Learning Text Patterns to Detect Opinion Targets
Filipa Peleja and Jo
˜
ao Magalh
˜
aes
NOVA LINCS, Departamento de Inform
´
atica, Faculdade de Ci
ˆ
encias e Tecnologia,
Universidade Nova de Lisboa, Lisboa, Portugal
Keywords:
Sentiment Analysis, Opinion Mining, Opinion Targets.
Abstract:
Exploiting sentiment relations to capture opinion targets has recently caught the interest of many researchers.
In many cases target entities are themselves part of the sentiment lexicon creating a loop from which it is diffi-
cult to infer the overall sentiment to the target entities. In the present work we propose to detect opinion targets
by extracting syntactic patterns from short-texts. Experiments show that our method was able to successfully
extract 1,879 opinion targets from a total of 2,052 opinion targets. Furthermore, the proposed method ob-
tains comparable results to SemEval 2015 opinion target models in which we observed the syntactic structure
relation that exists between sentiment words and their target.
1 INTRODUCTION
Sentiment analysis is a research area that has been
quite active in the last decade. From the first tech-
niques of review analysis (Pang et al., 2002), to more
recent approaches of tweet analysis (Bollen, 2010;
Diakopoulos and Shamma, 2010), the field has pro-
gressed much. This is intrinsically related to the pop-
ularity of the Web which led to changes in peoples
habits and as a consequence, we have observed an
amount of opinionated text data that previously to
these changes did not exist. Sentiment analysis ap-
proaches can be divided into three levels of granular-
ity: document level (Ghorbel and Jacot, 2010; Pang
and Lee, 2004), sentence level (Riloff and Wiebe,
2003) and aspect level. Aspect level sentiment analy-
sis provides a finer-grain analysis as it aims to identify
different opinion components. Hence it enables one to
identify likes/dislikes that target specific product fea-
tures.
The analysis of opinionated text also known
as subjective text involves the detection of words,
phrases or sentences that express a sentiment. Al-
though this area has been researched in academia, the
problem is still far from being solved (Liu, 2012).
One of the main challenges is that opinionated lan-
guage varies over a broad range of discourse, and a
system with a fixed vocabulary will not be enough
to represent users’ opinion. Another challenge is to
identify relevant mentions to opinion targets which
are accompanied by related sentiment words. From
an algorithmic perspective, the challenge is to anal-
yse how these sentiment words affect the public im-
age of opinion targets. Previous work (Hu and Liu,
2004; Liu, 2012) has introduced significant advances
in detecting product aspects or features. It is rea-
sonable to apply similar methods to detect sentiment
words influence in entities’ reputation. However, un-
like products opinions that target specific entities are
not structured around a fixed set of aspects or features
(Albornoz et al., 2012). Users comments in the Twit-
ter social network is limited to a maximum of 140
characters and each tweet is usually composed of a
single sentence. Hence, we take the assumption that
the sentiment expressed in a tweet is composed within
that single sentence (Pak and Paroubek, 2010). In
tweets the opinion targets is quite diverse since there
is a large range of different topics: named entities and
noun phrases that are the object of a sentiment.
Opinion target detection is an important task, in
particular, to evaluate how impacts the reputation of a
product that is targeted by an opinion. Opinion target
is usually the entity that the opinion is about (Kim and
Hovy, 2006). For example, the sentiment word “fan-
tastic” and the opinion target “camera” in “A fantastic
camera on Pinterest”. In this study, to identify opin-
ion targets, we investigate a syntactic sentence pars-
ing method. As, we argue that there is a fixed pat-
tern structure that is indicative of the existence of an
opinion target. The overall task is structured in the
following steps:
Sentiment words detection.
Subjective classification.
Peleja, F. and Magalhães, J..
Learning Text Patterns to Detect Opinion Targets.
In Proceedings of the 7th International Joint Conference on Knowledge Discovery, Knowledge Engineering and Knowledge Management (IC3K 2015) - Volume 1: KDIR, pages 337-343
ISBN: 978-989-758-158-8
Copyright
c
2015 by SCITEPRESS Science and Technology Publications, Lda. All rights reserved
337
Expand existing sentiment words lexicon.
For each tweet obtain the triple
<polarity, sentiment word, opinion target >.
The main contribution of this paper is the method
that we propose to automatically identify opinion tar-
gets. To detect opinion targets the method studies the
syntactic structure of subjective sentences.
2 RELATED WORK
Sentiment analysis enfolds various techniques to de-
tect words that express a positive and negative feeling
or emotion. These words are commonly known as
sentiment words or opinion words. Beyond words,
n-grams (contiguous sequence of n words) and id-
iomatic expressions are commonly used as sentiment
words. For example, the word “terrible”, the n-
gram “quite wonderful” and the idiomatic expression
“break a leg”. At document or sentence level senti-
ment words can be used to predict sentiment classes
for users opinions (Liu, 2012). Unlike sentiment
analysis at document and sentence level, the entity
(or aspect level) allows a finer-grain analysis. En-
tity or aspect level captures specific product features
that users dislike and like (Hu and Liu, 2004). Tur-
ney (2002) proposed a document level approach to
evaluate reviews polarity in which an unsupervised
learning algorithm is used to evaluate reviews polar-
ity. For each review is observed the average polar-
ity of its constituent words or phrases. Others (Pang
et al., 2002; Heerschop et al., 2011) have also pro-
posed to solve a sentiment analysis problem using a
document level approach. A common use of sentence
level sentiment analysis is to capture subjective sen-
tences (Wiebe et al., 1999). In a subjectivity classi-
fication the goal is to distinguish between sentences
that express factual information (objective) and sen-
tences that express an opinion (subjective) (Hatzivas-
siloglou and Wiebe, 2000). To perform an aspect-
based sentiment analysis task an initial step is re-
quired: distinguish between objective from subjec-
tive sentences. Several different methods have been
proposed to perform subjective classification in social
media platforms like Twitter, where users comment
on a large collection of different subjects (Go et al.,
2009; Wiebe et al., 1999). For this task supervised
and unsupervised algorithms have been applied. Ac-
cording to (Liu, 2012) the supervised classification is
mostly adopted by researchers. Hence, in our frame-
work to capture subjective sentences we will apply a
supervised subjective classification.
The task of detecting overall sentiment, opinion
holders and targets implies several steps (Liu, 2012).
In a sentence level sentiment analysis approach
Meena and Prabhakar (2007) showed that rules based
on atomic sentiments of individual phrases can be
helpful to decided the overall sentiment of a sentence.
However, only adjectives and verbs were considered
as features, which implies that only those can be re-
lated to the opinion target (Meena and Prabhakar,
2007). For instance, in another work (Wilson et al.,
2009) show that other words families (e.g. nouns)
may share dependency relations with opinion targets
(also referred as aspects) which might be indicative
of the sentiment expressed towards those terms. Pre-
vious work has also introduced a system based on
statistical classifiers to identify semantic relationships
(Gildea and Jurafsky, 2002). Their system analyses
the prior probabilities of various combinations of se-
mantic roles (predicate verb, noun, or adjective) to au-
tomatically label domain-specific semantic roles such
as Agent, Patient, Speaker or Topic. Similarly to
Gildea and Jurafsky (2002) semantic roles detection
we propose to analyze sentences lexical and syntactic
relations to automatically label opinion targets.
Generally, aspect-based sentiment classification is
split into two main approaches: supervised learning
and lexicon-based (Liu, 2010). Regarding the super-
vised learning approach several well-known machine
learning algorithms have been adapted to a sentiment
analysis evaluation (Pang et al., 2002; Pang and Lee,
2005). However a supervised learning method de-
pends more on the coverage of dataset than a lexicon-
based approach which demands a greater effort to
scale up to different domains. A lexicon-based ap-
proach is typically an unsupervised evaluation and
handles more easily domain issues. Additionally,
in lexicon-based approaches sentiment lexicons (e.g.
SentiWordNet (Esuli and Sebastiani, 2006)) are com-
monly used to discover new opinion word, also se-
mantic lexicons can also be used as seed to capture
new opinion words.
3 TEXT-PATTERNS FOR
OPINION TARGETS
The analysis of subjective text involves the detection
of words, phrases or sentences that express a senti-
ment. However, one of the main challenges is to iden-
tify opinion targets. Within subjective text, opinion
targets tend to be accompanied by sentiment words.
For example, tripod and beautiful in “We have here
a very beautiful tripod”. To this aim, we propose to
explore the syntax structure of subjective sentences
correlation with opinion targets. Given a set of la-
beled data, in which it is available the opinion tar-
KDIR 2015 - 7th International Conference on Knowledge Discovery and Information Retrieval
338
Table 1: Text-patterns for opinion targets.
Rule Rule Rule Rule
(1-5) (6-10) (11-15) (16-20)
n v#A v in#B v v#A prp v#B
n n#A a n#A v n#A v n#B
n in#B n in#A n a#A v #A
n n#B n v#B in dt#B v a#A
n #A a n#B v dt#B n r#A
gets labels, the proposed method identifies a set of
syntactic patterns that correlate with the opinion tar-
gets. Table 1 presents 20 of the 35 extracted rules.
In this table #A refers to after and #B before. The
word-families tags are represented by personal pro-
noun (prp), preposition or subordinating conjunction
(in), determiner (dt), noun (n), adjective (a), verb (v)
and adverb (r). This syntactic patterns are extracted
from the analysis of a Twitter dataset that contains
the annotation of one or more opinion target per each
tweet (Twitter dataset will be further described in Sec-
tion 4).
3.1 Processing Textual Data
The first step of the proposed method aims to trans-
late the text into a representation that resolves writing
typos and the usage of internet slang. To this end the
textual data is split in sentence level and the tokens
are mapped according to patterns of repeated letters,
internet slang words and emotion expressions (i.e. =)
to represent a smile). Also, tokens that express a sen-
timent are identified and mapped to its corresponding
sentiment weight in sentiment lexicons.
The scope of the sentiment expressed is deter-
mined by the identified sentiment tokens. It is
weighted the sentiment expressed in conditional ex-
pressions and sentiment shifters. These correspond to
tokens that neutralize the sentiment weight or invert
the polarity of sentiment tokens respectively.
3.2 Subjective Textual Data
Subjectivity in natural language refers to certain com-
binations of the language used to express an opinion
(Liu, 2010). Early work (Wiebe, 1994) defines sub-
jectivity classification as an algorithm that evaluates
in a sentence or document the linguist elements that
express a sentiment. Since for this task the goal is to
create a classifier that can distinguish subjective from
objective sentences, we perform this task by creating
a classification model that uses subjective, and ob-
jective, labeled data to train the model. Hence, this
method will allow to detect the existing subjective
and objective vocabulary differences. For this task
we have chosen Vowpal Wabbit (VW) linear sigmoid
function.
3.3 Sentiment Words Lexicon
One of the most important indicators in the analysis
of subjective text are sentiment words. Researchers
have examined the viability of building such lexi-
cons (Baccianella et al., 2010; Rao and Ravichandran,
2009). Obtaining a sentiment lexicon is an important
but complex step with many unsolved questions (Liu,
2012). Depending on the domain, sentiment words
may hold opposite directions and come with different
sentiment weights. To this end, we propose a corpus-
based approach to detect sentiment words. In the pro-
posed method a seed list of generic sentiment words
is used to classify sentence polarity. These words are
later used to learn additional sentiment words.
We follow a statistical approach to detect and
weight relevant sentiment sentiment words. The sen-
timent weight for a given unigram and bigram is com-
puted with the Chi-square (χ
2
) probabilistic model:
χ
2
=
N(AD CB)
2
(A + B)(B + D)(A + B)(C + D)
, (1)
where w is an unigram or bigram, N the number of
positive and negative sentences, A the number o oc-
currences of w in positive sentences, B the number of
occurrences of w in negative sentences, C the num-
ber of occurrences of positive sentences in which w
did not occur, D the number of negative sentences in
which w did not occur.
4 EXPERIMENTS
4.1 Datasets
The proposed framework is split in four main tasks:
subjective evaluation, expanded sentiment words lex-
icon, sentence polarity evaluation and identification
of the opinion targets. For this tasks the following
datasets were used:
Subjective (Pang and Lee, 2005): This dataset
is used for the subjective classifier. Contains
5,000 subjective and 5,000 objective sentences
from Rotten Tomatoes movie reviews and the re-
spective IMDb movies’ plot summaries. (Pang
and Lee, 2005) marked Rotten Tomatoes snip-
pets as subjective sentences, and IMDb plot sum-
maries as objective sentences.
IMDb-Extracted: This dataset is used to expand
the sentiment-lexicon. A total of 7,443,722 sen-
tences were collected from IMDb. The IMDb
Learning Text Patterns to Detect Opinion Targets
339
Table 2: Detailed information of IMDb-Extracted dataset.
Split #Sentences Description
A 3,890,540
Train polarity classifier.
B 3,553,182
Test polarity classifier.
reviews are rated in a range from 1 to 10 stars.
Following previous work (Pang et al., 2002; Be-
spalov et al., 2011; Moshfeghi et al., 2011; Qu
et al., 2010) reviews rated above 6 were labeled
as positive, otherwise negative. Also, if a sen-
tence belongs to a positive review is labeled as
positive, otherwise negative. This dataset con-
tains 4,705,351 positive and 2,738,371 negative
sentences. Table 2 presents the detained informa-
tion on this dataset.
Twitter: This dataset contains a total of 4,341
tweets in which 2,815 were manually anno-
tated with related concepts (e.g. PER/Obama;
ORG/NASA
1
. For the present work the annotated
tweets were used to train and evaluate the opinion
target detection approach.
Restaurants: SemEval 2015 Task 12 (Aspect
Based Sentiment Analysis) released a opinion tar-
get dataset
2
. This dataset contains 1,850 sen-
tences in which enclose a total of 2,187 opinion
targets.
The evaluation of the algorithms is given by the stan-
dard evaluation measures of precision (p), recall (r)
and F-score, which is the harmonic mean between p
and r,
Fscore =
2 · p · r
p + r
(2)
4.2 Extracted Sentiment Words
In this step, Freeling natural language analyzer is
used to perform grammatical tagging. Also, in each
tweet jargon is identified and evaluated (e.g. emo-
tions and internet slang). The following expressions
were used as sentiment shifters “not”, “however”,
“rather”, “never”, “nothing” and “scarcely”; and “if”,
“though”, “without” and “despite” as conditional ex-
pressions. To build the sentiment lexicon different
sources were used to identify and score the intensity
of an opinion word: Twitrratr (Go et al., 2009), Senti-
WordNet (Esuli and Sebastiani, 2006), PMI-IR (Tur-
ney, 2002; Turney, 2001), emotions smiles, and an
acronyms list of internet slang.
Twitrratr evaluates the sentiment in humans gen-
erated tweets and contains a list of 174 positive and
1
http://oak.dcs.shef.ac.uk/msm2013/challenge.html
2
http://alt.qcri.org/semeval2015/task12/
Table 3: Examples of acronyms and smiles used to express
emotions.
Acronyms
YTB - You are The Best Positive
BF4L - Best Friends For Life Positive
Smiles
=) Positive
=( Negative
Table 4: Detailed information of IMDb-Extracted dataset.
split
#sentences
#total
#positive #negative
A 2,462,991 1,427,549 3,890,540
B 2,242,360 1,310,822 3,553,182
185 negative words. SentiWordNet (Esuli and Sebas-
tiani, 2006) is a popular linguistic dictionary that con-
tains a lexicon created semi-automatically by means
of linguistic classifiers and human annotation. Re-
garding this lexicon, 154,745 opinion words were
considered. Finally, an acronyms list that contains
352 internet slang acronyms and an emotion smiles
list that contain 85 labeled emotions (Table 3). For
the IMDb-Extracted dataset, pointwise mutual in-
formation ((Turney, 2002; Turney, 2001)) was ap-
plied. Pointwise mutual information (PMI) observes
the probability of two words co-occurring together,
and individually by measuring the degree of statisti-
cal dependence between two words. For this task it
was used as references words “excellent” and “poor”.
PMI =
hits(word, excellent) · hits(poor)
hits(word, poor) · hits(excellent
(3)
In Equation 3 hits(word) and
hits(word, excellent) are obtained by the num-
ber of hits a search engine returns using these
keywords as search queries. Using PMI we obtained
63,771 opinion words. Furthermore, applying the
method proposed in Section 3.3, we captured and
scored a total of 2,643,317 opinion words. These
opinion words were extracted from the 3,890,400
sentences of the IMDb-Extracted split A dataset
(Table 4).
4.3 Subjective Classification
To conduct the subjective classification experiments
IMDb-Extracted dataset is split into two disjoints sub-
sets for evaluation purposes (see Table 4). Each sen-
tence in the IMDb-Extracted dataset has on average
19 words and 114 characters. For this task the sen-
tences were evenly split into two subsets: train and
test. The train split contains 3,333 subjective and ob-
jective sentences respectively and the test split con-
tains 1,667 subjective and objective sentences respec-
tively. For this task we achieve an F-score of 67
KDIR 2015 - 7th International Conference on Knowledge Discovery and Information Retrieval
340
Table 5: Sentences from the IMDb-Extracted dataset clas-
sified as objective (OBJ) and subjective (SUBJ).
OBJ
“It was the first film made by Thomas
Edison on his motion picture, camera.
“In this film Melies designs, bullet that
resembles a rocket.
SUBJ
“The movie’s director knew how to arouse
people’s imagination’s and thought this
project would work and it did!”
“Despite this viewers in the 21st century
can still relate to these, themes and enjoy
the story.
Table 6: Polarity classification of subjective sentences.
VW Nave-Bayes(I) Nave-Bayes(II)
Precision 0.77 0.66 0.62
Recall 0.67 0.35 0.88
F1-score 0.72 0.45 0.73
Table 5 illustrates an example taken from IMDb-
Extracted dataset. The sentences were evaluated with
the subjective classifier model in which two were
classified as objective (OBJ), as the other two were
classified as subjective (SUBJ).
4.4 Evaluation: Polarity Classification
To evaluate the extracted sentiment words the fol-
lowing classifications were performed: (i) Linear
classifier (VW
3
): each sentence is represented by
the respective opinion words frequencies, (ii) Naive-
Bayes(I): each sentence is represented by its senti-
ment word sentiment lexicon score and (iii) Naive-
Bayes(II): it is only observed sentiment words that
occur in the extracted sentiment words. In (i) the
model is built with a train and test split from IMDb-
Extracted and (ii) and (iii) have no training phase.
Table 6 presents the polarity classification in
which VW outperforms the Naive-Bayes implemen-
tations. These results illustrate the discriminative na-
ture of using opinion words in a bag-of-words sen-
timent classification. VW algorithm can better de-
fine the boundaries between positive and negative sen-
tences, however with this classifier we lose the syntax
of the sentence which allows our method to identify
opinion targets. For this task we used the extracted
sentiment words (Section 3.3) as available lexicons.
3
Vowpal Wabbit available at https://github.com/
JohnLangford/vowpal_wabbit/wiki.
Table 7: Results of proposed method and SemEval 2015
systems opinion target detection for the Restaurants dataset.
Precision
Our method 0.71
Elixa 0.69
NLANGP 0.71
IHS-RD-Belarus 0.68
4.5 Evaluation: Opinion Target
Detection
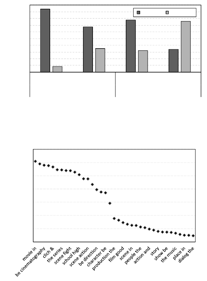
For the Twitter and Restaurant datasets Figure 1 il-
lustrates the results obtained by using a maximum
of 3 and 6 opinion target patterns from the existing
35 opinion target patterns (see Table 1). In this task
each sentence is evaluated with 35 opinion target pat-
terns and as a consequence, we obtain several opin-
ion target candidates. The opinion targets relevance
are ranked by using the scores from the sentiment
word lexicon. For example, in the sentence “2,000
fetuses found hidden at Thai Buddhist temple URL
via Mention” that is labeled with the opinion target
“LOC
4
/Thai Buddhist temple” we obtained 10 opin-
ion targets in which the ones ranked highest are “thai
buddhist”/20.9, “url via”/7.2 and “found fetuses”/6.7.
For the Restaurants dataset Table 7 shows the ob-
tained results with the proposed method and (Pontiki
et al., 2015) reported results. Elixa team achieved
the best results in the SemEval submissions. For the
Elixa experiments the authors chose the best combi-
nation of features using 5-fold cross validation. The
features can be a token and token shape in a 2 range
window, 4 characters in a prefix or suffix, bigrams and
trigrams. Furthermore the authors have induced three
types of word representations Brown (Brown et al.,
1992), Clark (Clark, 2003) and Word2Vec (Mikolov
et al., 2013).The other teams NLANGP and IHS-
RD are described with more detail in (Pontiki et al.,
2015). The obtained results show that our method is
able to achieve competitive results. Unlike the other
methods our approach takes into account the syntac-
tic parsing of each sentence to detect opinion targets
patterns.
4.5.1 Detected Opinion Targets
In Figure 1 the predicted opinion target is evaluated as
correct if one or more words of the predicted opinion
target is within the opinion target label. In addition, it
was evaluated the performance of the opinion targets
patterns when it is evaluated as correct only for an ex-
act match. For this task we obtained a fairly lower
4
Location
Learning Text Patterns to Detect Opinion Targets
341
0
200
400
600
800
1000
1200
1400
1600
1800
2000
6 Rules 3 Rules 6 Rules 3 Rules
Twitter Restaurant
#Sentences
Correct OT Incorrect OT
Figure 1: Opinion target prediction with 3 and 6 rules for
the Twitter and Restaurant datasets.
1000
1100
1200
1300
1400
1500
1600
1700
#opinion target occurrences
Figure 2: Opinion targets detection.
performance. Observing the results for 6 and 3 opin-
ion target patterns it was correctly predicted 161 and
76 sentences, respectively. Examples of incorrect pre-
dictions are “canada de”, “julian win” and “url iran”
where the correct opinion targets are “canada”, “ju-
lian assange” and “iran”.
Figure 2 illustrates the most frequent opinion tar-
gets obtained with the IMDb dataset. For 2,029,121
sentences were extracted 1,740,006 opinion targets.
These are promising results since the most frequent
opinion targets are clearly related to the domain,
and commonly correspond to opinion targets used by
users in movie reviews.
5 CONCLUSIONS
In this paper we propose a method to automatically
capture opinion targets from humans opinionated sen-
tences. To tackle this problem it was performed an
analysis of subjective short-texts (i.e. tweets). To
this end we detected text patterns that tend to co-
occur previous and after an opinion target. The cap-
tured opinion targets are ranked according to its sen-
timent relevance. With the proposed method we have
correctly identified 1,879 from 2,053 opinion targets.
Our results show that we are able to extend existing
sentiment lexicons. For a sentiment classification task
our sentiment lexicon was able to achieve an F1 score
of 0.73 which represents an improvement of 28% over
baseline sentiment lexicons.
ACKNOWLEDGEMENTS
This work was supported by MULTISENSOR
project, partially funded by the European Commis-
sion, under the contract number FP7-610411.
REFERENCES
Albornoz, J. C., Chugur, I., and Amig
´
o, E. (2012). Us-
ing an Emotion-based Model and Sentiment Analy-
sis Techniques to Classify Polarity for Reputation. In
Forner, P., Karlgren, J., and Womser-Hacker, C., ed-
itors, Conference and Labs of the Evaluation Forum,
Online Working Notes (CLEF), volume 1178.
Baccianella, S., Esuli, A., and Sebastiani, F. (2010). Sen-
tiWordNet 3.0: An enhanced lexical resource for sen-
timent analysis and opinion mining. Proceedings of
the Seventh conference on International Language Re-
sources and Evaluation (LREC), 25:2200–2204.
Bespalov, D., Bai, B., Shokoufandeh, A., and Qi, Y. (2011).
Sentiment Classification Based on Supervised Latent
n-gram Analysis. Proceedings of the 20th ACM Inter-
national Conference on Information and Knowledge
Management (CIKM), pages 375–382.
Bollen, J. (2010). Determining the public mood state by
analysis of microblogging posts. Alife XII Conf. MIT
Press, page 667.
Brown, P. F., Desouza, P. V., Mercer, R. L., Pietra, V.
J. D., and Lai, J. C. (1992). Class-based n-gram mod-
els of natural language. Computational linguistics,
18(4):467–479.
Clark, A. (2003). Combining distributional and morpholog-
ical information for part of speech induction. In Pro-
ceedings of the tenth conference on European chap-
ter of the Association for Computational Linguistics-
Volume 1, pages 59–66. Association for Computa-
tional Linguistics.
Diakopoulos, N. and Shamma, D. (2010). Characterizing
debate performance via aggregated twitter sentiment.
In Proceedings of the 28th international conference
on Human factors in computing systems, pages 1195–
1198.
Esuli, A. and Sebastiani, F. (2006). Sentiwordnet: A pub-
licly available lexical resource for opinion mining.
Proceedings of the 5th Conference on Language Re-
sources and Evaluation (LREC), 6:417–422.
Ghorbel, H. and Jacot, D. (2010). Sentiment Analy-
sis of French Movie Reviews. Advances in Dis-
tributed Agent-Based Retrieval Tools, 4th Interna-
tional Workshop on Distributed Agent-based Retrieval
Tools (DART), Springer Heidelberg, pages 97–108.
KDIR 2015 - 7th International Conference on Knowledge Discovery and Information Retrieval
342
Gildea, D. and Jurafsky, D. (2002). Automatic Labeling
of Semantic Roles. Computational Linguistics, MIT
Press Linguistics, 28(3):245–288.
Go, A., Bhayani, R., and Huang, L. (2009). Twitter
Sentiment Classification using Distant Supervision.
CS224N Project Technical report, Stanford, pages 1–
12.
Hatzivassiloglou, V. and Wiebe, J. M. (2000). Effects of
adjective orientation and gradability on sentence sub-
jectivity. Proceedings of the 18th Conference on Com-
putational Linguistics (COLING), 1:299–305.
Heerschop, B., Goossen, F., Hogenboom, A., Frasincar, F.,
Kaymak, U., and De Jong, F. (2011). Polarity anal-
ysis of texts using discourse structure. Proceedings
of the 20th ACM International Conference on Infor-
mation and Knowledge Management (CIKM), pages
1061–1070.
Hu, M. and Liu, B. (2004). Mining opinion features in
customer reviews. Proceedings of the Association for
the Advancement of Artificial Intelligence 19th Inter-
national Conference on Artifical Intelligence (AAAI),
pages 755–760.
Kim, S.-M. and Hovy, E. (2006). Extracting opinions, opin-
ion holders, and topics expressed in online news me-
dia text. Proceedings of the Workshop on Sentiment
and Subjectivity in Text, pages 1–8.
Liu, B. (2010). Sentiment analysis and subjectivity. Hand-
book of Natural Language Processing, CRC Press,
Taylor and Francis Group.
Liu, B. (2012). Sentiment Analysis and Opinion Mining.
Synthesis Lectures on Human Language Technologies,
Morgan and Claypool Publishers, pages 1–167.
Meena, A. and Prabhakar, T. V. (2007). Sentence Level
Sentiment Analysis in the Presence of Conjuncts Us-
ing Linguistic Analysis. In Amati, G., Carpineto, C.,
and Romano, G., editors, Proceedings of the 29th Eu-
ropean Conference on Advances in Information Re-
trieval (ECIR), volume 4425, pages 573–580.
Mikolov, T., Sutskever, I., Chen, K., Corrado, G. S., and
Dean, J. (2013). Distributed representations of words
and phrases and their compositionality. In Advances in
neural information processing systems, pages 3111–
3119.
Moshfeghi, Y., Piwowarski, B., and Jose, J. M. (2011).
Handling data sparsity in collaborative filtering us-
ing emotion and semantic based features. Proceed-
ings of the 34th international ACM conference on Re-
search and development in Information Retrieval (SI-
GIR), pages 625–634.
Pak, A. and Paroubek, P. (2010). Twitter as a corpus for sen-
timent analysis and opinion mining. Proceedings of
the International Conference on Language Resources
and Evaluation (LREC), 10:1320–1326.
Pang, B. and Lee, L. (2004). A sentimental education:
Sentiment analysis using subjectivity summarization
based on minimum cuts. Proceedings of the Associa-
tion of Computational Linguistics (ACL), pages 271–
278.
Pang, B. and Lee, L. (2005). Seeing stars: Exploiting
class relationships for sentiment categorization with
respect to rating scales. Proceedings of the 43rd An-
nual Meeting on Association for Computational Lin-
guistics, 43(1):115–124.
Pang, B., Lee, L., and Vaithyanathan, S. (2002). Thumbs
up?: sentiment classification using machine learn-
ing techniques. Proceedings of the Conference on
Empirical Methods in Natural Language Processing
(EMNLP), 10:79–86.
Pontiki, M., Galanis, D., Papageogiou, H., Manandhar, S.,
and Androutsopoulos, I. (2015). Semeval-2015 task
12: Aspect based sentiment analysis. In Proceedings
of the 9th International Workshop on Semantic Evalu-
ation (SemEval 2015), Denver, Colorado.
Qu, L., Ifrim, G., and Weikum, G. (2010). The bag-of-
opinions method for review rating prediction from
sparse text patterns. Proceedings of the 23rd In-
ternational Conference on Computational Linguistics
(COLING), pages 913–921.
Rao, D. and Ravichandran, D. (2009). Semi-supervised Po-
larity Lexicon Induction. In Proceedings of the 12th
Conference of the European Chapter of the Associa-
tion for Computational Linguistics (COLING), EACL
’09, pages 675–682, Stroudsburg, PA, USA. Associa-
tion for Computational Linguistics.
Riloff, E. and Wiebe, J. (2003). Learning extraction patterns
for subjective expressions. Proceedings of the Con-
ference on Empirical Methods in Natural Language
Processing (EMNLP), pages 105–112.
Turney, P. (2002). Thumbs up or thumbs down? Seman-
tic orientation applied to unsupervised classification
of reviews. Proceedings of the 40th Annual Meeting
on Association for Computational Linguistics (ACL),
pages 417–424.
Turney, P. D. (2001). Mining the Web for Synonyms: PMI-
IR versus LSA on TOEFL. Proceedings of the 12th
European Conference on Machine Learning (EMCL),
2167:491–502.
Wiebe, J. M. (1994). Tracking point of view in narra-
tive. Journal of Computational Linguistics, MIT Press
Cambridge, 20(2):233–287.
Wiebe, J. M., Bruce, R. F., and O’Hara, T. P. (1999). Devel-
opment and use of a gold-standard data set for subjec-
tivity classifications. Proceedings of the 37th annual
meeting of the Association for Computational Linguis-
tics on Computational Linguistics (ACL), pages 246–
253.
Wilson, T., Wiebe, J., and Hoffmann, P. (2009). Recogniz-
ing Contextual Polarity: An Exploration of Features
for Phrase-level Sentiment Analysis. Journal Compu-
tational Linguistics, 35(3):399–433.
Learning Text Patterns to Detect Opinion Targets
343