An Approach to Refine Translation Candidates for Emotion Estimation
in Japanese-English Language
Kazuyuki Matsumoto, Minoru Yoshida, Kenji Kita and Fuji Ren
Department of Faculty of Engineering, Tokushima University,
Minamijosanjima cho 2-1, Tokushima, Japan
Keywords:
Emotion Corpus, Emotion Estimation, Bilingual Tagged Corpus.
Abstract:
Researches on emotion estimation from text mostly use machine learning method. Because machine learning
requires a large amount of example corpora, how to acquire high quality training data has been discussed as
one of its major problems. The existing language resources include emotion corpora; however, they are not
available if the language is different. Constructing bilingual corpus manually is also nancially difficult. We
propose a method to convert a training data into different language using an existing Japanese-English parallel
emotion corpus. With a bilingual dictionary, the translation candidates are extracted against every word of
each sentence included in the corpus. Then the extracted translation candidates are narrowed down into a set
of words that highly contribute to emotion estimation and we used the set of words as training data. As the
result of the evaluation experiment using the training data created by our proposed method, the accuracy of
emotion estimation increased up to 66.7% in Naive Bayes.
1 INTRODUCTION
Recently, there have been many researches on emo-
tion estimation from text in the field of sentiment
analysis or opinion mining (Ren, 2009), (Ren and
Quan, 2015), (Ren and Wu, 2013), (Quan and Ren,
2010), (Quan and Ren, 2014), (Ren and Matsumoto,
2015) and many of them adopted machine learning
methods that used words as a feature. When the type
of the target sentence for emotion estimation and the
type of the sentence prepared as training data are dif-
ferent, as in the case of terminology in the problem
of domain adaptation for document classification, the
appearance tendency of the emotion words differs.
This causes a problem in fluctuation of accuracy. On
the other hand, when a word is used as a feature for
emotion estimation, the sentence structure does not
have to be considered. As a result, it is easy to apply
the method to other languages. Only if we prepare a
large number of corpora with annotation of emotion
tags on each sentence, emotion would be easily esti-
mated by using the machine learning method. In the
machine learning method, because manual definition
of a rule is not necessary, we can reduce costs to apply
the method to other languages.
However, just like the problem in the domain, de-
pending on the types of the languages, sometimes it is
difficult to prepare a sufficient amount of tagged cor-
pus. For example, in comparison to English or Chi-
nese, there are not enough tagged corpora in Japanese
or Korean, as the people who use such languages are
relatively small.
To solve the shortage problem of Chinese emo-
tion corpus, Wan (Wan, 2009) used English emotion
corpus as training data that was openly available for
free, and attempted to classify Chinese emotions. He
proposed a co-training model that combined a method
translating the training data and a method translating
the test data. Inui et al. (Inui and Yamamoto, 2011)
mechanically translated Japanese sentences into En-
glish sentences and used them as test data or training
data to classify review articles into positive or neg-
ative by using SVM. They checked whether or not
the sentences included evaluation expressions. Then,
based on the results, they selected the sentences by
judging if the sentence should be added in the train-
ing data or in the test data. The experiment ob-
tained approximately 80% accuracy. This accuracy
was higher than the accuracy obtained when the un-
translated training data was used.
Their method summarizes a document by exclu-
sively using the sentences in a review article that have
evaluation expressions. Because the method does
not confirm the reliability of the translation results
74
Matsumoto, K., Yoshida, M., Kita, K. and Ren, F..
An Approach to Refine Translation Candidates for Emotion Estimation in Japanese-English Language.
In Proceedings of the 7th International Joint Conference on Knowledge Discovery, Knowledge Engineering and Knowledge Management (IC3K 2015) - Volume 2: KEOD, pages 74-83
ISBN: 978-989-758-158-8
Copyright
c
2015 by SCITEPRESS – Science and Technology Publications, Lda. All rights reserved
to summarize, it is difficult to deal with the problem
of estimation failure caused by low translation accu-
racy. Because our study does not aim at emotion es-
timation in document increments, their proposed doc-
ument summarization technique cannot be applied to
our study. We refined the translation candidates of
each word in a sentence by narrowing them down un-
der certain condition.
In this paper, we attempted emotion estimation
by machine learning. In the sentences of Japanese-
English parallel emotion corpus the translation candi-
dates for each word were obtained in reference to the
bilingual dictionary. We used them as training data for
machine learning and conducted an emotion estima-
tion experiment. If bilingual dictionaries are used to
obtain translation candidates, erroneous translations
might be caused as often as or more often than when
machine translation is conducted.
For that reason, we proposed a refining method
that narrowed down the translation candidates accord-
ing to whether the kind of the sentence’s emotion and
the word’s emotion matched or not. By removing the
words that were not likely to contribute to sentence
emotion, the translation candidates were refined. The
aim of this method is to minimize the effects by trans-
lation error.
Section 2 describes the related works about emo-
tion estimation based on word feature and emotion
estimation based on different languages.
To remove noise feature, we propose a method for
refining translation candidates extracted from bilin-
gual dictionaries in section 3 and conduct an evalu-
ation experiment in section 4. Then, we examine the
results of the evaluation experiment and discuss the
effectiveness of our method that does not use machine
translation in section 5. Finally, we summarize this
study in section 6.
2 RELATED WORKS
The researches on emotion estimation often adopted
machine learning method that used words as a feature
(Matsumoto and Ren, 2011), (Quan and Ren, 2011),
(Wu and Matsumoto, 2014). Many of these methods
do not consider the meanings of the words. Actually,
in the task of judging a word’s or a phrase’s emotion
polarity (positive/negative), a certain level of accu-
racy can be obtained without considering the word’s
meaning (Takamura and Okumura, 2005), (Takamura
and Okumura, 2006).
There are also researches that judge emotion cate-
gories of emotional words in a sentence (Kang et al.,
2010). In the machine learning, the quality or kind of
source data used for training data is one of the most
important factors that affect the classification accu-
racy.
To judge the emotion polarity of a sentence be-
longing to a different domain from the training data,
Saiki et al. (Saiki and Okumura, 2008) adapted
each domain by using the weighted maximum entropy
model to add weight to case. Minato et al. (Minato
and Kuroiwa, 2008) estimated sentence emotion by
using appearance frequency weight of word for each
emotion category according to Japanese-English par-
allel emotion corpus. The evaluation result showed
that emotion estimation accuracies varied due to small
size of the corpus and bias of the number of the sen-
tences in each emotion category.
Balahur et al. (Balahur and Turchi, 2012) treated
the problem of sentiment detection in several differ-
ent languages such as French, German and Spanish.
They translated each language resources into English
by using the existing machine translation techniques
and classified sentence emotion by training the n-
gram feature of the translated resources based on Sup-
port Vector Machines Sequential Minimal Optimiza-
tion (SVM SMO).
From the experimental result for the multilingual
resources, they concluded that the statistical machine
translation (SMT) was mature enough as preprocess-
ing for sentiment classification. However, it is consid-
ered that the languages used in their study were easier
to translate into English compare to translate Japanese
into English. In Japanese language, with only differ-
ence of notation or intonation of the word, sense of
the word sometimes changes. On the other hand, sen-
tence structure is more complex than English or the
other western languages.
Moreover, even if the machine translation system
can translate Japanese into English successfully, with
a little difference of the translation candidate, the nu-
ance becomes different from the original meaning and
the emotion to be conveyed might be changed.
To confirm this, it is necessary to conduct an ex-
periment of emotion estimation by using the trans-
lation results based on Japanese-English emotion
tagged corpus. Preprocessing was conducted by con-
verting Japanese or English emotion tagged corpora
into other language data by machine translation or
parallel dictionary. We confirmed whether emotion
estimation accuracy could be improved by refining
translation candidates or not by the evaluation exper-
iment.
An Approach to Refine Translation Candidates for Emotion Estimation in Japanese-English Language
75
Emotion Tagged
Lang-B Data
Emotion Tagged
Lang-A Corpus
Lang-B Emotion
Estimation Model
Estimate
Emotion
Lang-B
Test Data
Emotion
Morphological
Analysis
Select
Words
EW
Dictionary
SW List
EPC
Table
Training Phase
Test Phase
Machine
Learning
Extract
Translation
Candidates
Input output
Figure 1: Emotion estimation in different languages.
3 PROPOSED METHOD
The basic flow of our proposed method is described
in Figure 1. EW Dictionary means a dictionary
that stored the words expressing emotion included
in the Japanese-English parallel emotion corpus (Mi-
nato and Kuroiwa, 2007). SW List is a dictionary of
stop word that includes nonsense words (unnecessary
words). EPC Table indicates Emotion Polarity Cor-
respondence Table constructed by Takamura (Taka-
mura and Okumura, 2005), (Takamura and Okumura,
2006).
In the Training Phase, each sentence in the emo-
tion tagged corpus of language A is morphologically
analyzed to obtain the basic forms of the words. Then,
for the basic forms of the words the translation candi-
dates are obtained in language B with reference to the
bilingual dictionary. The candidate words are refined
by our proposed method and the data in language B
is created that has annotation of emotion tags in sen-
tence basis. Based on the created data in language B,
the emotion estimation model for language B is made
by machine learning.
3.1 Japanese-English Parallel Emotion
Corpus
This section describes the Japanese-English Parallel
Emotion Corpus used in this research. The Japanese-
English Parallel Emotion Corpus constructed by Mi-
nato et al. (Minato and Kuroiwa, 2007) is a tagged
corpus based on a Japanese-English Emotion Expres-
sion Dictionary (Hiejima, 1999).
In the corpus emotion tags are annotated on the
Japanese-English bilingual conversation sentences to
indicate the speaker’s emotion and the emotional ex-
pression. In total, 1,190 pairs of the sentences are
registered in the corpus.
There are two kinds of tags: sentence emotion
tags annotated to sentences and word emotion tags
annotated to words or idioms. There are nine kinds
of emotion categories: (joy, anger, sorrow, surprise,
hate, love, respect, anxiety and neutral).
3.2 Japanese-English Bilingual
Dictionary
In this research we used the dictionaries of Eijiro
Ver.2.0
1
, Edict and Edict2
2
as the Japanese-English
bilingual dictionaries. We selected these three dictio-
naries because these dictionaries included relatively
newer words and a larger number of words compared
to other dictionaries such as the EDR dictionary.
3.3 Refining Translation Candidates
When training data and test data are constructed by
extracting translation candidates from the dictionary,
the problem is that the translation candidates include
unnecessary words that cause estimation error. We
considered the following perspectives to refine the
translation candidates.
The stop words included in translations should be
removed from training data.
When the sentence’s (writer’s) emotion and the
emotion of the word included in the sentence are
different, the word should be removed from train-
ing data.
The more the word contributes to the emotion ex-
pressed by the sentence, the more the weight is
added to the word and the word should be in-
cluded in training data.
We made the training data as shown in Table 1. In
Table 1 “Dictionary for Refining” indicates the kind
of the dictionaries used for refining the translation
candidates. “EW” represents Emotion Word Dictio-
nary, “SW” represents Stop Word List, and “EPC”
represents Emotion Polarity Correspondence Table.
In these columns, J, E indicates whether the dictio-
nary is Japanese or English. The column of Code
represents the abbreviation of each model. In the
paper, J E represents extracting English transla-
tion candidates from Japanese sentences and E J
represents extracting Japanese translation candidates
1
http://www.alc.co.jp/support/eijiro2/
2
http://www.csse.monash.edu.au/ jwb/edict
doc.html
KEOD 2015 - 7th International Conference on Knowledge Engineering and Ontology Development
76
from English sentences. For M
EJ
, M
JE
in Base-
line Model and Machine Translated Model, transla-
tion candidates were not refined. The following sub-
sections elaborate the training data used in this paper.
Table 1: Definition of training data.
Model
Code
Target Dictionary for
Name Lang. Refining
EW SW EPC
M
EJ
J - - -
Baseline M
JE
E - - -
Model M
EJ
J J - -
M
JE
E E - -
Machine G
EJ
J - - -
Translated
Model G
JE
E - - -
Stop Word R
EJ
J - J -
Model R
JE
E - E -
P
EJ
J - - J
Polarity P
JE
E - - E
Model P
EJ
J - - J
P
JE
E - - E
3.3.1 Baseline Method
The Japanese translation candidates corresponding to
each word in the English sentences were extracted
from the three kinds of bilingual dictionaries. Then,
these candidates were used as the feature for creating
training data M
EJ
.
In the same way, M
JE
was created by extract-
ing English translation candidates of each word in
Japanese sentence and using these candidates as the
feature. Training data M
EJ
and M
JE
was also cre-
ated by extracting specific translation candidates of
the words that had been marked as emotion expres-
sion in the corpus from a bilingual dictionary.
3.3.2 Machine Translated Model
To compare the proposed method and the method us-
ing the result of machine translation as training data,
the words in Japanese-English sentences were trans-
lated by Google translation
3
and used them as fea-
ture to create the training data G
EJ
, G
JE
. Google
translation is based on a statistical machine transla-
tion method. However, its translation accuracy is not
very high. To judge the quality of translation various
measures have been proposed.
One of the famous measures is BLEU Papineni
and Zhu (2002) that uses the word’s N-gram preci-
sion. IMPACT (Echizen-ya and Araki, 2007) has a
relatively high correlation with evaluation by human
in adequacy and fluency. METEOR Banerjee (2005),
3
https://translate.google.com
(Lavie and Agarwal, 2007) was proposed as an eval-
uation method without using a word’s N-gram. The
details of METEOR are described in the paper written
by Banerjee et al. (Banerjee, 2005). To investigate the
accuracy of Google translation in corpus translation,
the average score of IMPACT, METEOR
4
and BLEU
was calculated. The obtained scores were shown in
Table 2.
Table 2: Evaluation of machine translation (Google MT).
Evaluation Method J E E J
IMPACT 0.48 0.35
METEOR 0.28 0.34
BLEU 0.19 0.15
The quality of web translation system such as
Google translation is highly controversial. However,
the average scores obtained were not especially low.
3.3.3 Stop Word Model
Besides the problem of a simple translation error,
there is another problem that decreases the accuracy
of emotion estimation. The problem is caused by the
words that do not contribute to the speaker’s (writer’s)
emotion.
These words should be removed from the training
data by refining according to the rule. Therefore, we
focused on a method based on stop words. SMART
(Buckley and Singhal, 1995) is a famous list of unnec-
essary words. However, it is an English word list and
we cannot apply it to Japanese language. Therefore,
we attempted to refine the words by parts of speech
for Japanese language. If the part of speech of the
word annotated by morphological analysis was not in-
cluded in Table 3, the word was regarded as an unnec-
essary word.
If the translation candidates of the word w in-
cluded the unnecessary word sw, the word sw was re-
moved from the training data. In this way, the training
data were created and defined as R
EJ
, R
JE
.
3.3.4 Polarity Model
To refine the translation, we also focused on the
emotion polarity of words. If the candidates of
the word w include ew, whose emotion polarity is
different from the sentence’s emotion polarity, the
word ew should be removed from the training data.
The correspondence between emotion polarity and
emotion category is shown in Table 4.
4
METEOR used parameters: α = 0.9;β = 3.0;γ = 0.5
An Approach to Refine Translation Candidates for Emotion Estimation in Japanese-English Language
77
Table 3: Part of speech regarded as necessary word.
Part of Speech Sub category
Prefix adjective connection,
noun connection
Conjunction -
Adnominal adjective -
Noun general, “Sa”-
connection, “Nai”-
adjective connection,
Adverb-possible, Adjec-
tive verb stem
Verb independent
Adjective independent
Adverb general, auxiliary word
connection
Interjection -
Table 4: Emotion polarity and emotion category.
Positive (+) joy, love, respect
Negative (-) anger, sorrow, hate, anxiety
Neutral (0) surprise, neutral
We used the emotion polarity correspondence ta-
ble created by Takamura et al. (Takamura and Oku-
mura, 2005) to judge the word’s emotion polarity. Be-
cause many of the words with extremely small emo-
tion polarity value actually do not express emotion,
the threshold value was set for the emotion polarity
value. In this paper, the threshold value was set as
th = 0.5. If the absolute emotion polarity value of a
word is smaller than this threshold value, the emotion
polarity of the word was set as 0 (neutral). The cre-
ated training data were P
EJ
, P
JE
.
However, above method cannot extract features if
there are no words that match to the emotion polar-
ity of the sentence. For that reason, we also con-
sidered another method to judge whether the word to
be included as feature or not according to the degree
of contribution to the emotion expression of the sen-
tence.
In this method we used the words that did not
match to the emotion polarity of the sentence as fea-
ture and we did not to set the threshold for emotion
polarity. In this research, the words whose degree of
contribution is ranked in the top rc are used as fea-
tures. How to calculate the contribution degree of the
word w
j
to the sentence S
i
is shown in Equation 1, 2,
3, 4.
EM(w
j
, S
i
) =
1 if EMP(w
j
) = EMP(S
i
)
0 otherwise
(1)
EMS(w
j
, S
i
) =
1 i f EMP(w
j
) = EMP(S
i
)
0.5 otherwise
(2)
α =
|S
i
|
w
k
S
i
EM(w
k
, S
i
)
(3)
CScore(w
j
S
i
)
=
α· EMS(w
j
, S
i
) if EM(w
j
, S
i
) = 1
EMS(w
j
, S
i
) otherwise
(4)
EMP(w
j
), EMP(S
i
) respectively indicate a sign
of emotion polarity of the word w
j
and sentence S
i
.
EM shown in Equation 1 is a function that returns 1 if
the signs of emotion polarity of the word and the sen-
tence are the same, otherwise returns 0. EMS shown
in Equation 2 is a function that returns 1 if the signs
of emotion polarity of the word and the sentence are
the same, otherwise returns 0.5. The Equation 4 cal-
culates CScore that represents the contribution value
of the word to the sentence by using the functions EM
and EMS.
|S
i
| in the Equation 3 indicates the total number
of the words in the sentence S
i
. By multiplying x,
the more the weight of the words whose sign of the
emotion polarity matched with that of the sentence
increases relatively, the less there are the words whose
sign of the emotion polarity matched with that of the
sentence.
CScore is calculated for each word in each sen-
tence and the words are sorted by descending order
of the CScore. By using only the top r
c
words as fea-
tures, training data P
EJ
, P
JE
are made. We conduct
several experiments to calculate the value of r
c
and
used the value with the highest accuracy as the value
of r
c
.
With these methods, we thought that we could
prevent acquiring unnecessary translation candidates
for constructing training data in another language,
thereby could create a highly accurate compact esti-
mation model. Moreover, the calculation for training
could be reduced.
3.3.5 Classification Method
In the research of emotion estimation from text, the
Support Vector Machine (SVM) and the Naive Bayes
classifier (NB) are often used for machine learning. In
this paper, Naive Bayes classifier was used because it
has a simple algorithm and can be easily applied to
multiclass classification.
KEOD 2015 - 7th International Conference on Knowledge Engineering and Ontology Development
78
4 EXPERIMENT
The proposed method was evaluated by experiment.
The target data was 1,190 pairs of sentences in
Japanese-English parallel emotion corpus and 4,652
pairs of sentences in open Japanese-English parallel
corpus with annotation of emotion. The information
of the morphemes included in the sentences was used
as feature.
Japanese sentences were morphologically ana-
lyzed by ChaSen
5
. English sentences were morpho-
logically analyzed by Brill’s Tagger (Brill, 1994) then
basic forms of the parts of stems were obtained by us-
ing the Porter stemming algorithm
6
. We evaluated the
results by calculating the accuracy with the Equation
5.
match
i
=
1 if |T
o,i
T
c,i
| 1
0 otherwise
(5)
Accuracy(%) =
|S|
i
match
i
|S|
× 100 (6)
In the equation, S indicates a set of sentences tar-
geted for the evaluation. T
o,i
, and T
c,i
respectively in-
dicate a set of tag sets outputted by classifier and a
set of correct tags for the sentence s
i
S. |T
o,i
T
c,i
|
indicates the number of the matched tags between the
tags outputted by the classifier and the correct tags.
match
i
means the score of the correct answers for the
sentence s
i
. Arithmetic average of these scores is cal-
culated as Accuracy. Although the classifier outputs
the probability for each emotion category, the cate-
gory with the highestprobability is extracted and eval-
uated in the experiment.
4.1 Experiment-1
First, to evaluate emotion estimation by using
Japanese-English Parallel Emotion Corpus as training
data and test data, we created the training data whose
feature is the translation candidates of each word in
the bilingual sentences.
Then, we conducted Experiment-1 using the test
data whose feature is the words in the source lan-
guage’s sentence. Experiment was conducted by us-
ing 10-fold cross validation.
4.2 Experiment-2
Experiment-1 used the basic Japanese-English paral-
lel emotion corpus to evaluate our proposed method.
5
http://chasen-legacy.osdn.jp/
6
http://tartarus.org/ martin/PorterStemmer/
In Experiment-2, the proposed method was evalu-
ated in whether it was valid to the open data or
not. As open data, we used four kinds of bilin-
gual corpora: The Tanaka Corpus
7
, Natsume Cor-
pus extracted from Japanese English Emotion Expres-
sion Dictionary (Enozawa and Guruensutain, 1999),
Gogakuru Corpus extracted from a Web site for
language education called “Gogakuru,
8
and Web
Eikaiwa Corpus collected from several educational
Web sites for English conversation. Emotion tags
were annotated to these four kinds of corpora to cre-
ate test corpora. Table 5 shows the numbers of the
registered sentence pairs in the constructed corpora.
Table 5: Size of open J-E translation corpus.
Corpus # of Sentence Pairs
Tanaka Corpus 1,055
Gogakuru Corpus 1,555
Web Eikaiwa Corpus 935
Natsume Corpus 1,107
We used these corpora as test data. From
the training data created in Experiment-1,
M
JE
, M
EJ
, R
JE
, R
EJ
, P
JE
, P
EJ
, P
JE
, P
EJ
were used in Experiment-2. Because the training
data scale was much smaller than the test data, the
translation candidate data was gradually added 100,
200, 300, and 400 sentences for each emotion in each
training data from the open data; the remaining data
in the open data was used as test data.
G
JE
, G
EJ
were not used because the aim of
Experiment-2 was not to compare the results with the
Web translation result. M
JE
, M
EJ
were not used in
Experiment-2 because they were not able to be ap-
plied to unknown emotion expressions in the open
data.
5 RESULTS AND DISCUSSIONS
The result of Experiment-1 is shown in Table 6.
P
EJ
, P
JE
were made by setting the threshold rc of
contribution value as 2
9
.
The result of the training data M
EJ
, M
JE
,
which used only emotion expression’s translation
candidates as the feature, had higher accuracy than
using all words’ translation candidates as the feature.
7
http://www.edrdg.org/wiki/index.php/Tanaka
Corpus
8
http://gogakuru.com/
9
We evaluated the results by setting the threshold values:
1, 2, 3, 4, 5. When the threshold was r
c
= 2, the accuracy
was the highest.
An Approach to Refine Translation Candidates for Emotion Estimation in Japanese-English Language
79
The result also showed that the conditions of unneces-
sary words for refining the translation candidates did
not greatly increase the accuracy.
However, in the experiment based on Japanese test
data, using R
EJ
, P
EJ
as the training data decreased
accuracy only about 2%. Therefore, these refining
methods will become more effective when the size of
the data increases because the calculation amount de-
creases.
In the experiments with P
EJ
, P
JE
, over 50%
accuracies were obtained. When P
EJ
was used as
training data and the edict was used as a bilingual dic-
tionary, the best accuracy of 66.7% was obtained.
These results suggested that our method solved
the weak points in the Polarity Model, which is con-
sidering solely the concordance of emotion polarities
refines too much the translation candidates and pro-
vides all words the same weights.
By adding higher weight to the words that con-
tribute to the emotion expression in the sentence,
effective features can be emphasized.
It is able to extract feature even though none of the
words in the sentence contribute to the emotion
expression in the sentence.
Table 6: Result of experiment-1.
Test Training
Dictionary
- edict edict2 eijiro
J
M
EJ
50.1 50.3 49.8
M
EJ
52.3 52.0 51.3
G
EJ
37.5
R
EJ
48.6 42.4 49.4
P
EJ
47.5 48.2 48.5
P
EJ
66.7 58.1 64.1
E
M
JE
39.4 39.7 35.0
M
JE
51.1 51.3 50.0
G
JE
46.6
R
JE
47.5 48.6 49.2
P
JE
37.5 38.2 48.8
P
JE
51.1 50.1 53.9
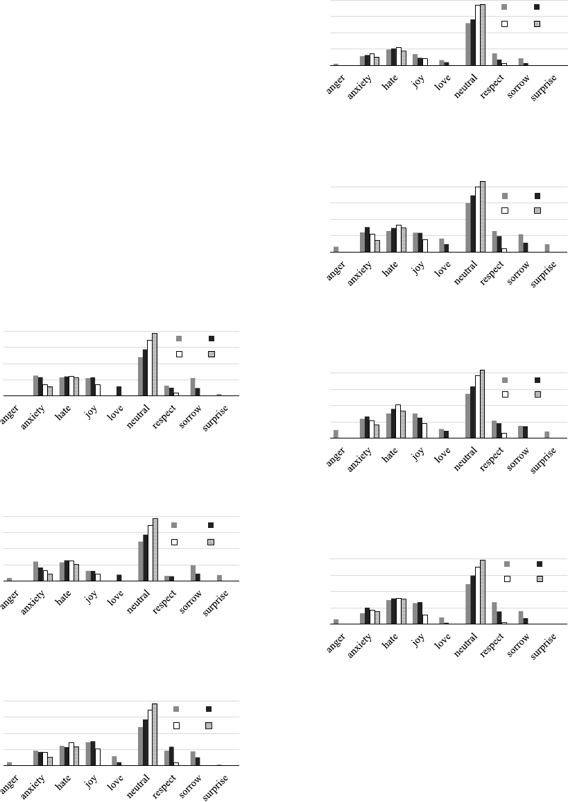
The result of Experiment-2 is shown in Figure
2, 3, 4, 5. The result showed that the accuracy in
Japanese increased by using a refining process, al-
though the accuracy in English sometimes decreased.
Comparing the accuracies in M that refined the trans-
lation candidates and those in P, P
and R that did
not refine the translation candidates, the percentage of
the accuracy increased approx.15% at a maximum by
adding training data. From this result, it was found
that the larger the training data became, the more
effectively the refining of the translation candidates
worked.
Figure 2: Result of Experiment-2: add 100 sentence each
emotion.
Figure 3: Result of Experiment-2: add 200 sentence each
emotion.
Figure 4: Result of Experiment-2: add 300 sentence each
emotion.
Figure 5: Result of Experiment-2: add 400 sentence each
emotion.
However, it is not necessarily appropriate to sug-
gest that accuracy will improve by increasing the
training data because the test data decreased instead.
KEOD 2015 - 7th International Conference on Knowledge Engineering and Ontology Development
80
It is also considered that the sentences added ran-
domly from the open data included the words that
were not included in the original training data. These
words might have been effective for emotion estima-
tion.
The results of the experiment used P
JE
were sig-
nificantly lower in accuracy. In the case of English,
even though the words are included in EPC, many of
them have more varieties of meanings and higher am-
biguity than Japanese. For that reason, many words in
the open data might be used in different meaning and
have contributed to the emotion expression. There-
fore, it is considered that over-training might have
been caused by weighting contribution value. It will
be necessary to improve the calculation of contribu-
tion by considering the number of the translation can-
didates.
Figure 6, 7, 8, 9, 10, 11, 12, 13 shows the accuracy
for each emotion category. From this figure, we found
the accuracies of neutral are higher than those of the
0%
20%
40%
60%
80%
J
100 200
300 400
Figure 6: Result of Experiment-2: P
EJ
, each emotion cat-
egory, use eijiro.
0%
20%
40%
60%
80%
E
100 200
300 400
Figure 7: Result of Experiment-2: P
JE
, each emotion cat-
egory, use eijiro.
0%
20%
40%
60%
80%
J
100 200
300 400
Figure 8: Result of Experiment-2: P
EJ
, each emotion cat-
egory, use eijiro.
0%
20%
40%
60%
80%
E
100 200
300 400
Figure 9: Result of Experiment-2: P
JE
, each emotion cat-
egory, use eijiro.
0%
20%
40%
60%
80%
J
100 200
300 400
Figure 10: Result of Experiment-2: M
EJ
, each emotion
category, use eijiro.
0%
20%
40%
60%
80%
E
100 200
300 400
Figure 11: Result of Experiment-2: M
JE
, each emotion
category, use eijiro.
0%
20%
40%
60%
80%
J
100 200
300 400
Figure 12: Result of Experiment-2: R
EJ
, each emotion
category, use eijiro.
other emotions, especially neutral. Because many of
those sentences with neutral annotations did not in-
clude emotional expressions, it might have been easy
to be judged as neutral. On the other hand, because
there were large numbers of sentences with neutral
tag annotations, it seemed that estimating emotion as
neutral became easier and easier as the amount of the
training data increased.
An Approach to Refine Translation Candidates for Emotion Estimation in Japanese-English Language
81
0%
20%
40%
60%
80%
E
100 200
300 400
Figure 13: Result of Experiment-2: R
JE
, each emotion
category, use eijiro.
In this paper, we increased the training data ran-
domly. However, the method to remove bias of each
emotion category should be taken. Actually, there are
many biases in the corpora that are available. The sen-
tences that are annotated neutral tags do not express
any emotion. Therefore, to eliminate estimation bias,
we think that the two levels of classification might
be necessary. After judging whether emotion is ex-
pressed or not, the emotion should be classified into
eight emotion categories as for the sentences express-
ing emotions.
6 CONCLUSIONS
In this paper, existing bilingual dictionaries were used
to convert the linguistic resources for emotion estima-
tion into another language. To avoid including the
noise feature in training data by converting the re-
source into other languages, a method to refine the
translation candidates was proposed based on emo-
tion polarity or stop word list.
The evaluation experiment using the basic
Japanese-English Bilingual Dictionary obtained ap-
proximately 66.7% accuracy in emotion estimation
when the translation candidates exclusively corre-
sponding to the emotional expressions were included
in the training data. On the other hand, from the ex-
perimental result using open data, it was found that
the process of refining translation candidate worked
effectively.
However, the bilingual dictionaries and the emo-
tion polarity correspondent table included unneces-
sary words for emotion estimation. As the result,
noise features could not be removed even though
threshold value was set.
In future, we would like to improve the method to
refine the translation candidates and propose a method
to remove unnecessary word from emotion polarity
correspondent table and also a method to automati-
cally construct a bilingual dictionary suitable for emo-
tion estimation.
ACKNOWLEDGEMENTS
This work was supported by JSPS KAKENHI Grant
Numbers 15H01712, 15K16077, 15K00425.
REFERENCES
Balahur, A. and Turchi, M. (2012). Multilingual senti-
ment analysis using machine translation? In the 3rd
Workshop on Computational Approaches to Subjectiv-
ity and Sentiment Analysis, pages 52–60.
Banerjee, S. (2005). Meteor : an automatic metric for
mt evaluation with improved correlation with human
judgments. In ACL Workshop on Intrinsic and Ex-
trinsic Evaluation Measures for Machine Translation
and/or Summarization, pages 65–72.
Brill, E. (1994). Some advances in transformation-based
part of speech tagging. In National Conference on
Artificial Intelligence, pages 722–727.
Buckley, B., S. G. A. J. and Singhal, A. A. (1995). Au-
tomatic query expansion using smart: Trec-3. In
the Third Text REtrieval Conference(TREC-3), pages
500–238.
Echizen-ya, H. and Araki, K. (2007). Automatic evalua-
tion of machine translation based on recursive acqui-
sition of an intuitive common parts continuum. In the
Eleventh Machine Translation Summit (MT SUMMIT
XI), pages 151–158.
Enozawa, K. and Guruensutain, D. (1999). Kaiwa de
oboeru kanjouhyougen Wa-Ei jiten -English merry-
go-round series- (in Japanese). Natsumesha.
Hiejima, I. (1999). Tokyodo Shuppan.
Inui, T. and Yamamoto, M. (2011). Usage of different lan-
guage translated data on classification of evaluation
document (in japanese). pages 119–122.
Kang, X., Ren, F., andWu, Y. (2010). Bottom up: explor-
ing word emotions for chinese sentence chief senti-
ment classification. In IEEE International Conference
on Natural Language Processing and Knowledge En-
ginerring, pages 422426.
Lavie, A. and Agarwal, A. (2007). Meteor : an automatic
metric for mt evaluation with high levels of correlation
with human judgments. In ACL Second Workshop on
Statistical Machine Translation, pages 228–231.
Matsumoto, K. and Ren, F. (2011). Estimation of
word emotions based on part of speech and posi-
tional information. Computers in Human Behavior,
2011(27):1553–1564.
Minato, J., M. K. R. F. and Kuroiwa, S. (2007). Corpus-
based analysis of japanese-english of emotional ex-
pressions. In IEEE International Conference on Nat-
ural Language Processing and Knowledge Engin-
erring, pages 413–418.
Minato, J., M. K. R. F. T. S. and Kuroiwa, S. (2008). Evalu-
ation of emotion estimation methods based on statistic
features of emotion tagged corpus. International Jour-
nal of Innovative Computing, Information and Con-
trol, 4(8):1931–1941.
KEOD 2015 - 7th International Conference on Knowledge Engineering and Ontology Development
82
Papineni, K., R. S. W. T. and Zhu, W. (2002). Bleu: a
method for automatic evaluation of machine transla-
tion. In the 40th Annual Meeting on Association for
Computational Linguistics(ACL’02), pages 311–318.
Quan, C. and Ren, F. (2010). A blog emotion corpus for
emotional expression analysis in chinese. Computer
Speech and Language, 24(1):726–749.
Quan, C. and Ren, F. (2011). Recognition of word emotion
state in sentences. IEEJ Transactions on Electrical
and Electronic Engineering, 6:34–41.
Quan, C. and Ren, F. (2014). Unsupervised product feature
extraction for feature-oriented opinion determination.
Information Sciences, 272(2014):16–28.
Ren, F. (2009). Affective information processing and rec-
ognizing human emotion. Electronic Notes in Theo-
retical Computer Science, 225:39–50.
Ren, F. and Matsumoto, K. (2015). Semi-automatic creation
of youth slang corpus and its application to affective
computing. IEEE Transactions on Affective Comput-
ing.
Ren, F., K. X. and Quan, C. (2015). Examining accumu-
lated emotional traits in suicide blogs with an emotion
topic model. IEEE Journal of Biomedical and Health
Informatics.
Ren, F. andWu, Y. (2013). Predicting user-topic opinions in
twitter with social and topical context. IEEE Transac-
tions on Affective Computing, 4(4):412424.
Saiki, Y., T. H. and Okumura, M. (2008). Domain adaptaion
in sentiment classification by instance weighting (in
japanese). In IPSJ SIG Notes, volume 2008, pages
61–67.
Takamura, H., I. T. and Okumura, M. (2005). Extracting
semantic orientations of words using spin model. In
the 43rd Annual Meeting on Association for Compu-
tational Linguistics, pages 133–140.
Takamura, H., I. T. and Okumura, M. (2006). Latent vari-
able models for semantic orientations of phrases (in
japanese). Transactions of Information Processing So-
ciety of Japan, 47(11):3021–3031.
Wan, X. (2009). Co-training for cross-lingual sentiment
classification.
Wu, Y., K. K. and Matsumoto, K. (2014). Three predic-
tions are better than one: sentence multi-emotion anal-
ysis from different perspectives. IEEJ Transactions
on Electrical and Electronic Engineering (TEEE),
9(6):642–649.
An Approach to Refine Translation Candidates for Emotion Estimation in Japanese-English Language
83