Tool and Evaluation Method for Idea Creation Support
Ryo Takeshima and Katashi Nagao
Department of Media Science, Graduate School of Information Science, Nagoya University, Nagoya, Japan
Keywords: Idea Creation, Idea Evaluation, Digital Poster, Meeting Support, Collaboration, Machine Learning.
Abstract: We have developed a new idea creation support tool in which (1) each idea is represented by a tree structure,
(2) the idea is automatically evaluated on the basis of the tree structure so that the relative advantages among
several alternative ideas is found, (3) the ideas are presented in a poster format, and (4) the ideas are shared
by multiple users so that the ideas can be quoted and expanded upon by individual users. In this work, we
explain the mechanisms of this tool, including the evaluation and poster conversion of ideas and collaborative
idea creation, and briefly discuss our plan for the future.
1 INTRODUCTION
Although it is well-known that idea creation and
sharing are beneficial, and a variety of tools for this
purpose have been developed, it is still very difficult
to automatically evaluate the quality of an idea.
Previous idea creation support tools have contributed
to the creation, organization, and visualization of
ideas, but they have not provided a function for
evaluating the created ideas. We have therefore
developed a method to relatively evaluate ideas by
assessing the appropriateness of the data representing
the ideas.
First, our developed tool helps users express the
idea in a tree structure and then creates a presentation
in a poster format on the basis of this structure. The
tool accesses the database of the idea, called the “idea
pool”, to search and share ideas in the tree structures.
The tree structure consists of a title to express the
idea, its description, relevant keywords and their
descriptions, images, Web pages, and videos as nodes
and is defined by the hierarchical relationship
between the nodes. Similar methods to express ideas
by tree or graph structures have been proposed, a
typical example of which is the Mind Map (Buzan,
T., 1990) (Beel and Langer, 2011).
To clearly visualize the idea expressed in a tree
structure, we developed a method of displaying the
idea by a poster representation. This method arranges
the contents of the nodes on the screen on the basis of
the tree structure of the ideas. The created poster is
interactive: any node (a block in the poster) can be
displayed in more detail when the user selects and
requests. This refinement does not merely enlarge the
block—it also compensates for a convenient portion
omitted by the area constraint and customizes the
content to fit the larger area. We call this “semantic
zooming.”
Using poster representations enables an easier
presentation of ideas, and hopefully additional ideas
will be generated by the presentation and subsequent
discussion. The poster can be shared by a group of
users, along with its underlying tree structure. By
reusing the shared poster, additional ideas of the
community members can be integrated with the
original idea.
Evaluating the ideas expressed in a tree structure
makes it possible to prioritize the ideas. When
additional resources are required to realize the idea,
the priority can be a guide for optimally allocating the
resources. Evaluation of the tree structure becomes
more accurate if nodes with more abstract content are
close to the root and nodes with more specific content
are closer to the leaf of the tree structure. This enables
a user who wants to know the outline to simply refer
to the node of the parent and a user who wants to
know specific examples and details to refer to the
child nodes of the tree structure. This tree structure is
considered suitable to describe well-organized ideas.
While there is currently no guarantee that the
excellence of the tree structure leads directly to the
excellence of ideas, we feel it is obvious that more
organized ideas can be found if the data is structured
appropriately.
Evaluation of the tree is currently being carried
out by analysis of the text in each node. First, the
evaluation method performs a morphological analysis
358
Takeshima, R. and Nagao, K..
Tool and Evaluation Method for Idea Creation Support.
In Proceedings of the 7th International Joint Conference on Knowledge Discovery, Knowledge Engineering and Knowledge Management (IC3K 2015) - Volume 1: KDIR, pages 358-363
ISBN: 978-989-758-158-8
Copyright
c
2015 by SCITEPRESS Science and Technology Publications, Lda. All rights reserved
on the text in the node, then it segments the text into
a word sequence, and finally it extracts its content
words. Each content word is converted into a vector
representation. This vectorization uses a machine
learning algorithm called word2vec (Mikolov et al.,
2013a) (Mikolov et al., 2013b). Wikipedia content
was used for the learning of word2vec. Using the
vectors of the word sequence, the method calculates
the semantic distance between the tree nodes and the
direction of abstraction based on the inner product of
the vectors. Each tree node is vectored as a mean
vector of the word vectors of its text content. If
semantic distances between the parent node and
several child nodes are closer, the tree structure is
better balanced, and if the inner product of the
difference vector of the parent node and its child node
and the difference vector of its child node and its
grandchild node is larger, the abstraction direction of
the tree is more semantically coherent. On the basis
of this vector calculation, we can determine the
relative advantages of the ideas in the tree structures.
Our idea creation support tool always calculates
the evaluation value of the idea and feeds the results
back to the user, thus helping the user create a more
sophisticated idea.
In this paper, first, we describe the support tool to
express an idea in a tree structure and the mechanism
to clearly visualize it by a poster. Next, as a means to
compare the ideas expressed in a tree structure, a
method of calculating the priority of the tree structure
is presented. Finally, in order to facilitate idea
creation in a group, we explain our meeting support
system, which presents a poster at a meeting and
enables the idea to be shared among all members. The
system aggregates the ideas evolved by each member
and integrates them into a larger tree structure.
2 IDEA CREATION SUPPORT
TOOL
2.1 Problem of Idea Creation
Idea creation is a central part of activities such as
research and product development. In idea creation, it
is important to know the entire content of the theme
being discussed, including peripherals such as
background and potential applications of ideas.
If we do not have an overall picture of the idea,
there is a danger of becoming too focused on the less
essential issues, which sometimes causes delays in
progress. If the idea creation is completed in a short
period, grasping the overall picture is relatively easy.
However, when idea creation requires a longer period
of time, it becomes difficult. In this latter case, it is
effective to hear the opinions of others in periodic
presentations. However, in a presentation, the focus
is often on the local problems of ideas, and it is
generally quite difficult to evaluate such a discussion
in a way that encompasses the orientation of overall
ideas.
2.2 Related Work
So far, there have been a few tools and methodologies
developed to support idea creation.
A typical example is the Mind Map (Buzan, T.,
1990) (Beel and Langer, 2011), which represents an
idea graphically by showing the relationship between
the elements of ideas in a tree structure. However, the
ability to create an intuitively understandable
expression depends on the author: the tool does not
automatically calculate the appropriateness of
representation and does not give any advice to
improve the content.
For collaborative idea creation, we typically
conduct meetings in order to develop the idea. There
are various systems in place to record the meeting
content in chronological order and allow members to
search and summarize the contents (Ishitoya, Ohira
and Nagao, 2009). However, we feel it is not
appropriate to use the time-series structure to
represent the content created during idea creation
activities because often several ideas are developed in
parallel and we sometimes reconsider previous ideas.
It is impossible to fully grasp the overall idea when
information is presented in sequence.
2.3 How to Support Idea Creation
Structurally describing the contents of an idea may
impose a large burden on the user, as it may entail not
just the description of notes and sketches but also an
awareness of the relationships between these.
Moreover, with the concept of the description, it starts
out as an abstract description and then the tree
structure typically divides into more specific
examples of the description. However, in the process
of refinement, another abstract description may be
derived, which may worsen the balance of the tree
structure. This makes it difficult to grasp the overall
picture. Therefore, in this work we focused on how
the presentation should be performed in order to best
explain the ideas to others.
In a typical presentation, visual aids such as slides
and posters are required. Therefore, we developed a
tool that can be used to create the tree structure of the
Tool and Evaluation Method for Idea Creation Support
359
idea easily and create a poster automatically. Figure 1
shows an example screen of the developed tool.
Posters created by this tool are called “digital posters”
and can include various contents such as text, images,
videos, and slides. Moreover, interactive operation of
the posters is possible, such as video playback and
slideshows.
Figure 1: Example screen of the developed tool.
The user can easily estimate the appropriateness
of the tree structure rather than simply creating the
tree structure data because the tree structure is
automatically converted into a poster by the system.
Moreover, since the user can directly use the outcome
of the idea creation in the presentation, the system
helps suppress any decrease in motivation for idea
creation.
2.4 Semantic Zooming
It is difficult to display the whole idea on one poster
as the tree structure of ideas is expanded and the
complexity of the idea increases. Therefore, the
system calculates the score of each node by using the
hierarchical relationships in the tree structure and the
attributes added to each node by the user. Then,
according to the score, the system presents the content
in a simplified manner. When the user wants to view
the nodes with the lower scores in more detail, he or
she just selects them in the poster and requests their
expansion. Expansion of the nodes does not just
magnify them visually—they are also semantically
refined in an operation called “semantic zooming”.
Semantic zooming displays the abbreviated content
of the selected node according to the size of the usable
area. An example of semantic zooming is shown in
Figure 2.
It is possible to arbitrarily change the degree of
omission according to the importance of the content
of each node, and it is also possible to adjust the
visibility of each node.
Figure 2: Semantic zooming.
Semantic zooming is available not only during a
presentation but also whenever the users who are
sharing a poster feel they want to.
3 IDEA EVALUATION METHOD
Sophisticated ideas can be expressed as a
semantically good balanced tree structure. The
semantically good balanced tree has parent and child
nodes that constitute an abstract/concrete relationship.
In other words, if the higher-level nodes of a tree
include abstract descriptions and the lower-level
nodes of the tree include concrete and detailed
description of the contents of their parent nodes, the
tree is semantically well-organized, i.e., the idea is
deeply constructed. While it sometimes happens that
interpretation of an abstract/concrete relationship
between two nodes changes by the context, the
meaning of that hierarchy will be well-defined if the
parent node has multiple child nodes. Therefore, it is
possible to calculate the semantic relevance of the
tree on the basis of the appropriateness of an
abstract/concrete relationship to a node having
multiple child nodes. It is also possible to evaluate the
quality of ideas on the basis of the evaluation of trees.
In this case, we consider only the node containing the
text and will find another mean for the nodes of the
images and video.
3.1 Conversion of Tree Node to Vector
To calculate the appropriateness of the
abstract/concrete relationship, our proposed method
converts the node to a vector representation that
enables numerical operation between nodes. For the
vector of the node, we utilize the vector
representation of the word, called “word2vec”
(Mikolov et al., 2013a) (Mikolov et al., 2013b).
word2vec uses a neural network called a “Skipgram
KDIR 2015 - 7th International Conference on Knowledge Discovery and Information Retrieval
360
along with the result of the machine learning from
text corpora.
First, using word2vec, the method obtains vectors
of words contained in the node. We used Wikipedia
text for the learning of word2vec. The number of
dimensions of the vector to be learned was set to 200.
For the input and output of the Skipgram neural
network, we used the basic form of the noun and the
verb, respectively. This is due to the fact that nouns
and verbs represent the characteristics of the contents
of the node. An intermediate layer of Skipgram is the
word vectors of interest, and on the basis of this, the
method calculates the vector of the node, as follows.
The statements contained in the node are
morphologically analysed to extract the basic form of
the nouns and the verbs. Using word2vec, the method
obtains a vector representation of the extracted word.

∈

w
|
w∈
(1)
By formula (1), the method calculates a mean
vector of words ( w ) contained in the
node(
) and treats it as a vector for the node.
Regression analysis is performed using a set of
average vectors of nodes in the multiple layers of the
tree structure.
As a result, it discovers the axis of the concept of
the word meaning that represents the
abstract/concrete relationship of the tree structure.
The distance between the vectors of the nodes
represents the degree of the difference of meaning of
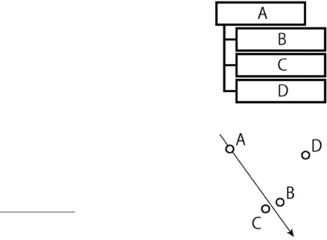
the descriptions of the nodes. As shown in Figure 3
and Figure 4, when three nodes A, B and C are close
to the axis of the abstract/concrete relationship, it can
be said that A has a description that is an abstract or
concrete version of the description of B and C. If node
D is separated by a greater distance from the axis, it
is considered that D has no strong abstract/concrete
relationship with A, B and C.
3.2 Priority of Idea
To determine superiority or inferiority among ideas,
it is judged whether the parent and child nodes of the
tree structure have an appropriate abstract/concrete
relationship. For a certain subtree, a preference in
terms of how appropriate the abstract/concrete
relationship is between the root node and its child
nodes is determined on the basis of the following
three evaluation values.
The preference of a subtree is higher if the average
error of the distance between the root node and its
child nodes is smaller. The distance between nodes
represents a difference of their
Figure 3: Tree structure of idea.
Figure 4: Abstract/concrete relationship.
meanings. For parent-child relationship between
nodes, when the distances between the parent
node and multiple child nodes are equal, it
indicates that the level of meaning between
child nodes is similar. In a subtree, the root node
A and its child nodes B, C, and D are like Figure
5, where nodes B and C have the same distance
from node A. This means B and C are more
appropriate as the child nodes of A. Meanwhile,
node D is separated by a greater distance from
node A in comparison with other child nodes.
This suggests that there is some problem with
connecting node D directly with node A.
The preference of a subtree is higher if the sum
of the distances of the child nodes from the axis
of the abstract/concrete relationship of the
subtree is smaller and the child nodes are close
to the higher concreteness position of the axis.
When the distances between the parent node and
its child nodes are almost equal, if the child
nodes are located on the axis representing the
abstract/concrete relationship of the subtree, the
content of the parent node is considered an
abstraction of the content of all the child nodes.
In Figure 4, the distance between the parent
node A and the child nodes B, C, D are equal,
and nodes B and C are close to the axes
representing the abstract/concrete relationship,
so the content of node A is an abstract of the
contents of B and C. While the distance between
A and D is the same as that of the other child
Tool and Evaluation Method for Idea Creation Support
361
nodes, it is located further away from the axis
representing the abstract/concrete relationship.
Therefore, we assume that node D has
something wrong in its content or its position in
the tree.
The preference of a subtree is higher if the
cosine similarity between the axis representing
the abstract/concrete relationship of subtree A
and the axis representing the abstract/concrete
relationship of subtree B whose root node is a
child node of A is larger. If the abstract/concrete
relationship between parent and child nodes of
the subtree and that between the child node and
the grandchild nodes is similar, it is considered
to have an appropriate abstract/concrete
relationship between the root node and its
grandchild nodes in the subtree.
Figure 5: Distance between nodes.
An evaluation value of the tree structure is
calculated for comprehensively evaluating the above
three features. When several ideas are being
considered, or when several alternatives are possible
to embody a certain idea, the tree structure of the idea
is evaluated to determine the relative advantages of
the alternative ideas by using this formula.
4 COLLABORATIVE IDEA
CREATION
4.1 Quotation of Ideas
Members of a group can share posters used at the
presentation through a common server. When the
poster is shared, its underlying tree structure of ideas
is also automatically shared, and then it becomes
quotable.
Each member has his or her own idea pool in which
they can store the idea(s) they have created. The ideas
that others have shared are stored in a separate pool.
A user can quote ideas by combining some of the
ideas of the others with his or her own. In this
Figure 6: Copy and paste of subtree.
operation, the entire or part of a tree structure is
copied and pasted as a child of a node of the other tree
structure as shown in Figure 6.
Two types of copy are possible: one, a quotation
of the idea itself (hot copy), and two, a duplication of
ideas that have been shared (cold copy).
With hot copy, when the original creator of the
ideas that are shared edits them, the editing result is
reflected in the copied nodes. However, a quoter
cannot edit the content of the copied nodes. Moreover,
the quoter is able to know when information has been
edited by the original creator and can decide whether
to reflect the result of that edit. After browsing the
results of editing, the quoter can cancel the change
and restore the content to that of before editing.
With cold copy, a quoter can edit the content of
the idea that was copied and quoted. It is possible to
notify the original creator when the quoter has edited
it. Then, the original creator can refer to the results of
editing and decide whether or not to modify the idea.
This mechanism of quoting ideas makes
collaborative idea creation by a group more feasible.
4.2 Synergy of Idea Creation
Idea creation by a group proceeds by the group
members sharing, quoting, and expanding ideas.
However, in many cases, members get caught up on
insignificant details, and the idea is likely to diverge.
By integrating and evaluating ideas that have evolved
separately, the proposed system attempts to converge
several ideas to create a more sophisticated one.
For this purpose, first, a tree structure is integrated
on the basis of quotation history. For hot copy, the
quoted results are shared when they are used in the
presentation. If the version of the quoted idea is not
changed, it is possible to integrate the idea
automatically. If the original idea has been edited, the
system integrates the original and quoted ideas after
some minor editing. In the case of cold copy, the
original idea has been edited, so the system cannot
perform a simple integration. The system splits the
KDIR 2015 - 7th International Conference on Knowledge Discovery and Information Retrieval
362
tree structure, or the original creator adopts a change,
and then it is possible to integrate.
After ideas are integrated, the resulting tree
structure can be very complex. The system therefore
uses the tree structure evaluation mechanism to
evaluate the tree and help users simplify the idea.
First, the system individually evaluates the
branched subtrees and identifies their relative
advantages. Also, during the presentation, the system
prompts users to vote on parts of the poster content
and assigns these additional evaluation values to the
nodes of the tree.
The system selects and adjusts the idea on the
basis of its evaluation of the tree structure and
presentation.
Idea selection is done by choosing the subtree that
has the highest value from among an assortment of
subtrees. Idea adjustment is done by correcting the
position or modifying the contents of the node as the
evaluation value of the tree structure becomes higher.
Our proposed idea creation support tool is
designed to help users perform these operations easily.
The system can hide the less important subtrees by
adding the attribute to their root nodes. The
evaluation value is recalculated after editing the
contents and relocating the nodes.
4.3 Task Management
Meetings for idea creation can include managing
tasks and keeping task of the progress required to
achieve the idea. In such cases, the tasks include
research to refine the idea and prototyping to embody
the idea.
The system inserts a node that represents the
content and the progress of the task to the node of the
corresponding idea. Each group member uses this
meeting support function to keep track of the
achievements and priority level of his/her tasks.
The degree of achievement depends on how much
refinement and implementation of the idea have been
achieved, and priority is quantified by whether the
task contributes to any part of the tree structure of
ideas (the node that is closer to the root node has a
higher priority).
The productivity of meetings is greatly improved
since the refinement of ideas and the task
management are carried out at the same time.
5 FUTURE PLAN
The primary focus of our future work will be the
operation and evaluation of the developed tool. On
the basis of operational experience with other tools
(Ishitoya, Ohira and Nagao, 2009), we will perform a
three-month trial and refine the tool. After that, we
will deploy the tool in a more ordinary situation for
more than half a year.
In particular, we will evaluate the effectiveness of
the evaluation of the idea by the tree structure. We
will explore whether the evaluation of the
abstract/concrete level in the hierarchy of the tree
structure contributes to a reasonable indication of
ideas that have been well-organized.
We innovate human creative activities by the
practical application of the idea creation support tool
that is the result of this study.
Detailed data on the various intellectual activities
of human beings collected by our system can be made
available by integrating an idea creation support tool
such as the Mind Map, a presentation tool such as
PowerPoint, or a task management tool such as
groupware. The collected data is a good guide for
considering the relationship between structures of
ideas and ease of understanding presentation, for
enabling idea integration by adjusting tree structures,
and for optimizing design and management methods
of tasks for the implementation of ideas.
In the near future, the accuracy of machine
learning will improve, which will lead to even better
support of idea creation and implementation.
REFERENCES
Buzan, T., 1990. Use Both Sides of Your Brain. Plume
Books.
Beel, J. and Langer, S., 2011. An Exploratory Analysis of
Mind Maps. In Proceedings of the 11th ACM
Symposium on Document Engineering, pp. 81-84.
Mikolov, T., Chen, K., Corrado, G. and Dean, J., 2013.
Efficient Estimation of Word Representations in Vector
Space. arXiv preprint, arXiv:1301.3781.
Mikolov, T., Sutskever, I., Chen, K., Corrado, G. S. and
Dean, J., 2013. Distributed Representations of Words
and Phrases and their Compositionality. In Burges, C.
J. C., Bottou, L., Welling, M., Ghahramani, Z. and
Weinberger, K. Q. (eds), Advances in Neural
Information Processing Systems, pp. 3111-3119.
Ishitoya, K., Ohira, S. and Nagao, K. 2009.
TimeMachineBoard: A Casual Meeting System
Capable of Reusing Previous Discussions. In
Proceedings of the Fifth International Conference on
Collaboration Technologies.
Tool and Evaluation Method for Idea Creation Support
363