An Automated Semantic Annotation Tool Supported by an Ontology in
the Computer Science Domain
Rodrigo Espinoza
1,2
and Andr
´
es Melgar
1,3
1
Grupo de Reconocimiento de Patrones e Inteligencia Artificial Aplicada,
Pontificia Universidad Cat
´
olica del Per
´
u, Lima, Peru
2
Especialidad de Ingenier
´
ıa Inform
´
atica, Facultad de Ciencias e Ingenier
´
ıa,
Pontificia Universidad Cat
´
olica del Per
´
u, Lima, Peru
3
Secci
´
on de Ingenier
´
ıa Inform
´
atica, Departamento de Ingenier
´
ıa,
Pontificia Universidad Cat
´
olica del Per
´
u, Lima, Peru
Keywords:
Semantic Annotation, Automated Annotation, Annotation Tool, Ontology, Automated Semantic Tool.
Abstract:
The annotation of documents can be performed manually, semi-assisted or automated, also it can use the help
of different knowledge resources as a set of rules or ontology. In this paper, we show the design of a semantic
annotation tool that works automatically on power in order to efficiently manage academic documents in
spanish produced in the university related to computer science. The tool uses an ontology annotations to
provide a corpus of documents the necessary attributes to be managed using other tools that use annotations as
searchers or indexers. This is done by relating the concepts found in documents with concepts in the ontology
performing semantic and syntactic comparisons, it is produced using open source tools for natural language
processing and knowledge management.
1 INTRODUCTION
The Web was designed to be understood by humans,
so most of the information it contains can be neither
understood nor processed by machines. This results
in problems in searching, organizing and maintaining
pages hosting. The Knowledge Management (KM)
problems in it are closely related to the size of the
Web; while there are more number of pages, searches
and information maintenance become worst (Berners-
Lee et al., 2001). This situation causes the upload of
redundant information every day, in consequence the
efficiency of Knowledge Retrieval (KR) in the Web
decreases. Also inefficient searches generate a lot
of transactions, which saturates the global network,
it cause huge maintenance costs and forcing new so-
lutions on how to improve their infrastructure. On
the other hand, not being able to analyze the content
of the pages generate many problems in the transfer-
ence of knowledge (Studer et al., 2000). Knowing
the problems with the Web, the solution may be that
machines should be able to understand the resources
(pages) found on the Web, be able to process and ana-
lyze them to perform better searchs and classifications
based on the content of the pages. One way to do that
is to provide them with properly structured metadata,
that it have consistent information on the most impor-
tant concepts of the documents content by domain.
Metadata is information about the content of a docu-
ment, which facilitate processing by software agents
(Wolfe, 2000).
One of the resources capable of providing that en-
riched information to the pages are the semantic an-
notation tools that make use of ontologies. The goal
is to use metadata to annotate pages and documents
according to the information that they contain, that is
made using an ontology in the respective domain of
information from documents in question. The use of
ontologies allows us to unify a single concept in var-
ious heterogeneous representations. The analysis can
be done in a word or a phrase by linking the main
content of the page and the existing elements in the
ontology (Corcho, 2006).
This paper propose an automatic semantic annota-
tion tool that uses an ontology whose domain is com-
puter science. The tool will be used to semantically
annotate documents produced in university who be-
long to the domain of ontology. These annotations
allow other search tools and information management
promote the documents among the university commu-
Espinoza, R. and Melgar, A..
An Automated Semantic Annotation Tool Supported by an Ontology in the Computer Science Domain.
In Proceedings of the 7th International Joint Conference on Knowledge Discovery, Knowledge Engineering and Knowledge Management (IC3K 2015) - Volume 2: KEOD, pages 133-138
ISBN: 978-989-758-158-8
Copyright
c
2015 by SCITEPRESS Science and Technology Publications, Lda. All rights reserved
133
nity.
This paper is structured as follows: after this intro-
duction, we present the literature review about seman-
tic web, annotation, annotation with ontologies, meta-
data and natural language processing. Subsequently,
some related works are presented. In the following
sections the proposed semantic annotation tools is de-
scribed. Then, we present the developed prototype,
the results and the discussion. Finally, in the last sec-
tion, we present the conclusions and future works.
2 LITERATURE REVIEW
2.1 Semantic Web
Now what we call Web would become the syntac-
tic Web, which perform searches simply by finding
matches of words or phrases that we indicate. The
Semantic Web does not have the same nature, but
rather it is an extension of syntactic, it provides se-
mantic support to the content of the pages and that
allows both people and computers work together with
information from the Web (Berners-Lee et al., 2001).
This aggregate on pages is compounded for metadata
or meta-information that will allow machines to un-
derstand and process their content just like a human
would (Davies et al., 2003). Actually we can see KR
with the behaviour of the Semantic Web in corporate
intranets and information systems of large multina-
tionals, the information for these organizations is one
of their most important assets (Daconta et al., 2003).
But the Semantic Web goes beyond that enter-
prise’s benefits, his goal is that knowledge can reach
all and use in the best possible way the computing re-
sources; economizing the Web and allowing it to find
useful information without being redundant which is
a goal that will require hard work and commitment
of the entire community, although the benefits that
would bring are incalculable (Daconta et al., 2003).
2.2 Annotation
They are a source of information that can be captured
in comments, notes, explanations referring to a docu-
ment or part of a document. They can be considered
external type if the do not modify the document or in-
ternal if they do. Conceptually, annotations are con-
sidered as metadata which we provide with informa-
tion about a piece of data (Meena et al., 2004). People
in the academic segment have been using the annota-
tions in books, papers, magazines. with various pur-
poses such as marking information that requires our
attention for future reviews, mark sections where ad-
ditional references are needed to understand its con-
tent, highlighting the most important text, annotate
any idea regarding what they read (Wolfe, 2000). An-
notations can be used to manage the content that is in
the Web pages, but not all of them are useful, for this
we need to have a level of formality. Following this
approach we can classify the annotations in formal
and informal annotations. Formal annotations have a
level of formality that ensures interoperability among
different agents. Theoretically these annotations are
more apt to be interpreted in the same way by differ-
ent consultation mechanisms, an example of this type
of annotation is a metadata would following specific
standards in structure and assigned their values using
conventional authorized names. On the other hand,
informal annotations would become notes or anno-
tations that you write in a book or article while you
read; these notes may have different utilities such as
reminders, quotes, reviews (Marshall, 1998).
2.3 Ontologies in Annotation
According to Gruber, to define what an ontology is,
we must first understand the meaning of conceptu-
alization. Conceptualization can be defined as an
abstract representation of a world we want to rep-
resent, namely representing existing objects or con-
cepts in certain areas and the relationships between
them. Therefore ontologies would become an ex-
plicit specification of a conceptualization, namely in
a formal way (Gruber, 1995). For artificial intelli-
gence ontologies refers to a specialized vocabulary
for a certain domain of knowledge. Language could
be changed without affecting the ontology conceptu-
alization. Identify vocabulary and conceptualizations
requires a thorough analysis of the types of objects
and relations of their domain (Studer et al., 2000). Be-
ing able to manage a clear definition whatever the vo-
cabulary or who is using it is one of the reasons why
ontologies are becoming very popular in KR (Davies
et al., 2003). To the Semantic Web, ontologies are im-
portant to support the information seeking in the de-
limit the domain searches and reach sources that are
actually useful for the query being performed. They
also help in the reuse and classification of information
and to be able to handle concepts in a clearer manner
regardless of the source or where agents come.
2.4 Metadata
Metadata is information about information, a part of
a secondary information refers to primary resource.
Examples of metadata include schema, integrity con-
KEOD 2015 - 7th International Conference on Knowledge Engineering and Ontology Development
134
straints, comments on the data, ontologies, quality pa-
rameters, comments, notes, sources and security poli-
cies (Srivastava and Velegrakis, 2007). In information
management, metadata is very useful to clarify the
information meanings, to prevent misunderstandings
and facilitate their handling and extraction. Another
aspect that favors their use is that they can be added to
a variety of documents on the Web, on our computers,
on physical books. Also it can be expressed in many
languages and vocabularies also be available in both
hard and electronic (Corcho, 2006). It offers great ad-
vantages in KR in the Web as providing formalization
to the contents of the annotated documents for facil-
itate their searching and sorting, also emphasize that
the metadata are very flexible tools that can be eas-
ily understood by humans and by machines (Agosti
and Ferro, 2007). This flexibility and simplicity in
their performance favors the use of annotation meta-
data using ontologies. They used together are espe-
cially useful in the semantic annotation because they
are easy to understand, simple to build and maintain,
and is easy to reach a consensus on the information
provided (Uren et al., 2006).
3 RELATED WORKS
Publications related to semantic annotation tools in-
clude the use of NLP for the treatment of various
information sources on the web (Joksimovic et al.,
2013). This used APIs for processing plain text and
then proceed to their respective semantic annotation
using a specific knowledge base. In (Chechev et al.,
2012) the API used was Gate an open-source frame-
work for NLP, but for reasons of language’s corpus, a
library that works best with the Spanish language will
be used. Respect to use of ontologies in (Pipitone and
Pirrone, 2010), using upper-level ontologies for real-
ization of semantic annotations is recommended. The
ontology will serve us to infer the semantic meaning
in previously processed texts. And as for the identi-
fication of the correct meaning for texts analyzed in
(Hotho et al., 2003), different strategies disambigua-
tion of terms which make use of ontologies and may
be useful in conjunction with other knowledge basis.
4 SEMANTIC ANNOTATION
TOOL
The proposed tool, seeks to facilitate the manage-
ment of academic papers produced at the university
through semantic annotations and ontologies. These
documents are in Spanish and mostly in PDF format.
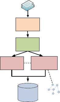
The structure of the tool consists of 6 components (see
figure 1). Below is a brief description of each compo-
nent.
Annotations
Database
Ontology
Corpus
NLP
Module
User
Interface
Annotation
Module
Disambiguation
Module
Figure 1: Architecture of the Tool.
4.1 User Interface
It is basically a simple user interface which allows
load the ontology to be used, the documents that make
up the corpus will process and the connection infor-
mation for the database where the annotations will be
saved. The interaction between the user and the tool
will be minimal, because the annotations will be made
automatically.
4.2 NLP Module
This module is in charge of the first processing per-
formed of the corpus to be annotated. His first task is
to transform the contents of the corpus in plain text to
facilitate their treatment. Then, it will produce a list
of terms for each of the documents in the corpus. To
make this list, the plaintext obtained tokenization pro-
cess, separation of prayers and part-of-speech tagging
is submitted. The library that perform these processes
must have support for the Spanish language since the
NLP mechanisms vary depending on the language be-
ing analyzed. The terms obtained will be related to the
document from which they were extracted and will
work both with them and with their lemmas for easy
identification with the concepts in the ontology.
4.3 Ontology
The structure of the ontology to be used is related
to the curricula of courses in college, this will allow
them to be used for different fields of study but in this
paper we will limit the field of computer science. The
An Automated Semantic Annotation Tool Supported by an Ontology in the Computer Science Domain
135
ontology consists of 6 classes (see figure 2) according
to the organizational structure of the subjects taught
in college. These classes are:
Concept. The most basic kind of ontology repre-
sents all concepts pertaining to courses.
Learning Unit. Represents a specific topic con-
taining a set of concepts.
Program of the Course. It consists of learning
units and represents the program of a course in a
given period of time.
Course. Represents the courses at the university,
is composed of units of learning, for example:
Programming Languages I, Fundamentals of
Programming.
Department. Represents the department that dic-
tates the respective course.
Faculty. Is composed of a set of departments.
Each of these classes contains the property Has
which indicates that it contains another class of lower
rank. Also for the Concept class have another prop-
erty called terms which contains explicit representa-
tions of it.
Concept
Course
Program
of the Course
Faculty
Department
Learning
Unit
Has
Has
Has
Has
Has
Figure 2: Hierarchy of the Ontology.
4.4 Disambiguation Module
This module would become the core of the tool, it
will link the terms obtained in the previous module
with the concepts of ontology. To make this task, it
use libraries to navigate between classes in the on-
tology. And to choose the right concepts, one of the
disambiguation strategy described in (Hotho et al.,
2003) were applied, it called disambiguation by con-
text. This strategy helps to define the correct concept
of a term according to a vicinity semantic concepts
(see figure 3). The process begins by finding the pos-
sible concepts of the term under review (would each
term extracted from the documents of the initial cor-
pus) in the ontology, then take as its vicinity con-
cepts belonging to the learning unit, analytical pro-
List of
Terms
Vicinity
Concept 1
Vicinity
Concept 2
Concept
1
Concept
2
Ontology
Figure 3: Disambiguation Process.
gram, course and faculty according to the unit Learn-
ing to which it belongs. Finally using the property
in terms of concepts, be checked if the context of the
document where the term is obtained coincides with
the context belonging to the learning unit and course
concept. The concept chosen is determined by a merit
function based on the terms of matching. This process
is repeated for every term from the corpus and the out-
put will be a of concepts belong to the ontology.
4.5 Annotation Module
This module is responsible for assembling the anno-
tations based on the terms and concepts linked in the
phase of disambiguation. Those annotations will be
in RDF format and contain information on the con-
cept of the term, the learning unit concept,the ontol-
ogy on which was built and the document to which it
belongs.
4.6 Annotations Database
The last proposed module is responsible for the per-
sistence of annotations made on processed corpus.
They will be in a relational database which can be
used for queries on semantic annotation of documents
produced in the University. This technology is cho-
sen because it is easy to use and it would be difficult
to transform the metadata stored in it whether it is in
RDF format or another markup language.
5 TOOL IMPLEMENTATION
In the implementation of the tool we use open-source
resources in general. Java was used to create the in-
terface and for the interaction between the libraries
used. The library Apache Tika
1
was used to trans-
1
Apache Tika
KEOD 2015 - 7th International Conference on Knowledge Engineering and Ontology Development
136
form the content of the corpus to plain text. When al-
ready has the plain text, is subjected to corresponding
NLP tasks, to do that we use the Freeling(Padro and
Stanilovsky, 2012)
2
processing library because it has
excellent results in the analysis contained in the Span-
ish language. With the help of Freeling were able to
extract the terms of the corpus, which were limited
to nouns and adjectives to facilitate their relationship
with the concepts in the ontology, to have that rule
the extraction of terms is not limited to the domain of
knowledge ontology used.
Regarding the creation of ontology, Prot
´
eg
´
e(Jain
and Singh, 2013)
3
tool was used because it was easy
to use and it have a lot of documentation. The inter-
action of ontology with the other components of the
tool was performed using the Jena
4
library and its en-
gine SPARQL(P
´
erez et al., 2006) for query language
with which navigate in the ontology to find concepts
to assign to the terms. Finally the annotations will be
stored in RDF format in a relational database, in this
case a mysql engine was used.
Figure 4-1 shows the main classes including:
Concepto (concept), Curso (course), Especialidad
(academic units), Facultad (faculty), Programa
Analitico (syllabus) and Unidad Aprendizaje
(learning unit). Because the ontology aims query ex-
pansion, we added the properties lemma, preferred
name and synonyms for all classes (see figure 4-3).
For example the Archivos (files in english) class, has
archivos (plural form of file in Spanish) as a preferred
name, archivo (singular form of file in Spanish) as
lemma and fichero (synonym of file in Spanish) as a
synonym.
The object properties can be seen in the figure 4-2.
The main property is tieneConcepto (haveConcept).
This property, associates learning units with certain
concepts in the computer science domain. Through
this relationship is possible to perform QE. The other
properties allow linking other concepts. Learning
units are part of syllabus which in turn are made for a
specific course. The courses belong to one academic
unit that make up a specific faculty.
6 RESULTS
Tool tests were conducted with a corpus composed
of 20 documents produced at the university in the fac-
ulty of computer engineering. The processing of these
present some complications because some of these
2
http://nlp.lsi.upc.edu/freeling/
3
http://protege.stanford.edu/
4
https://jena.apache.org/
1
2
3
Figure 4: Ontology for CC Curricula.
were contained in Spanish and English, even some
words like shell and void is often used along with
the rest of the content in Spanish because they have
no exact translations in academic context. The is-
sue of language influences the efficiency of the phase
of NLP, because when English words are analyzed,
inferring that are in Spanish, you can take these as
nouns which would render the remaining tasks of the
tool those terms. However, queries using ontology fa-
cilitate the debugging process much of terms thanks to
the efficiency of the engine used in SPARQL queries.
To cite a few examples, in Spanish there are words
with different meanings like DERIVACI
´
ON (in En-
glish derivation), which is related to grammar, math-
ematics and algorithms. The efficiency of the tool
will measure based on the values of precision and re-
call on concepts that could be identified in the corpus.
Their values are calculated based on the number of re-
trieved concepts that are semantically to the term, the
recovered concepts that do not correspond and con-
cepts that could not be retrieved from the corpus. The
concepts recovered in the corpus of 20 papers were
133, with a value of 81 of precision and 86 of recall .
The texts used were taken to test students in college.
7 CONCLUSION
About development of the tool we can conclude that
his accuracy depends on the efficiency of the libraries
An Automated Semantic Annotation Tool Supported by an Ontology in the Computer Science Domain
137
used in the phase of NLP as well as the strategy dis-
ambiguation of words used when choosing the best
concept to translate into an annotation. Also the
language adds a bit of difficulty, which when we
are working in languages like English have more re-
sources than when we work in Spanish. It is also
worth noting the structure of the ontology which al-
lows its extension to other subjects or areas of study
within the university. Finally, the proposed architec-
ture is designed so that we can use other resources
both to analyze the corpus as the creation and interac-
tion of other sources of knowledge than an ontology.
8 FUTURE WORKS
In the development of this tool, we focus on an on-
tology of the domain of computer science but domain
knowledge used can vary, as the language of the cor-
pus we process. The architecture of this tool is de-
signed to work with any type of ontologies and other
strategies disambiguation of words to help us perform
automatic annotations. Could improve tool perfor-
mance enhancing NLP phase and testing new strate-
gies disambiguation of words.
REFERENCES
Agosti, M. and Ferro, N. (2007). A formal model of anno-
tations of digital content. ACM Transactions on Infor-
mation Systems (TOIS), 26(1):3.
Berners-Lee, T., Hendler, J., Lassila, O., et al. (2001). The
semantic web. Scientific american, 284(5):28–37.
Chechev, M., Gonz
`
alez, M., M
`
arquez, L., and Espa
˜
na-
Bonet, C. (2012). The patents retrieval prototype in
the molto project. In Proceedings of the 21st inter-
national conference companion on World Wide Web,
pages 231–234. ACM.
Corcho, O. (2006). Ontology based document annota-
tion: trends and open research problems. Interna-
tional Journal of Metadata, Semantics and Ontolo-
gies, 1(1):47–57.
Daconta, M. C., Obrst, L. J., and Smith, K. T. (2003). The
semantic web: a guide to the future of XML, web ser-
vices, and knowledge management. John Wiley &
Sons.
Davies, J., Fensel, D., and Van Harmelen, F. (2003). To-
wards the semantic web. Ontology-Driven Knowledge
Management. Chichester.
Gruber, T. R. (1995). Toward principles for the design of
ontologies used for knowledge sharing? International
journal of human-computer studies, 43(5):907–928.
Hotho, A., Staab, S., and Stumme, G. (2003). Ontologies
improve text document clustering. In Third IEEE In-
ternational Conference on Data Mining, pages 541–
544. IEEE.
Jain, V. and Singh, M. (2013). Ontology development and
query retrieval using prot
´
eg
´
e tool. International Jour-
nal of Intelligent Systems and Applications (IJISA),
5(9):67.
Joksimovic, S., Jovanovic, J., Gasevic, D., Zouaq, A.,
and Jeremic, Z. (2013). An empirical evaluation of
ontology-based semantic annotators. In Proceedings
of the seventh international conference on Knowledge
capture, pages 109–112. ACM.
Marshall, C. C. (1998). Toward an ecology of hypertext an-
notation. In Proceedings of the ninth ACM conference
on Hypertext and hypermedia: links, objects, time and
space—structure in hypermedia systems: links, ob-
jects, time and space—structure in hypermedia sys-
tems, pages 40–49. ACM.
Meena, E., Kumar, A., and Romary, L. (2004). An exten-
sible framework for efficient document management
using rdf and owl. In Proceeedings of the Workshop
on NLP and XML (NLPXML-2004): RDF/RDFS and
OWL in Language Technology, pages 51–58. Associ-
ation for Computational Linguistics.
Padro, L. and Stanilovsky, E. (2012). Freeling 3.0: Towards
wider multilinguality. In Proceedings of the Language
Resources and Evaluation Conference (LREC 2012),
Istanbul, Turkey. ELRA.
P
´
erez, J., Arenas, M., and Gutierrez, C. (2006). Semantics
and complexity of sparql. In The Semantic Web-ISWC
2006, pages 30–43. Springer.
Pipitone, A. and Pirrone, R. (2010). A framework for au-
tomatic semantic annotation of wikipedia articles. In
6th Workshop on Semantic Web Applications and Per-
spectives.
Srivastava, D. and Velegrakis, Y. (2007). Intensional asso-
ciations between data and metadata. In Proceedings
of the 2007 ACM SIGMOD international conference
on Management of data, pages 401–412. ACM.
Studer, R., Decker, S., Fensel, D., and Staab, S. (2000).
Situation and perspective of knowledge engineering.
Knowledge Engineering and Agent Technology, pages
237–252IOS.
Uren, V., Cimiano, P., Iria, J., Handschuh, S., Vargas-Vera,
M., Motta, E., and Ciravegna, F. (2006). Semantic an-
notation for knowledge management: Requirements
and a survey of the state of the art. Web Semantics:
science, services and agents on the World Wide Web,
4(1):14–28.
Wolfe, J. L. (2000). Effects of annotations on student read-
ers and writers. In Proceedings of the fifth ACM con-
ference on Digital libraries, pages 19–26. ACM.
KEOD 2015 - 7th International Conference on Knowledge Engineering and Ontology Development
138