Posgram Driven Word Prediction
Carmelo Spiccia, Agnese Augello and Giovanni Pilato
Istituto di Calcolo e Reti ad Alte Prestazioni (ICAR), Italian National Research Council (CNR),
viale delle scienze, edificio 11, Palermo, Italy
Keywords: Word Prediction, Posgram, Part of Speech Prediction, Two Steps Prediction, Missing Word, Sentence
Completion.
Abstract: Several word prediction algorithms have been described in literature for automatic sentence completion
from a finite candidate words set. However, at the best of our knowledge, very little or no work has been
done on reducing the cardinality of this set. To address this issue, we use posgrams to predict the part of
speech of the missing word first. Candidate words are then restricted to the ones fulfilling the predicted part
of speech. We show how this additional step can improve the processing speed and the accuracy of word
predictors. Experimental results are provided for the Italian language.
1 INTRODUCTION
Predicting the missing word of an incomplete
sentence through algorithms is a challenging task
which has applications in Text Autocompletion,
Speech Recognition and Optical Text Recognition.
Both automatic and semi-automatic methods have
been described in literature. A semi-automatic word
prediction software was Profet (Carlberger et al,
1997). Being developed in 1987, it employed
unigrams and bigrams. More recent approaches
include neural networks (Mnih and Teh, 2012)
(Mikolov et al, 2013), syntactic dependency trees
(Gubbins and Vlachos, 2013) and Latent Semantic
Analysis (LSA) (Bellegarda, 1998) (Zweig and
Burges, 2011) (Spiccia et al, 2015).
In 2011 a training dataset and a questionnaire have
been developed by Microsoft Research for its
Sentence Completion Challenge (Zweig and Burges,
2011). Each question is composed by an English
sentence having a missing word and by five
candidate words as possible answers. This
questionnaire simplifies the task in several ways.
First of all, the five possible answers to a given
question always have the same part of speech (e.g.
adjective). Secondly, some parts of speech are never
present in the answers set, stopwords in particular:
conjunctions, prepositions, determinants and
pronouns. Thirdly, in a real application the entire
dictionary should be considered, not just five words.
Therefore, real word applications involve processing
a larger and more heterogeneous set of candidate
words. To handle the general task better, we propose
an innovative methodology for predicting a missing
word of a sentence. We focused our study on the
Italian language, even though the proposed approach
is in principle general. The methodology consists in
two steps. In the first step the number of candidate
words is reduced. In particular, a novel algorithm
based on posgrams has been developed for
predicting the part of speech of the missing word.
Candidate words can therefore be reduced to the
ones fulfilling the predicted part of speech. In the
second step a word predictor is applied on this
reduced words set. This can be accomplished by
using any of the word prediction algorithms
described in literature. The following sections
describe the proposed methodology in more detail,
which is also illustrated in fig. 1.
Section 2 demonstrates why the two steps
prediction is advantageous: formulae for the
estimation of the success probability of the word
prediction and for the estimation of the execution
time reduction are derived.
Section 3 quantifies the advantages for the
Italian language: a tagged corpus is parsed and
statistics about each part of speech are collected; the
a priori probability of each tag is estimated; the for-
mulae derived in section 2 are then used to estimate
the gains in terms of accuracy and execution time.
Section 4 describes how the part of speech
prediction step can be accomplished: a novel
algorithm based on posgrams is proposed.
Spiccia, C., Augello, A. and Pilato, G..
Posgram Driven Word Prediction.
In Proceedings of the 7th International Joint Conference on Knowledge Discovery, Knowledge Engineering and Knowledge Management (IC3K 2015) - Volume 1: KDIR, pages 589-596
ISBN: 978-989-758-158-8
Copyright
c
2015 by SCITEPRESS Science and Technology Publications, Lda. All rights reserved
589
Figure 1: The two steps word prediction methodology.
Section 5 describes how to use the information
achieved in the first step to predict the missing word:
a training procedure is described to assert which is
the best action to take for a given predicted part of
speech.
Section 6 shows the final results: the accuracy of
the part of speech prediction algorithm is compared
to some baseline methods; the accuracy of the two
steps word prediction method is compared to the
single step method on a novel questionnaire of
incomplete Italian sentences.
2 TWO STEPS PREDICTION OF
A MISSING WORD
Given a sentence having a missing word, predicting
the part of speech of the word before predicting the
word itself may be convenient. To quantify this
advantage, a question is created on the basis of that
incomplete sentence, by adding n candidate words as
possible answers. Let n
c
be the number of candidate
words having the part of speech c. Let us suppose
that for any part of speech the number of words in
the dictionary having that part of speech is far
greater than n. When building the answer set, the
effect of choosing a word on the probability that the
next word will have the same part of speech can be
therefore ignored. We will show that this hypothesis
is conservative. If the part of speech of the missing
word is c, the probability that the answers set
contains k words having the same part of speech is:
P(n
c
= k | c)
n 1
k 1
P(c)
k 1
(1 P(c))
n k
(1)
Suppose c is known when answering the
question. This gives an advantage to the word
predictor. Let S be the success at predicting the
word. The probability of the event, by choosing a
random word among the answers having the part of
speech c, is:
P(S | c) =
P(n
c
= k | c)
k
k =1
n
(2)
The success probability, regardless of c, will be:
P(S) = P(c)P(S | c)
cC
(3)
where C is the set of the parts of speech. If the
previous hypothesis is false, e.g. if the number of
words of the dictionary having a specific part of
speech is very small or if n is huge, the above
formula will give a lower bound estimate of the
success probability. This happens because the
components P(n
c
=k|c) are increasingly overesti-
mated as k grows and they are weighted by the
inverse of k.
DART 2015 - Special Session on Information Filtering and Retrieval
590
Knowing the part of speech in advance gives two
advantages. First of all, accuracy is improved since:
P(S)
1
k
(4)
The second advantage is the required execution
time: by reducing the cardinality of the answers set,
less candidate words must be evaluated by the
prediction algorithm. In the next section we analyze
these advantages in detail for the prediction of the
missing word of an Italian incomplete sentence.
3 TWO STEPS PREDICTION FOR
THE ITALIAN LANGUAGE
In order to apply the two steps prediction model to
the Italian language, we consider the WaCky Italian
Wikipedia Corpus (Baroni et al, 2009), freely
available in the CoNLL format. It uses two tagsets
conforming to the EAGLES standard (Medialab,
2009) (Stubbs, 2007): a coarse-grained one (14 tags)
and a fine-grained tagset (69 tags). The first tagset is
shown in Table 1. It assigns a letter to each part of
speech.
For testing the model, we set to five the number
n of candidate words per question. Table 2 shows,
for each part of speech c, from left to right: the tag;
the a priori probability P(c), computed by analyzing
the corpus; the probability P(n
c
=k|c) of obtaining k
answers having the same part of speech of the
missing word, for k = 1 … 5, conditioned to c being
Table 1: The coarse-grained tagset.
Tag Part of speech Tag Part of speech
A Adjective N Number
B Adverb P Pronoun
C Conjunction R Article
D Determinant S Noun
E Preposition T Predeterminant
F Punctuation V Verb
I Interjection X Other
that part of speech; the probability of success P(S|c)
at predicting the missing word by choosing among
the answers having part of speech c, conditioned to c
being the part of speech of the missing word; the
probability of c being the part of speech of the
missing word and to succeed, at the same time, at
predicting that word.
The sum of the values of the last column is
0.7102. It represents the probability P(S) of success
at predicting the missing word by using the two
steps methodology. This means that by solving the
problem of predicting the part of speech of a missing
word, the problem of predicting the word among
five possible answers is solved with at least 71% of
accuracy. To provide a comparison, the current state
of the art single step algorithm achieves an accuracy
of 58.9% at predicting the missing word among five
possible choices (Zweig and Burges, 2011).
Table 2: Probabilities related to the construction and usage of a five-answers question.
c P(c) P(n
c
=1|c) P(n
c
=2|c) P(n
c
=3|c) P(n
c
=4|c) P(n
c
=5|c) P(S|c) P(c)P(S|c)
S 0.2803 0.2683 0.4180 0.2442 0.0634 0.0062 0.5000 0.1401
E 0.1712 0.4719 0.3898 0.1207 0.0166 0.0009 0.6726 0.1151
F 0.1380 0.5521 0.3536 0.0849 0.0091 0.0004 0.7320 0.1010
V 0.1030 0.6474 0.2974 0.0512 0.0039 0.0001 0.7974 0.0821
A 0.0837 0.7051 0.2575 0.0353 0.0021 0.0000 0.8345 0.0698
R 0.0799 0.7166 0.2490 0.0325 0.0019 0.0000 0.8418 0.0673
B 0.0399 08498 0.1412 0.0088 0.0002 0.0000 0.9205 0.0367
C 0.0381 0.8560 0.1357 0.0081 0.0002 0.0000 0.9239 0.0352
P 0.0305 0.8834 0.1112 0.0053 0.0001 0.0000 0.9391 0.0287
N 0.0245 0.9056 0.0910 0.0034 0.0001 0.0000 0.9511 0.0233
D 0.0093 0.9631 0.0364 0.0005 0.0000 0.0000 0.9813 0.0092
T 0.0013 0.9947 0.0053 0.0000 0.0000 0.0000 0.9974 0.0013
X 0.0002 0.9990 0.0010 0.0000 0.0000 0.0000 0.9995 0.0002
I 0.0000 0.9998 0.0002 0.0000 0.0000 0.0000 0.9999 0.0000
Posgram Driven Word Prediction
591
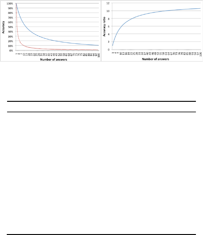
Figure 2: On the left: accuracy of prediction strategies as the size of the answers set grows; single step (dotted red) and two
steps (blue) random choice word predictors are compared. On the right: accuracy ratio between the two steps and the single
step prediction strategies.
Table 3: Parts of speech a priori probabilities and distribution.
C P(c) Words Words % P(c) · (Words %)
S 0.2803 44528 42.74% 11.98%
E 0.1712 32575 31.27% 5.35%
F 0.1380 25242 24.23% 3.34%
V 0.1030 1889 1.81% 0.19%
A 0.0837 751 0.72% 0.06%
R 0.0799 128 0.12% 0.01%
B 0.0399 116 0.11% 0.00%
C 0.0381 97 0.09% 0.00%
P 0.0305 93 0.09% 0.00%
N 0.0245 79 0.08% 0.00%
D 0.0093 18 0.02% 0.00%
T 0.0013 11 0.01% 0.00%
X 0.0002 7 0.01% 0.00%
I 0.0000 5 0.00% 0.00%
Fig. 2 shows the obtainable advantage in terms
of accuracy at different answers set size n for the
Italian language. The graph on the left compares the
two steps model with the single step model: both
models use random choice for word prediction, but
the first model performs a part of speech prediction
step to reduce the number of answers. Accuracy
levels are reported. The graph on the right shows the
ratio between the accuracy of the first model and of
the second model. The two steps model always
outperforms the single step model, with up to 10
times or greater accuracy.
Analyzing the first 200,000 words of the corpus,
the number of unique words is 104,174, while the
unique word-tag pairs are 105,539. Therefore, for a
very limited number of words, up to 1.31%, more
than one part of speech may apply. Table 3 shows,
for each part of speech: the tag; the a priori
probability; the number of unique words in the
corpus; the percentage of unique words in the
corpus; the product of the a priori probability with
the percentage of unique words. The sum of the
values of the last column is 20.95%. It represents the
average percentage of the answers set to be
processed when the set is a casual sample of the
whole dictionary. This can lead to a speedup of
about 5x (e.g. for LSA five times less scalar
products must be computed).
4 PART OF SPEECH
PREDICTION
In order to predict the part of speech of the missing
word, the first 200,000 words of the corpus have
been parsed with a moving window: the frequency
of every sequence of one to five parts of speech has
DART 2015 - Special Session on Information Filtering and Retrieval
592
Table 4a: Most common posgrams by length and their frequencies on the first 200,000 words of the WaCky Italian
Wikipedia Corpus. The length spans from one to three.
1-posgram Freq. 2-posgram Freq. 3-posgram Freq.
S 28039 ES 10072 SES 5201
E 16283 SF 7336 ESE 2657
F 13600 SE 7312 ESF 2587
V 10692 RS 6278 RSE 2260
A 8574 SA 4142 ESA 1678
R 8169 SS 3001 SAF 1663
B 4033 VE 2944 VRS 1606
C 4021 AF 2538 VES 1600
P 3175 SV 2385 ERS 1341
N 2200 AS 2277 SSF 1317
Table 4b: Most common posgrams by length and their frequencies on the first 200,000 words of the WaCky Italian
Wikipedia Corpus. The length spans from four to five.
4-posgram Freq. 5-posgram Freq.
ESES 1835 SESES 844
RSES 1639 ESESF 529
SESF 1546 VRSES 457
SESE 1191 ESESE 453
SESA 850 RSESF 421
ESAF 733 SESAF 379
VRSE 713 RSESE 372
SAES 641 ERSES 366
ASES 536 VESES 336
SESS 519 RSESA 288
Table 5: Posgram windows, up to the length of five, and their centrality.
Window Centrality Window Centrality Window Centrality
X 1 XX_ 1 _XXXX 1
_
X 1 _XXX 1 X_XXX 2
X
1 X_XX 2 XX_XX 3
_
XX 1 XX_X 2 XXX_X 2
X
_
X 2 XXX_ 1 XXXX_ 1
been saved to a lookup table. We will refer to these
sequences as “posgrams” (Stubbs, 2007) (Lindquist,
2009). The most frequent ones are reported in Tables
4a-b.
Given a sentence having a missing word, the part
of speech can be predicted by using the posgrams
lookup table. The window of five words centered on
the missing word is considered: each of the known
words is replaced by the corresponding most
common part of speech; the predicted part of speech
of the missing word is the one which maximizes the
frequency of the posgram. In order to improve the
prediction accuracy in case of infrequent or absent
posgrams in the corpus, an ad-hoc smoothing
algorithm has been developed. First of all we define
the “centrality” of a window with respect of the part
of speech to be predicted as the number of parts of
speech, plus one, between the missing element and
the nearest extremity of the window. Table 5 shows
the centrality of each window up to size five. The
part of speech to be predicted is represented by an
underscore; the known parts of speech are
represented by an “X”.
The pseudo-code on fig. 3 illustrates the
smoothing algorithm. It takes in input three
parameters: the maximum size p of a posgram; the
extended window composed by the concatenation of
the p – 1 tags on the left of the missing word, an
Posgram Driven Word Prediction
593
Function predictPos(maxPosgramSize, window, weights)
bestScore = 0
mostProbablePos = "S"
w = 0
For size = maxPosgramSize To 1
For Each pos In tagset
subwindows = findSubwindows(window, size)
For Each subwindow In subwindows
posgram = Replace "_" In window With pos
scores[pos] += frequency(posgram)
* centrality(subwindow)
* weights[w]
If scores[pos] >= bestScore Then
bestScore = scores[pos]
mostProabablePos = pos
End If
End For Each
If bestScore > 0 Or w > 0 Then
w = w + 1
If w = length(weights) Then Break
End if
End For
Return mostProbablePos
End Function
Figure 3: Pseudocode of the smoothing algorihtm employed for part of speech prediction.
underscore and the p – 1 tags on the right of the
missing word; a vector α of weights. Subwindows of
progressively lower size are processed: the score of
each part of speech is incremented for each posgram
found in the lookup table. The increment is the
product of: the frequency of the posgram; the
centrality of the subwindow; the weight
α
i
, where i
is the difference between the size of the first
posgram matched and the size of the current
subwindow.
5 WORD PREDICTION
Given the predicted part of speech, this information
can be used to improve the accuracy of the word
prediction. First of all, it’s convenient to assert the
best action to take for each possible part of speech of
the tagset. Therefore, the training phase is split into
two steps. In the first step, the part of speech
predictor and the word predictor are trained. In the
second step, a questionnaire is automatically created
from the corpus: from each sentence a question is
built, by removing a random word; the other
candidate words are chosen randomly from the
nearby sentences; these words and the removed
word constitute the answers set for the question. For
each question the part of speech is predicted and the
word predictor is invoked on the full answers set.
Afterwards, the word predictor is invoked again on
the restricted answers set composed by the words
having the predicted part of speech. Results statistics
are collected and aggregated by the predicted part of
speech. After this second step of training, the
achieved statistics provide information on which
action to take. In particular they tell whether to
restrict the answers set to the predicted part of
speech, i.e. if the prediction of that part of speech is
sufficiently reliable to actually improve word
prediction.
6 RESULTS
The proposed part of speech prediction method
employed on the first step is not directly comparable
with general Part of Speech Tagging (POST)
algorithms. In fact those algorithms are concerned
with finding the most probable sequence of parts of
speech for a complete sentence. While several
approaches has been described in literature for
handling unknown words, i.e. words not present in
the training dataset, no studies have been done, at
the best of our knowledge, on handling missing
words. POST algorithms address a different task
since they assume that no words are missing in the
middle of the sentence. For unknown words, they
generally take advantage of the word morphology,
e.g. prefixes or suffixes, for predicting the part of
speech. This cannot be done for missing words.
Therefore, table 6 compares the proposed part of
speech prediction method with two very baseline
methods: random choice and choice of the most
probable part of speech, i.e. noun (“S”). The best
results are obtained with p = 5,
α
0
= 0.5,
α
1
= 16.7,
α
2
= 0.2, achieving an accuracy of 43.2%.
DART 2015 - Special Session on Information Filtering and Retrieval
594
Table 6: Accuracy of various part of speech prediction
methods for missing words.
Method Accuracy
Posgrams 43.2%
Always noun 28.0%
Random choice 7.1%
State of the art algorithms for word prediction
reported in literature have been tested with the
Microsoft Sentence Completion Challenge dataset.
This is currently the only complete training-test
dataset specifically developed for measuring
automatic sentence completion algorithms.
However, because of its limits exposed in section 1
(uniformity of the part of speech in the answer set of
any given question and unrepresented parts of
speech among missing words), this dataset could not
be employed. Therefore, in order to test the full
word prediction methodology a new questionnaire
has been built. Its format is the same of the one used
for the Microsoft Sentence Completion Challenge:
each question is composed by a sentence having a
missing word and by five candidate words as
answers. However our questionnaire is more
general, since they address the aforementioned
limits. First of all, each word of the same answers
set may belong to a different part of speech.
Secondly, the missing word can belong to any part
of speech, including: conjunctions, prepositions,
determinants and pronouns. The questionnaire has
been built by selecting 368 random Italian sentences
from the Paisà (Lyding et al, 2014) dataset. From
each sentence a question is built, by removing a
random word; the other candidate words are chosen
randomly from the nearby sentences; these words
and the removed word constitute the answers set for
the question. We employed three different word
prediction methods for the second step: ngrams,
Latent Semantic Analysis (LSA) (Spiccia et al,
2015) and random choice. Table 7 shows the results
in term of accuracy.
Table 7: Accuracy of various word prediction methods on
the Italian questionnaire, with (2 steps) and without (1
step) employing the proposed part of speech prediction
algorithm.
Method Accuracy
ngrams (2 steps) 51.1%
ngrams (1 step) 50.3%
LSA (2 steps) 30.7%
Random choice (2 steps) 29.3%
LSA (1 step) 25.5%
Random choice (1 step) 20.4%
Each two steps method always provides better
results than its single step counterpart. Since any
part of speech, except punctuation, is admissible in a
question answers set, most stopwords such as
conjunctions, prepositions and determiners had to be
included during the training phase. This has
undermined the quality of the semantic spaces
employed by LSA, leading to lower results than
those reported in literature for English. Furthermore,
the Italian language is more agglutinative than
English: for example, the word “accettandoglielo”
stands for “accettando esso da lui”, which means
“accepting it from him”; one verb, two pronouns and
a preposition are agglutinated into a single word.
This hinders the performance of methods, like LSA,
that attempts to find a single fixed-length encoding
for such words: in fact, some information will be
inherently lost, unless an ad-hoc preprocessing step
is taken to split them. Since these kinds of words are
very frequent in Italian, the obtained results are not
directly comparable with those reported for the
Microsoft Completion Challenge. Even though the
problem negatively affects the two steps
methodology too, we purportedly have not added the
preprocessing step: this has allowed us to assess a
lower bound for the prediction accuracy achievable
by the methodology in the worst-case scenario.
Results show that word prediction methods with
lower accuracy exhibit greater improvements
(+8.9% for Random choice) than methods with
higher accuracy (+0.8% for ngrams). In general, the
greater the accuracy of the word prediction method,
the greater the part of speech prediction accuracy
step is required to be advantageous. While this is not
surprising, it should be noted that even a 50.3%
accuracy word prediction algorithm (i.e. ngrams)
can be improved by a 43.2% accuracy part of speech
predictor: in fact, depending on the predicted part of
speech the accuracy of the first step may be greater
and therefore still advantageous; when this is not the
case the part of speech prediction will be
automatically discarded, as described in section 5.
7 CONCLUSION
In this work we presented a word prediction
methodology based on posgrams. The proposed
approach differs from other algorithms for
introducing an additional preparatory step aimed at
predicting the part of speech of the missing word.
The number of candidate words can therefore be
reduced accordingly. This has lead to an absolute
accuracy improvement of up to 8.9% as shown by
Posgram Driven Word Prediction
595
the experimental results. The methodology has been
designed to automatically assess the reliability of the
first step prediction: this allows to obtain small
improvements even when the average accuracy of
the part of speech predictor is relatively low. Future
work will focus on adding preprocessing, improving
the part of speech prediction step and exploiting
other word prediction algorithms for the second step.
REFERENCES
Baroni, M., Bernardini, S., Ferraresi, A., & Zanchetta, E.,
2009. The WaCky wide web: a collection of very large
linguistically processed web-crawled corpora. In
Language resources and evaluation, Vol. 43, no. 3,
209-226.
Bellegarda, J.R., 1998. A multispan language modeling
framework for large vocabulary speech recognition. In
Speech and Audio Processing, IEEE Transactions on,
Vol. 6, no. 5, 456-467.
Calzolari, N., McNaught, J., Zampolli, A., 1996. EAGLES
Final Report: EAGLES Editors’ Introduction. EAG-
EB-EI. Pisa, Italy.
Carlberger, A., Carlberger, J., Magnuson, T., Hunnicutt,
S., Palazuelos-Cagigas, S.E., Navarro, S.A., 1997.
Profet, A New Generation of Word Prediction: An
Evaluation Study. In Proceedings, ACL Workshop on
Natural language processing for communication aids,
23-28.
Ferraresi, A., Zanchetta, E., Baroni M., Bernardini S.,
2010, Semantically and Syntactically Annotated
Italian Wikipedia. WaCky Corpora. University of
Bologna. http://wacky.sslmit.unibo.it/doku.php?id=
corpora (Accessed on: 1
st
of July 2015).
Gubbins, J., Vlachos, A., 2013. Dependency Language
Models for Sentence Completion. In EMNLP. 1405-
1410.
Lindquist, H., 2009. Corpus Linguistics and the
Description of English. Edinburg University Press,
102-103.
Lyding, V., Stemle, E., Borghetti, C., Brunello, M.,
Castagnoli, S., Dell’Orletta, F., Dittmann, H., Lenci,
A., Pirrelli, V., 2014. The PAISA Corpus of Italian
Web Texts. In Proceedings of the 9th Web as Corpus
Workshop (WaC-9), 14th Conference of the European
Chapter of the Association for Computational
Linguistics, 36-43.
Medialab, 2009, Tanl POS Tagset, University of Pisa.
http://medialab.di.unipi.it/wiki/Tanl_POS_Tagset
(Accessed on: 1
st
of July 2015).
Mikolov, T., Chen, K., Corrado, G., Dean, J., 2013.
Efficient estimation of word representations in vector
space. arXiv preprint, arXiv:1301.3781.
Mnih, A., Teh, Y.W., 2012. A fast and simple algorithm
for training neural probabilistic language models.
arXiv preprint, arXiv:1206.6426.
Spiccia, C., Augello, A., Pilato, G., Vassallo, G.: A word
prediction methodology for automatic sentence
completion. In Semantic Computing (ICSC), 2015
IEEE International Conference on, 240-243.
Stubbs, M., 2007. An example of frequent English
phraseology: distributions, structures and functions. In
Language and Computers, Vol. 62, no. 1, 89-105.
Zweig, G., Burges, C.J.C., 2011. The Microsoft Research
Sentence Completion Challenge. Microsoft Research
Technical Report. MSR-TR-2011-129.
DART 2015 - Special Session on Information Filtering and Retrieval
596