate recognising more
entities. We did extend ANNIE’s JAPE rules to
recognise more named entities; for instance, stock
indices and stock ticker symbols. Table 1 shows the
number of the extracted named entities, Person,
Organization and Location.
Domain-Specific Relation Extraction - Using Distant Supervision Machine Learning
95
3.3.2 Extracting Relation Instances
The baseline of relation extraction in this work is the
sentence. Every entity pair for a targeted relation that
appears in a sentence in unstructured data are
identified and annotated as a relation instance. These
pairs should be chosen to represent the relations in the
domain ontology. This has been achieved by using
JAPE rules and GATE Embedded Java Libraries. The
number of sentences and relation instances of the
targeted relations in this work are shown in Table 2.
Table 2: The sentences and relation instances number
(RI=Relation Instances, Per=Person, Org=Organization
and Loc=Location).
Annotation Type Number
Sentences 316504
RI of Per-Org pairs 32304
RI of Per-Loc pairs 38425
RI of Loc-Org pairs 28891
3.4 Adding Ml Features Vector to
Relation Instances
ML classification tasks require assigning features
vector to a finite set of classes. Features represent any
distinctive aspects, qualities or characteristics of
classes. They may be symbolic such as Part Of
Speech of an entity, or numeric such as the number of
words between two entities. The quality of features
vector is one of the key factors of any classification
technique performance (Han, Kamber and Pei 2011).
Table 3: Machine Learning Features Vector list.
Features
Category
Description
Lexical
features
POS of words between entity pairs.
General POS of words between entity
pairs.
POS of three words before the first entity.
POS of three words after the second entity.
Syntactic
Features
The words’ strings of collapsed typed
dependency path between entity pairs.
The kinds of collapsed typed dependency
path between entity pairs.
The whole collapsed typed dependency
path of the entity pairs’ sentences.
Direct collapsed typed dependency path
between entity pairs.
Named Entity
Features
The size of the first entity.
The size of the second entity.
The order of the entities.
The distance between the two entities.
Token string of the first entity.
Token string of the second entity.
Khan and Baig (2015) argue that the sufficient
domain knowledge could assist in selecting the
features vector as input to the classification
algorithms. We expanded on the feature set suggested
by Mintz, et al. (2009) to provide a more
comprehensive set of syntactic features; for instance,
the typed dependency path between words contains
information which could be used to reflect the
relation environment in the sentence. Each feature
attempts to describe the characteristics of the relation
between two entities in a sentence. They could be
categorised into three types, lexical features, syntactic
features and named entity features (see Table 3).
These features are extracted by using JAPE rules and
GATE Embedded and added to every relation
instances in the unstructured data.
Below is a JAPE code example:
Phase: instances
Input: Sentence
Options: control = all
Rule: pair
({Sentence}):s
-->
{ [In this part, GATE Embedded JAVA
libraries can be coded to extract and
annotate information from the annotation
patterns in the upper part] }
3.5 Collecting Training Datasets from
Online Structured Datasets
The distant supervision approach in this work,
employs existing semantic datasets, DBPedia and
Freebase, as a distant supervision sources for ML
relation classification. DBpedia contains more than
4.5 million entities and more than 3 billion RDF triple
for a diversity of language. Freebase dataset contains
approximately 47.5 million topic and 2.9 billion facts
in English language.
The training datasets were built by retrieving the
relations between any two entities in a single sentence
in the unstructured document and mentioned in
Freebase or DBPedia as ground facts. These relations
are assumed to be a class instance or true positive in
the training datasets. The mentioned relations in the
semantic datasets were extracted by using JENA’s
SPARQL engine, which facilitates the retrieval of the
relations on RDF semantic format (Harris, Seaborne
and Prud’hommeaux 2013). To illustrate this task, we
use the following sentence example from the
unstructured data corpus which is used in this work:
“Yesterday Twitter's boss Dick Costolo
said he was "ashamed" at how the site
had dealt with abusive online trolls.”
KDIR 2015 - 7th International Conference on Knowledge Discovery and Information Retrieval
96
The sentence contains the following relation instance:
“Twitter's boss Dick Costolo”
The relation instance contains two entities, Person
entity “Dick Costolo” and Organization entity
“Twitter”.
These two entities’ names are used to query the
semantic datasets to find if they have any mentioned
relation. The SPARQL query for this example and its
result are shown below.
PREFIX rdfs:
<http://www.w3.org/2000/01/rdf-schema#>
SELECT DISTINCT (str(?lbl) AS ?result)
WHERE {
{ ?entity1 ?rel ?entity2 .
?entity1 rdfs:label "Dick
Costolo"@en .
?entity2 rdfs:label
"Twitter"@en
}
UNION
{ ?entity2 ?rel ?entity1 .
?entity1 rdfs:label
"Twitter"@en .
?entity2 rdfs:label "Dick
Costolo"@en
}
?rel rdfs:label ?lbl
FILTER ( lang(?lbl) = "en" )
}
-------------
| result |
=============
|"employer" |
-------------
This result means that the relation mentioned in the
semantic dataset in the form of RDF triple is as
follows:
“Twitter employer Dick Costolo”
This relation is mapped into a relation in domain’s
ontology as:
“Twitter employerOf Dick Costolo”
Then, the relation is assumed as a class instance or
True Positive in the Organization-Location training
dataset.
Table 4 shows the three training datasets that were
collected by using distant supervision approach
adopted by this work. The first training dataset
represents relations between Person and Organization
entities with three relation classes. The second
training dataset represents relations between Person
and Location entities with four relation classes. The
third and last training dataset represents relations
between Location and Organization entities with one
relation class. In addition to the number of the
documents in each training dataset, Table 4 also
presents the total number of all mentioned relations
for all classes in the training datasets, the total number
of mentioned relations for each class, and the total
number of relation instances including those that are
not mentioned in DPBedia and Freebase and present
in the documents of the training datasets.
Table 4: The summary of the collected training datasets
(RI=all Relation Instances, MR= Mentioned Relations,
Doc=Documents, Per=Person, Org=Organization and
Loc=Location).
Entity Pairs Doc RI MR Relation Types
Per-Org 192 4213 204
founderOf
38
keyPersonIn 107
employerOf 59
Per-Loc 671 11152 896
hasPlace
221
birthplace 233
hasNationality 415
deathPlace 27
Loc-Org 581 6217 299 locatedIn 299
3.6 Building Machine Learning
Classification Models
In this section, we detail the ML algorithms that were
trained by using the training datasets and features
vector in order to build the models for relation
classification. These models will be evaluated to
establish the suitable ML algorithm for relation
extraction. The next section describes in details the
ML classifiers adopted in this work.
The three supervised ML classifiers applied for
relations classification by using distant supervision
are, Support Vector Machine (SVM), Perceptron
Algorithm Uneven Margin (PAUM) and K-Nearest
Neighbour (KNN). The works of Panchenko, et al.
(2012), Hmeidi, Hawashin and El-Qawasmeh (2008),
Li, Bontcheva and Cunningham (2009), Li, et al.
(2005), and Witten and Frank (2005) reveal that
SVM, PAUM and KNN are used in Information
Extraction tasks with adequate results.
SVM is a supervised ML algorithm that has an
advanced performance for a diversity of classification
tasks including Information Extraction specifically in
small training datasets. One of the striking features of
SVM is that it has a robust justification for avoiding
over fitting (Cunningham, Maynard and Bontcheva
2011, Wang, et al. 2006). SVM is an optimal
classifier, which means that it learns a classification
Domain-Specific Relation Extraction - Using Distant Supervision Machine Learning
97
hyperplane in the features space with the maximal
margin to all training instances (Li, Bontcheva and
Cunningham 2009). This work uses the GATE
implementation, which is based on Java version of the
SVM package LibSVM with exception that the
GATE implements the uneven margins SVM
algorithm that described in the work of Li, Bontcheva
and Cunningham (2009). The most important
parameters of this implementation are SVM cost (C,
the Cost associated with allowing training errors, soft
margin) and the uneven margins (τ or tau, setting the
value of uneven margins parameter of the SVM) (Li,
Bontcheva and Cunningham 2009, Li and Shawe-
Taylor 2003). There are several kernel functions
types can be used in SVM algorithm such as linear,
polynomial, radial and sigmoid. Li, Bontcheva and
Cunningham (2009) mentioned in their research that
linear kernel is much more computationally efficient
than other complicated kernel functions and tends to
obtain similar performance; therefore, in this research
we used linear kernel. Also, the values of C and tau
parameters which are used in this research are 1 and
0.8 respectively.
PAUM is a simple and effective learning algorithm
especially for large training datasets. It has been
successfully used for document classification and
information extraction. For a binary classification
problem, it checks each instances in the training
dataset by predicting their labels. If the prediction is
correct, the instance is passed; otherwise, it is used to
correct the model. The algorithm stops when the
model classifies all training instances correctly. The
utilised GATE implementation of the PAUM
algorithm proposes two margin parameters, positive
and negative. These two margin parameters allow the
PAUM to handle imbalanced datasets better. Also,
GATE implementation proposes the modification of
the bias term parameter (optB). The values of
negative and positive margins and optB parameters
which are used in this work are 1, 50 and 0.3
respectively (Li, et al. 2005, Cunningham, Maynard
and Bontcheva 2011).
KNN is a simple and often its accuracy is enhanced
when the number of features is small. It is an instance-
based classification, which means that each new
instance is compared with K nearest neighbour
instances by using a distance metric. The class that
has the majority of instances of the closest K
neighbours is assigned to the new instance. KNN
algorithm shows superior results in classifying
documents. However, it is a lazy learning algorithm
because it depends only on statistics. KNN
implementation used in this work has only one
parameter, K, which can be tuned heuristically in
order to find the best algorithm’s performance. The
implementation of this algorithm is provided by
GATE, which is based on the open source ML
package WEKA (Hmeidi, Hawashin and El-
Qawasmeh 2008, Witten and Frank 2005). The value
of K which is used in this work is 1.
The algorithms above can implement both binary and
multi-class classifiers; however, the implementation
of multi-classification ML algorithms is more
complicated than binary classification. As a result,
when using an effective binary classifier, the scheme
of converting the multi-classification to multiple
binary classifications by using a simple “one-vs-
others” or “one-vs-another” methods is preferred over
other complex methods such as complex error-
correcting coding method. The “one-vs-others”
method converts N class classification model (N>2)
into N binary classification models. In every binary
classification model, the positive instances are
belonging to a specific class and the negative
instances are belonging to all other classes. In
contrast, “one-vs-another” method converts N class
classification model (N>2) into N(N1)/2 binary
classification models of class pairs. In every binary
classification model, the positive instances are
belonging to one class in the pair and negative
instances are belonging to the other class in the same
pair (Li, Bontcheva and Cunningham 2009).
Therefore, this paper only considers the “one-vs-
others” method in transforming multi-classifier into
multiple binary classifier because it requires less
number of models.
The section above presented our methodology for
implementing knowledge-driven Relation Extraction
that include constructing the knowledge map, Named
Entity Recognition, relation instances tagging,
collecting training datasets, retrieving features set and
collecting dataset. In following section we are going
to evaluate the Machine Learning algorithms with the
features vector and training datasets.
4 RESULTS EVALUATION AND
DISCUSSION
The ML relation classification model has been
created by using the training datasets that were
collected by adopting the distant supervision
approach with the features vector. The models should
be evaluated before applying them to extract relations
from unstructured data. We evaluate the ML models
to get the optimum results by configuring training
datasets.
KDIR 2015 - 7th International Conference on Knowledge Discovery and Information Retrieval
98
There are two commonly used evaluation methods for
ML algorithms, K-fold cross-validation and holdout
test. In K-fold cross-validation, the corpus is split into
K equal size partitions of documents. The evaluation
run is repeated K times, folds. Each partition is used
as test dataset and all the remaining partitions as a
training dataset for all K folds. The overall Recall,
Precision and F1-measure result of this method is the
average of the all folds results. In contrast, in holdout
test, a number of documents in corpus are randomly
selected according to a specified ratio. These
documents are assumed as testing dataset and all
other documents as training dataset (Cunningham,
Maynard and Bontcheva 2011). In this work, the
experiments have been conducted on the training
datasets by using cross validation K-Fold with K=10.
This method guarantee that all documents will
participate in the training and testing datasets.
According to Witten, Frank and Hall (2005), there is
more than one method to compute the evaluation of
ML algorithms performance. These methods depend
on the target domain. For instance, the marketing
domain uses lift chart by plotting True Positive rate
versus training subset size, the communication
domain uses Receiver Operator Characteristic (ROC)
curve by plotting True Positive rate versus False
Positive rate and the Information Retrieval domain
uses Recall versus Precision curve. This research
computes the evaluation results of ML models in
relation classification by drawing the relation
between recall and precision in terms of threshold
probability classification confidence values.
A series of experiments have been conducted in this
research in order to improve the accuracy of ML
models and choose between ML algorithms, SVM,
PAUM and KNN.
4.1 Machine Learning Accuracy
Experiments
The first set of experiments attempts to alleviate the
classes imbalance in terms of True Positive and True
Negative numbers and to speed up ML processing by
reducing or removing the relation instances in the
documents that are not mentioned in the distant
supervision sources. Some of these instances are not
tagged as True Positive solely because they are not
populated onto Freebase or DBPedia datasets. Table
4 shows the total number of the relation instances and
total number of mentioned relation instances in each
training dataset.
The ML algorithms in this research transforms multi-
classification into multiple binary-classification
technique using “one-vs-others” method. This
method assumes the instances of one relation class as
True Positive and the instances of the other relation
classes as True Negative in each binary classification
for each relation class. The results of this method are
the predictions of the highest confidence scored
instances. In this experiments’ set we measure the
impact of reducing the number of not mentioned
relation instances on models accuracy by reducing
them gradually and calculating Precision, Recall and
F1-measure every time until reaching better ML
model accuracy.
Table 5 compares between the F1-measure values of
SVM, PAUM and KNN models when using the
training datasets with different numbers of relation
instances. The Person-Organisation pair contains four
classes, the Person-Location pair contains three
classes and Location-Organization pair contains one
class. Figures 2, 3 and 4 presents Precision-Recall
charts to compare between SVM models performance
when reducing the number of not mentioned relation
instances in the training datasets. These figures show
there is a clear trend of an increase in precision and
recall of ML models in the lowest values of the
number of the not mentioned relation instances.
Table 5: It shows the impact of reducing the number of Not
Mentioned Relation Instances (NMRI) in ML models
accuracy. (Per=Person, Org=Organisation, and
Loc=Location).
Pair Per-Org Per-Loc Loc-Org
NMRI 0 51 0 224 12 74
SVM
0.80
0.78
0.71
0.66
0.90
0.83
PAUM
0.77
0.75
0.68
0.64
0.90
0.83
KNN
0.77
0.72
0.65
0.60
0.89
0.81
Figure 2: SVM model accuracy in terms of number of not
mentioned relation instances in Person Organization pair
training dataset. (NMRI=Not Mentioned Relation
Instances).
Domain-Specific Relation Extraction - Using Distant Supervision Machine Learning
99
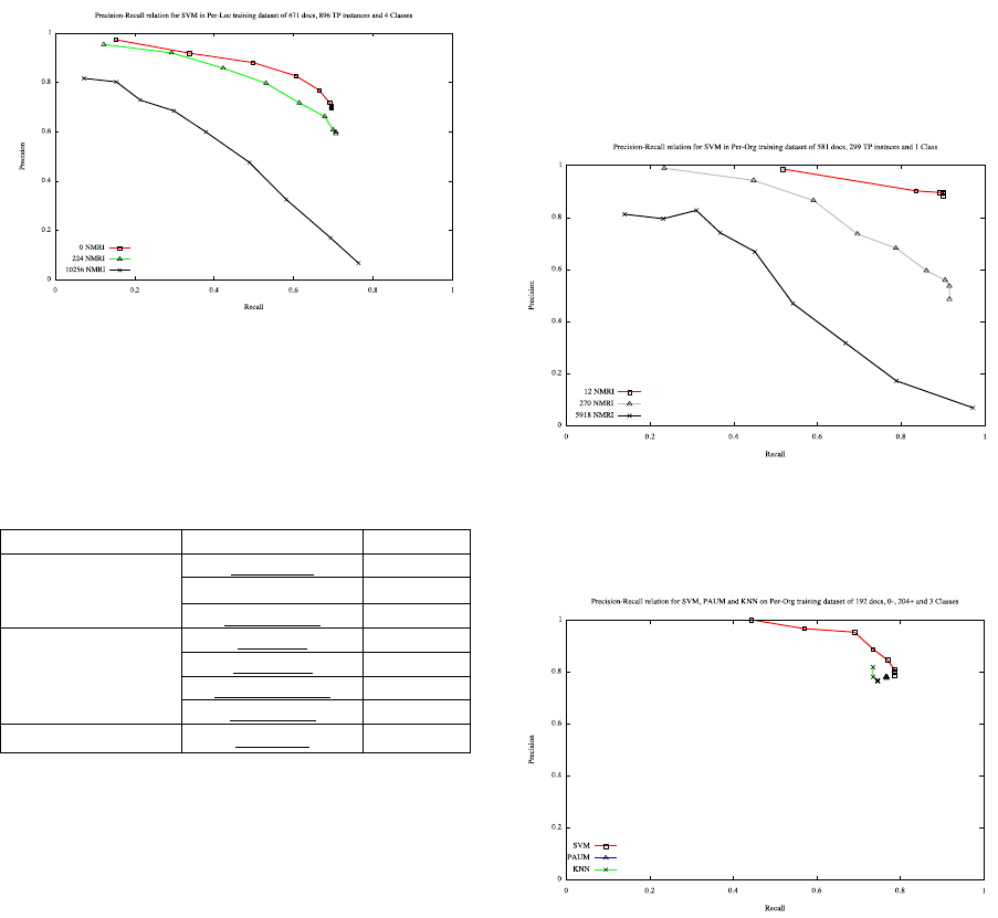
Table 5 and Figures 2, 3 and 4, indicate that the best
precision, recall and F1-measure of ML models is
achieved when removing or reducing the number of
relation instances that are not mentioned as a ground
fact in DBPedia or Freebase from the training
datasets, which can be explained by the fact that these
instances are considered to be an additional class
instances that disrupt the balance between True
Positives and True Negatives in the training datasets.
The work of Mintz, et. al (2009) indicates that these
negative instances have a minor effect on the
performance of the classifier. However, they used a
pure multi-classification classifier; in contrast to our
implementation that converts multi-classification into
multiple binary classification.
Figure 3: SVM model accuracy in terms of number of not
mentioned relation instances in Person Organization pair
training dataset. (NMRI=Not Mentioned Relation
Instances).
Table 6: The summary of the predicted relations
(PR=Predicted Relation, Per=Person, Org=Organization,
and Loc=Location).
Entity Pairs Relation Types PR
Per-Org
founderOf
229
keyPersonIn 4718
employerOf 3062
Per-Loc
hasPlace
10274
birthplace 6294
hasNationality 11822
deathPlace 53
Loc-Org locatedIn 5004
4.2 Selecting Optimum Machine
Learning Classifier
The second set of experiments aims to identify the
ML classifier amongst SVM, PAUM and KNN. The
results of these experiments are illustrated in Table 5
and Figures 5, 6 and 7. The results indicate that SVM
is better than the PAUM and KNN algorithms in
terms of F1-measure also in terms of precision-recall
relation. These results agree with the findings of other
studies; for example, in a study of Li, et al. (2005)
found that SVM may perform better than PAUM in
small training datasets and they have a close
performance in large training datasets. Also, the work
of Hmeidi, Hawashin and El-Qawasmeh (2008)
reveal that SVM has better F1-measure results than
KNN.
Our analysis assert that SVM relation classifier
exhibit more accurate results, which we attribute to
two reasons. Firstly, the training datasets of this work
are relatively small because of the characteristics of
the financial and economic domain that it is not
common in DBPedia and Freebase comparing to
other public domains such as music and movies
domains. Secondly, it has a superior performance in
small training datasets. Therefore, this research has
adopted SVM algorithm to create the relation
classification model.
Figure 4: SVM model accuracy in terms of number of not
mentioned relation instances in Location Organization pair
training dataset. (NMRI=Not Mentioned Relation
Instances).
Figure 5: Comparison between SVM, PAUM and KNN
models in Person Organization pair training dataset.
KDIR 2015 - 7th International Conference on Knowledge Discovery and Information Retrieval
100
Figure 6: Comparison between SVM, PAUM and KNN
models in Person Location pair training dataset.
Figure 7: Comparison between SVM, PAUM and KNN
models in Location Organization pair training dataset.
4.3 Relation Classification
The relation classification model was created using
SVM algorithm. This model takes the unlabelled
relation instances in the unstructured documents with
the features vector as an input. Then, it returns a
relation names for those relation instances with a
confidence score based on the probability of the
correctness of entity pairs relation. The confidence
score could be used to rank the relations to be used to
generate a list of the most confident relations (Mintz,
et al. 2009). Table 6 shows the number of predicted
relations between the targeted named entities.
It can be seen from the results of this work that
Freebase and DBPedia provide a sufficient ground
facts for the Organization, Location and Person
concepts interrelations. Nonetheless, there are other
relations between other entity pairs that require more
investigation; such as, stock markets and
organizations entities interrelations. While the focus
of this research is on the financial and economic
domain use case, the structured knowledge sources
have a rich set of ground facts for a variety of domains
such as, sports, entertainment, politics and others,
which confirms that our approach is reusable and
applicable for a variety of domains.
5 CONCLUSIONS AND
FURTHER WORK
Online data can be exploited to inform data analytics
and decision support systems for a variety of
applications such as those belonging to the financial
services domain. For this class of applications,
extracting relations between key domain concepts is
critical for the identification and correlation of the
domain’s key events.
In this paper, we argue that extracting information for
a specific domain should be guided by the domain
knowledge that describes what type of knowledge is
to be obtained and for which exploitation scenario,
and subsequently present a comprehensive
methodology for integrating domain knowledge with
machine learning techniques in order to improve the
information extraction process. We model the
domain’s key concepts and its interaction with the
beneficiary users using Semantic Web technologies,
which provides for organising information database
into a highly structured knowledgebase and also
allows reasoning on the sourced data to infer new
interesting facts. Moreover, the semantic
knowledgebase allows us to seamlessly source data
from Linked Datasets such as Freebase and DBpedia
that also use Semantic technology to store domain-
relevant ground facts.
We address the difficulties of training datasets
provision for supervised machine learning
classification by adopting a distant supervision
machine learning. Our approach automatically
collects training examples by labelling the relations
mentioned in distant supervision sources hosted in
semantic linked datasets.
A series of experiments have been conducted in this
research in order to select the algorithm that promoted
better relation extraction accuracy, and concluded
that SVM outperforms PAUM and KNN algorithms
in terms of F1-measure and the precision-recall
relation. Another important finding of our
experimental work is that the relation extraction
accuracy is improved when reducing the number of
relation instances that are not mentioned as a ground
fact in DBPedia or Freebase, which can be explained
by the fact that these instances are considered to be an
additional class instances that disrupt the balance
between True Positives and True Negatives in the
training datasets.
Domain-Specific Relation Extraction - Using Distant Supervision Machine Learning
101
The distant supervision training datasets sources
(DBPedia and Freebase) have a rich set of ground
facts for diverse domains such as, sports,
entertainment, politics and others, which confirms
that our approach is reusable and applicable for a
variety of domains.
Our plans for further work include investigating the
use of evolutionary algorithms for feature selection
and implementing semantic rules that infer implicit
facts from the knowledgebase to support financial
decision making.
REFERENCES
Akbik, A., and Broß, J., 2009. Wanderlust: Extracting
semantic relations from natural language text using
dependency grammar patterns. In: WWW Workshop.
Andrew, G., and Gao, J., 2007. Scalable training of L 1-
regularized log-linear models. In: Proceedings of the
24th international conference on Machine learning,
ACM, pp. 33-40.
boilerpipe, 2014. boilerpipe [online]. Google. Available at:
https://code.google.com/p/boilerpipe [Accessed 5/20
2014].
Costantino, M., Morgan, R.G., Collingham, R.J. and
Carigliano, R., 1997. Natural language processing and
information extraction: Qualitative analysis of financial
news articles. In: Computational Intelligence for
Financial Engineering (CIFEr), 1997., Proceedings of
the IEEE/IAFE 1997, IEEE, pp. 116-122.
Cunningham, H., 2005. Information extraction, automatic.
Encyclopedia of Language and Linguistics, 665-677.
Cunningham, H., Maynard, D. and Bontcheva, K., 2011.
Text processing with gate. Gateway Press CA.
Daelemans, W., and Hoste, V., 2002. Evaluation of
machine learning methods for natural language
processing tasks. In: 3rd International conference on
Language Resources and Evaluation (LREC 2002),
European Language Resources Association (ELRA).
fadyart.com, 2014. Finance Ontology[online]. fadyart.com.
Available at: http://fadyart.com [Accessed 4/30 2014].
Farkas, R., 2009. Machine learning techniques for applied
information extraction.
Farmakiotou, D., Karkaletsis, V., Koutsias, J., Sigletos, G.,
Spyropoulos, C.D. and Stamatopoulos, P., 2000. Rule-
based named entity recognition for Greek financial
texts. In: Proceedings of the Workshop on
Computational lexicography and Multimedia
Dictionaries (COMLEX 2000), Citeseer, pp. 75-78.
Garcia, M., and Gamallo, P., 2011. A Weakly-Supervised
Rule-Based Approach for Relation Extraction. In: XIV
Conference of the Spanish Association for Artificial
Intelligence (CAEPIA 2011), pp. 07-2011.
Han, J., Kamber, M. and Pei, J., 2011. Data mining:
concepts and techniques: concepts and techniques.
Elsevier.
Harris, S., Seaborne, A. and Prud’hommeaux, E., 2013.
SPARQL 1.1 query language. W3C Recommendation,
21.
Hmeidi, I., Hawashin, B. and El-Qawasmeh, E., 2008.
Performance of KNN and SVM classifiers on full word
Arabic articles. Advanced Engineering Informatics, 22
(1), 106-111.
Hong, G., 2005. Relation extraction using support vector
machine. In: Relation extraction using support vector
machine. Natural Language Processing–IJCNLP 2005.
Springer, 2005, pp. 366-377.
Jiang, X., Huang, Y., Nickel, M. and Tresp, V., 2012.
Combining information extraction, deductive reasoning
and machine learning for relation prediction. In:
Combining information extraction, deductive reasoning
and machine learning for relation prediction. The
Semantic Web: Research and Applications. Springer,
2012, pp. 164-178.
Khan, A., and Baig, A.R., 2015. Multi-Objective Feature
Subset Selection using Non-dominated Sorting Genetic
Algorithm. Journal of Applied Research and
Technology, 13 (1), 145-159.
Kohlschütter, C., Fankhauser, P. and Nejdl, W., 2010.
Boilerplate detection using shallow text features. In:
Proceedings of the third ACM international conference
on Web search and data mining, ACM, pp. 441-450.
Konstantinova, N., 2014. Review of Relation Extraction
Methods: What Is New Out There? In: Review of
Relation Extraction Methods: What Is New Out There?
Analysis of Images, Social Networks and Texts.
Springer, 2014, pp. 15-28.
Lehmann, J., and Völker, J., Perspectives on Ontology
Learning.
Li, Y., Bontcheva, K. and Cunningham, H., 2009. Adapting
SVM for data sparseness and imbalance: a case study in
information extraction. Natural Language Engineering,
15 (02), 241-271.
Li, Y., Miao, C., Bontcheva, K. and Cunningham, H., 2005.
Perceptron Learning for Chinese Word Segmentation.
In: Proceedings of Fourth SIGHAN Workshop on
Chinese Language Processing (Sighan-05), pp. 154-
157.
Li, Y., and Shawe-Taylor, J., 2003. The SVM with uneven
margins and Chinese document categorization. In:
Proceedings of The 17th Pacific Asia Conference on
Language, Information and Computation (PACLIC17),
pp. 216-227.
Min, B., Grishman, R., Wan, L., Wang, C. and Gondek, D.,
2013. Distant Supervision for Relation Extraction with
an Incomplete Knowledge Base. In: HLT-NAACL, pp.
777-782.
Mintz, M., Bills, S., Snow, R. and Jurafsky, D., 2009.
Distant supervision for relation extraction without
labeled data. In: Proceedings of the Joint Conference of
the 47th Annual Meeting of the ACL and the 4th
International Joint Conference on Natural Language
Processing of the AFNLP: Volume 2-Volume 2,
Association for Computational Linguistics, pp. 1003-
1011.
KDIR 2015 - 7th International Conference on Knowledge Discovery and Information Retrieval
102
Panchenko, A., Adeykin, S., Romanov, P. and Romanov,
A., 2012. Extraction of semantic relations between
concepts with knn algorithms on wikipedia. In:
Concept Discovery in Unstructured Data Workshop
(CDUD) of International Conference On Formal
Concept Analysis, Belgium, Citeseer, pp. 78-88.
Radzimski, M., Sánchez-Cervantes, J.L., Rodríguez-
González, A., Gómez-Berbís, J.M. and García-Crespo,
Á, 2012. FLORA–Publishing Unstructured Financial
Information in the Linked Open Data Cloud. In:
International Workshop on Finance and Economics on
the Semantic Web (FEOSW 2012), pp. 27-28.
Ruiz-Martínez, J.M., Valencia-García, R. and García-
Sánchez, F., 2012. Semantic-Based Sentiment analysis
in financial news. In: Proceedings of the 1st
International Workshop on Finance and Economics on
the Semantic Web, pp. 38-51.
Wang, T., Li, Y., Bontcheva, K., Cunningham, H. and
Wang, J., 2006. Automatic extraction of hierarchical
relations from text. Springer.
Witten, I.H., and Frank, E., 2005. Data Mining: Practical
machine learning tools and techniques. Morgan
Kaufmann.
Domain-Specific Relation Extraction - Using Distant Supervision Machine Learning
103